Bayesian Correlation Prediction Model between Hydrogen-Induced Cracking in Structural Members
Abstract
:1. Introduction
- Most mechanical components affect future events because of the evaluation of joint probability distributions of current maintenance data, which are highly correlated among the components.
- Modeling uncertainty, when multiple parameters can be regarded as related or connected in some manners due to hydrogen-induced corrosion cracking, implies that a joint probability model should reflect the dependence among these parameters, which could then be modeled in a hierarchical inference.
- Prediction of future degradation of a component or a structural system is performed through the implementation of an updated stochastic model; reducing errors arising from corroded and correlated components, nonlinear behaviors, and including maintenance interventions as well.
- To assess risk correlation between shear and bending deformation of steel members and HIC in high-strength steel of main cable wires.
- To simulate degradation of cable wires on the basis of the proposed Bayesian prediction models in terms of locally correlated cracking in cable wires just before the collapse of a structural system, considering maintenance interventions by implementing an inverse analysis of the proposed Bayesian inference network model.
2. Bayesian Hierarchical Model for Correlated Data
2.1. Hierarchical Modeling
2.2. Hierarchical Bayesian Inference Model to Predict Degradation of Cable Wires due to HIC
3. Correlation Model for HIC in the Main Cable Wires
3.1. Deterministic Global Analysis Model for HIC of High-Strength Steel Wires in Suspension Bridges
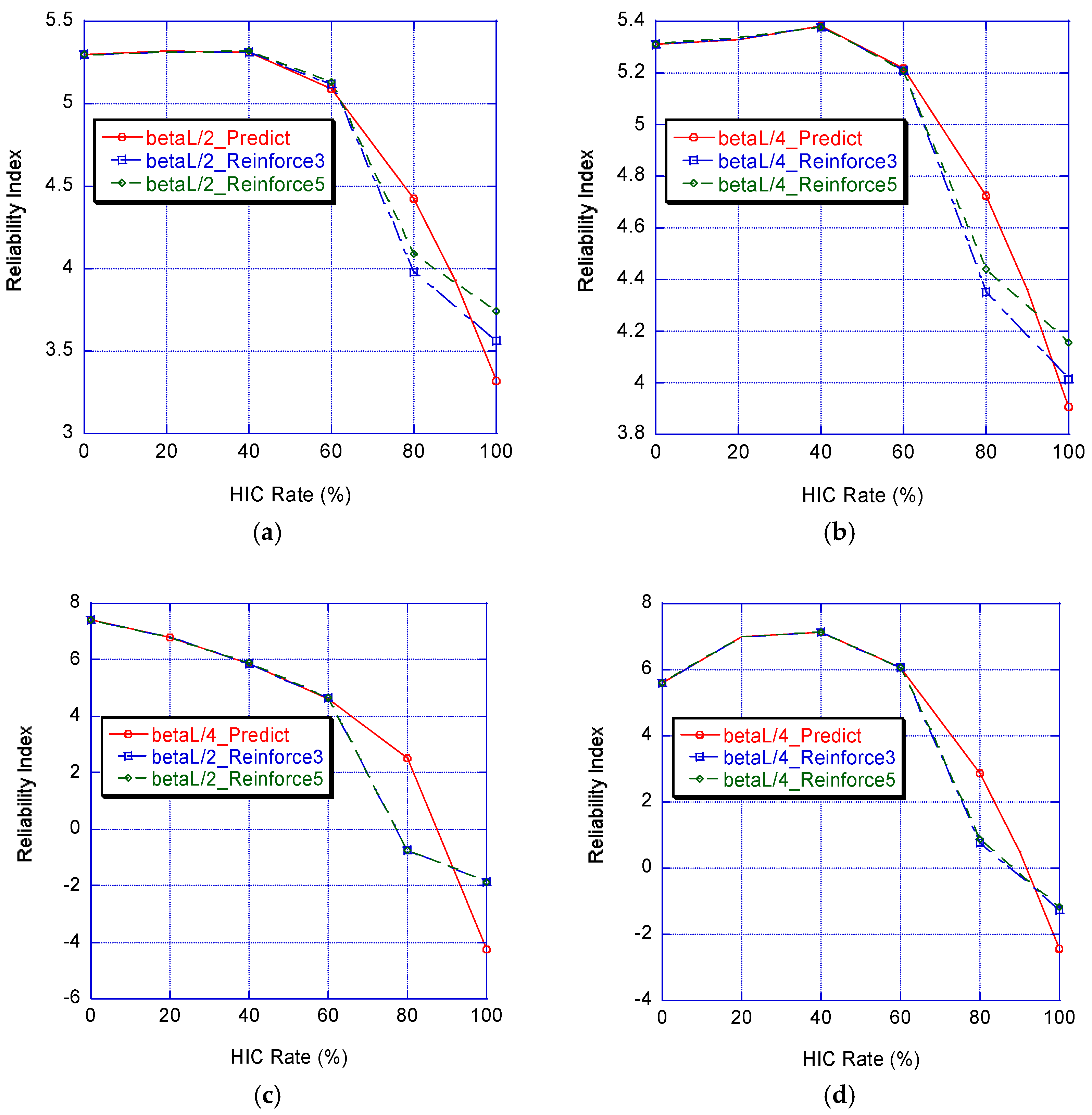
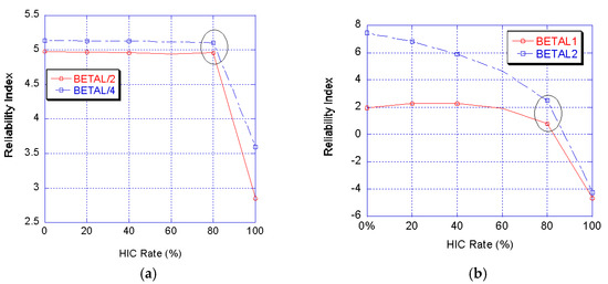
3.2. Correlation between Local and Global Component Reliabilities
3.3. Dynamically Correlated System Responses due to the Main Cable Crack Growing
4. Conclusions
Acknowledgments
Author Contributions
Conflicts of Interest
Appendix A
| Stochastic Variables | Mean | Standard Deviation | Monte-Carlo Error | Lower Limit (2.5 Percent) | Median | Lower Limit (97.5 Percent) |
|---|---|---|---|---|---|---|
