Keywords:
Erratum The Metals Editorial Office wishes to report the following erratum to this paper [1]. In the paper, Figure 4a,b is the same as Figure 4c. The correct version of Figure 4a,b is as follows:
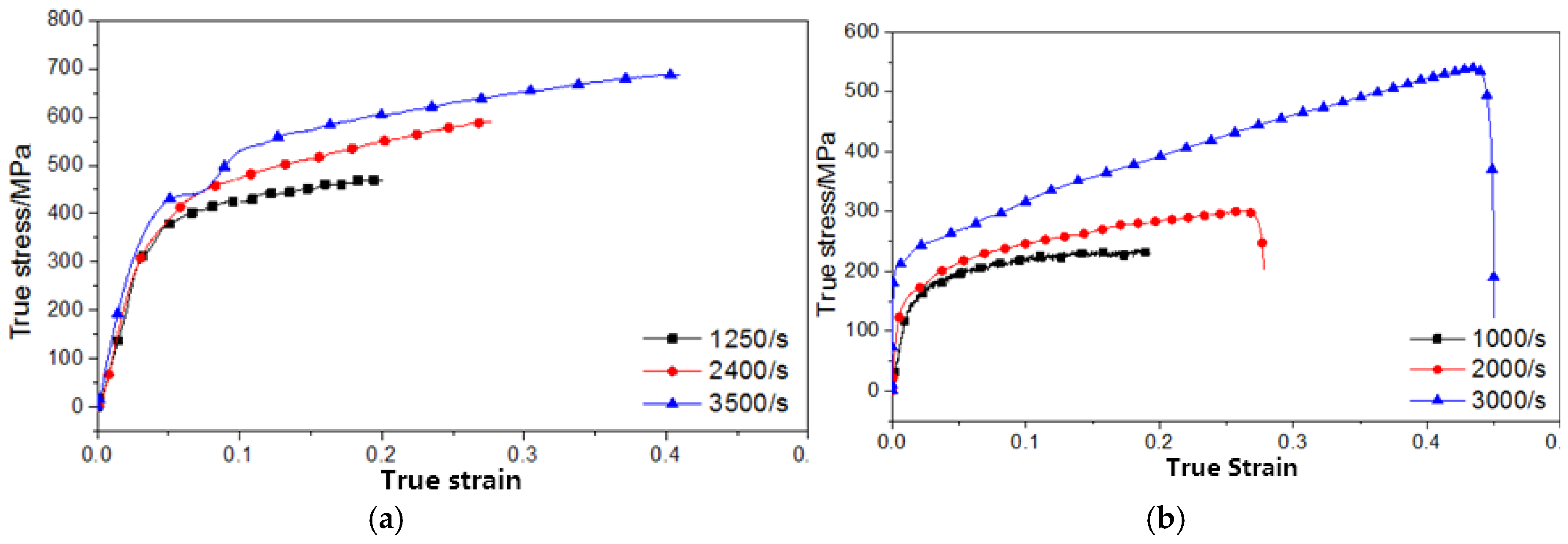
Figure 4.
Stress–strain curves of the porous titanium alloy specimens (porosity: 26% and 36%) at the same temperatures but different strain rates: (a) εp = 26%, T = 25 °C; (b) εp = 36%, T = 25 °C; (c) εp = 26%, T = 100 °C; (d) εp = 36%, T = 100 °C; (e) εp = 26%, T = 200 °C; (f) εp = 36%, T = 200 °C; (g) εp = 26%, T = 300 °C; and (h) εp = 36%, T = 300 °C.
The error was introduced during proofreading by authors. We apologize for any inconvenience caused to the readers by this mistake. The manuscript will be updated and the original will remain online on the article website.
Reference
- Liu, Z.; Ji, F.; Wang, M.; Zhu, T. One-Dimensional Constitutive Model for Porous Titanium Alloy at Various Strain Rates and Temperatures. Metals 2017, 7, 24. [Google Scholar] [CrossRef]
© 2017 by the author. Licensee MDPI, Basel, Switzerland. This article is an open access article distributed under the terms and conditions of the Creative Commons Attribution (CC BY) license ( http://creativecommons.org/licenses/by/4.0/).