| mu[1,1] | 24.52 | 700 | 19.03 | 3.221 | 5.511 | 7.847 |
| mu[1,2] | 16.57 | 421.6 | 11.47 | 3.377 | 5.109 | 6.871 |
| mu[1,3] | 8.608 | 143.1 | 3.902 | 3.331 | 4.714 | 6.091 |
| mu[1,4] | 0.6498 | 135.4 | 3.662 | 2.89 | 4.321 | 5.664 |
| mu[1,5] | −7.308 | 413.8 | 11.23 | 2.087 | 3.922 | 5.618 |
| mu[1,6] | −11.29 | 553.1 | 15.01 | 1.611 | 3.719 | 5.678 |
| mu[1,7] | −15.27 | 692.3 | 18.79 | 1.105 | 3.517 | 5.775 |
| mu[2,1] | 24.31 | 689.1 | 18.76 | 3.233 | 5.576 | 7.939 |
| mu[2,2] | 16.54 | 415.2 | 11.31 | 3.479 | 5.243 | 7.02 |
| mu[2,3] | 8.765 | 141.4 | 3.862 | 3.517 | 4.911 | 6.296 |
| mu[2,4] | 0.9903 | 132.6 | 3.586 | 3.145 | 4.582 | 5.944 |
| mu[2,5] | −6.784 | 406.5 | 11.03 | 2.393 | 4.252 | 5.971 |
| mu[2,6] | −10.67 | 543.4 | 14.76 | 1.927 | 4.089 | 6.067 |
| mu[2,7] | −14.56 | 680.3 | 18.48 | 1.439 | 3.924 | 6.207 |
| mu[3,1] | 22.41 | 691.5 | 18.8 | 1.353 | 3.616 | 6.012 |
| mu[3,2] | 13.9 | 416.7 | 11.34 | 0.8279 | 2.561 | 4.442 |
| mu[3,3] | 5.393 | 142 | 3.872 | 0.1083 | 1.504 | 3.071 |
| mu[3,4] | −3.116 | 132.9 | 3.595 | −0.9538 | 0.4491 | 2.024 |
| mu[3,5] | −11.63 | 407.6 | 11.06 | −2.336 | −0.6043 | 1.293 |
| mu[3,6] | −15.88 | 545 | 14.79 | −3.107 | −1.129 | 1.006 |
| mu[3,7] | −20.13 | 682.4 | 18.53 | −3.914 | −1.654 | 0.744 |
| mu[4,1] | 27.69 | 704.9 | 19.18 | 5.92 | 8.566 | 10.93 |
| mu[4,2] | 18.19 | 424.7 | 11.57 | 4.733 | 6.661 | 8.414 |
| mu[4,3] | 8.69 | 144.5 | 3.947 | 3.351 | 4.754 | 6.109 |
| mu[4,4] | −0.8083 | 135.8 | 3.671 | 1.499 | 2.852 | 4.244 |
| mu[4,5] | −10.31 | 415.9 | 11.29 | −0.8075 | 0.9476 | 2.832 |
| mu[4,6] | −15.06 | 556 | 15.1 | −2.063 | −0.00627 | 2.211 |
| mu[4,7] | −19.8 | 696.2 | 18.91 | −3.336 | −0.9572 | 1.638 |
References
- Hopwood, T.; Havens, J.H. Corrosion of Cable Suspension Bridges. Available online: http://uknowledge.uky.edu/cgi/viewcontent.cgi?article=1666&context=ktc_researchreports (accessed on 30 May 2017).
- Roffey, P. The fracture mechanisms of main cable wires from the forth road suspension. Eng. Fail. Anal. 2013, 31, 430–441. [Google Scholar] [CrossRef]
- Cho, T.; Kim, T.S.; Lee, D.H.; Han, S.H.; Choi, J.H. Reliability analysis of a suspension bridge affected by hydrogen induced cracking based upon response surface method. ISIJ Int. 2009, 49, 1414–1423. [Google Scholar] [CrossRef]
- Cho, T.; Kim, T.S. A prediction model for hydrogen induced cracking in a prestressed wire with a fracture analysis. ISIJ Int. 2008, 48, 496–505. [Google Scholar] [CrossRef]
- Laureys, A.; Depover, T.; Petrov, R.; Verbeken, K. Influence of sample geometry and microstructure on the hydrogen induced cracking characteristics under uniaxial load. Mater. Sci. Eng. A 2017, 690, 88–95. [Google Scholar] [CrossRef]
- Masoumi, M.; Silva, C.C.; de Abreu, H.F.G. Effect of crystallographic orientations on the hydrogen-induced cracking resistance improvement of API 5L X70 pipeline steel under various thermomechanical processing. Corros. Sci. 2016, 111, 121–131. [Google Scholar] [CrossRef]
- Dunne, D.P.; Hejazi, D.; Saleh, A.A.; Haq, A.J.; Calka, A.; Pereloma, E.V. Investigation of the effect of electrolytic hydrogen charging of X70 steel: I. The effect of microstructure on hydrogen-induced cold cracking and blistering. Int. J. Hydrog. Energy 2016, 41, 12411–12423. [Google Scholar] [CrossRef]
- Laureys, A.; Depover, T.; Petrov, R.; Verbeken, K. Characterization of hydrogen induced cracking in TRIP-assisted steels. Int. J. Hydrog. Energy 2015, 40, 16901–16912. [Google Scholar] [CrossRef]
- Shi, X.; Yan, W.; Wang, W.; Zhao, L.; Shan, Y.; Yang, K. Effect of microstructure on hydrogen induced cracking behavior of a high deformability pipeline steel. J. Iron Steel Res. Int. 2015, 22, 937–942. [Google Scholar] [CrossRef]
- Koch, G.H. Fatigue and fracture. ASM Handb. 1996, 19, 483–506. [Google Scholar]
- Tsai, W.T.; Chou, S.L. Environmentally assisted cracking behavior of duplex stainless steel in concentrated sodium chloride solution. Corros. Sci. 2000, 42, 1741–1762. [Google Scholar] [CrossRef]
- Mohtadi-Bonab, M.A.; Szpunar, J.A.; Razavi-Tousi, S.S. A comparative study of hydrogen induced cracking behavior in API 5L X60 and X70 pipeline steels. Eng. Fail. Anal. 2013, 33, 163–175. [Google Scholar] [CrossRef]
- Gjerding-Smith, K.; Johnsen, R.; Lange, H.I.; Leinum, B.H.; Gundersen, G.; Isaksen, B.; Nærum, G. Wire fractures in locked coil cables. Bridge Struct. 2006, 2, 63–77. [Google Scholar] [CrossRef]
- Cho, T.; Kim, T.S. Probabilistic risk assessment for the construction phases of a bridge construction based on finite element analysis. Finite Elem. Anal. Des. 2008, 44, 383–400. [Google Scholar] [CrossRef]
- LaFrance-Linden, D.; Watson, S.; Haines, M. Threat Assessment of Hazardous Materials Transportation in Aircraft Cargo Compartments. Transp. Res. Rec. 2001, 1763, 130–137. [Google Scholar] [CrossRef]
- Sundararajan, C. Probabilistic Structural Mechanics Handbook; Chapman & Hall: London, UK, 1994. [Google Scholar]
- Nowak, A.S.; Cho, T. Prediction of the combination of failure modes for an arch bridge system. J. Constr. Steel Res. 2007, 63, 1561–1569. [Google Scholar] [CrossRef]
- Cho, T.; Song, M.-K.; Lee, D.H. Reliability analysis for the uncertainties in vehicle and high-speed railway bridge system based on an improved response surface method for nonlinear limit states. Nonlinear Dyn. 2010, 59, 1. [Google Scholar] [CrossRef]
- Bayes, T.; Price, R.; Canton, J. An essay towards solving a problem in the doctrine of chances. Philos. Trans. 1763, 53, 370–418. [Google Scholar] [CrossRef]
- Mayrbaurl, R.M.; Camo, S. Cracking and Fracture of Suspension Bridge Wire. J. Bridge Eng. 2001, 6, 645–650. [Google Scholar] [CrossRef]
- Toribio, J. Hydrogen embrittlement of prestressing steels: the concept of effective stress in design. Mater. Des. 1997, 18, 81–85. [Google Scholar] [CrossRef]
- Forman, R.G.; Shivakuma, V. Growth Behavior of Surface Cracks in the Circumferential Plane of Solid and Hollow Cylinders. In Fracture Mechanics: Seventeenth Volume; ASTM International: West Conshohocken, PA, USA, 1986; p. 59. [Google Scholar]
- Forman, R.G.; Shivakumar, V.; Newman, J.C., Jr. Fatigue Crack Growth Computer Program; NASA/FLAGRO: Houston, TX, USA, 1994.
- Bucher, C.G.; Bourgund, U. Efficient Use of Response Surface Methods; Report No. 9-87; University of Innsbruck: Innsbruck, Austria, 1987. [Google Scholar]
- Sagues, A.A.; Wang, H. Corrosion of Post Tensioning of Strands; Florida Department of Transportation: Tallahassee, FL, USA, 2005; p. 255.













| X (Year) | Y1 | Y2 | Y3 | Y4 | Y5 |
|---|---|---|---|---|---|
| 1 | 2.5 | 3.162463 | 2.393176 | 5.211623 | 3.625013 |
| 2 | 4 | 5.270988 | 3.154476 | 6.554857 | 6.958659 |
| 3 | −0.5 | −0.59202 | −0.43391 | −0.56402 | −0.86762 |
| 4 | −17 | −24.256 | −12.6095 | −23.2487 | −26.4017 |
| 5 | −51.5 | −68.6477 | −42.3458 | −89.3462 | −96.6057 |
| 6 | −110 | −160.169 | −87.4144 | −184.485 | −162.822 |
| 7 | −199 | −208.906 | −141.385 | −286.652 | −269.2 |
| 8 | −323 | −359.445 | −269.061 | −364.23 | −529.286 |
| 9 | −490 | −522.926 | −374.941 | −822.392 | −604.255 |
| 10 | −704 | −716.606 | −507.154 | −989.295 | −989.443 |
| Reliability Index | Reliability, PS (=1 − Pf) | Probability of Failure, Pf |
|---|---|---|
| 0 | 0.5 | 0.5 |
| 0.5 | 0.691 | 0.309 |
| 1 | 0.841 | 0.159 |
| 1.5 | 0.9332 | 6.68 × 10−2 |
| 2 | 0.9772 | 2.28 × 10−2 |
| 2.5 | 0.99379 | 6.21 × 10−3 |
| 3 | 0.99865 | 1.35 × 10−3 |
| 3.5 | 0.999767 | 2.33 × 10−4 |
| 4 | 0.9999683 | 3.17 × 10−5 |
| 4.5 | 0.9999966 | 3.40 × 10−6 |
| 5 | 0.999999713 | 2.87 × 10−7 |
| 5.5 | 0.999999981 | 1.90 × 10−8 |
| 6 | 0.999999999 | 9.87 × 10−10 |
| 7 | 1 | 1.28 × 10−12 |
| 8 | 1 | 6.11 × 10−16 |
| Predicted Variables | Base Variables | 25% Reinforced Girder | Standard Deviation (25%) | Correlation (25%) | 50% Reinforced Girder | Standard Deviation (50%) | Correlation (50%) |
|---|---|---|---|---|---|---|---|
| Tensile Stress | Tensile Stress | 3.722 | 0.3722 | 1 | 2.48 | 0.248 | 1 |
| Tensile Stress | Cracking in cable wires | 3.722 | 0.3722 | 0.8138 | 2.48 | 0.248 | 0.8138 |
| Tensile Stress | Shear Stress | 3.722 | 0.3722 | 0.6945 | 2.48 | 0.248 | 0.6945 |
| Cracking in cable wires | Tensile Stress | 0.5 | 0.05 | 0.8138 | 0.5 | 0.05 | 0.8138 |
| Cracking in cable wires | Cracking in cable wires | 0.5 | 0.05 | 1 | 0.5 | 0.05 | 1 |
| Cracking in cable wires | Shear Stress | 0.5 | 0.05 | 0.8993 | 0.5 | 0.05 | 0.8993 |
| Shear Stress | Tensile Stress | 2.5052 | 0.2502 | 0.6945 | 2.5052 | 0.2502 | 0.6945 |
| Shear Stress | Cracking in cable wires | 2.5052 | 0.2502 | 0.8993 | 2.5052 | 0.2502 | 0.8993 |
| Shear Stress | Shear Stress | 2.5052 | 0.2502 | 1 | 2.5052 | 0.2502 | 1 |
© 2017 by the authors. Licensee MDPI, Basel, Switzerland. This article is an open access article distributed under the terms and conditions of the Creative Commons Attribution (CC BY) license (http://creativecommons.org/licenses/by/4.0/).
Share and Cite
Cho, T.; Delgado-Hernandez, D.J.; Lee, K.-H.; Son, B.-J.; Kim, T.-S. Bayesian Correlation Prediction Model between Hydrogen-Induced Cracking in Structural Members. Metals 2017, 7, 205. https://doi.org/10.3390/met7060205
Cho T, Delgado-Hernandez DJ, Lee K-H, Son B-J, Kim T-S. Bayesian Correlation Prediction Model between Hydrogen-Induced Cracking in Structural Members. Metals. 2017; 7(6):205. https://doi.org/10.3390/met7060205
Chicago/Turabian StyleCho, Taejun, David Joaquin Delgado-Hernandez, Kwan-Hyeong Lee, Byung-Jik Son, and Tae-Soo Kim. 2017. "Bayesian Correlation Prediction Model between Hydrogen-Induced Cracking in Structural Members" Metals 7, no. 6: 205. https://doi.org/10.3390/met7060205
APA StyleCho, T., Delgado-Hernandez, D. J., Lee, K.-H., Son, B.-J., & Kim, T.-S. (2017). Bayesian Correlation Prediction Model between Hydrogen-Induced Cracking in Structural Members. Metals, 7(6), 205. https://doi.org/10.3390/met7060205
