Theoretical and Experimental Nucleation and Growth of Precipitates in a Medium Carbon–Vanadium Steel
Abstract
:1. Introduction
2. Materials and Methods
3. Results and Discussion
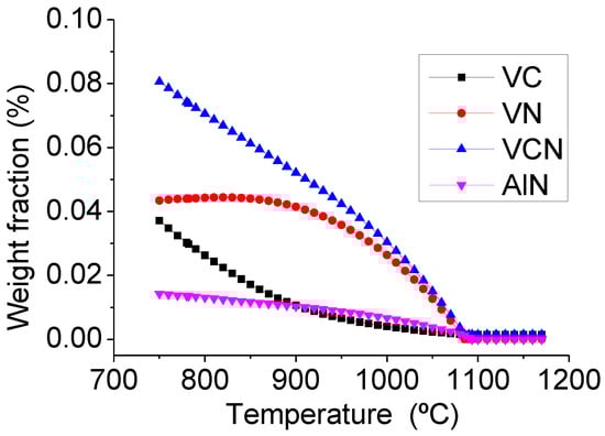
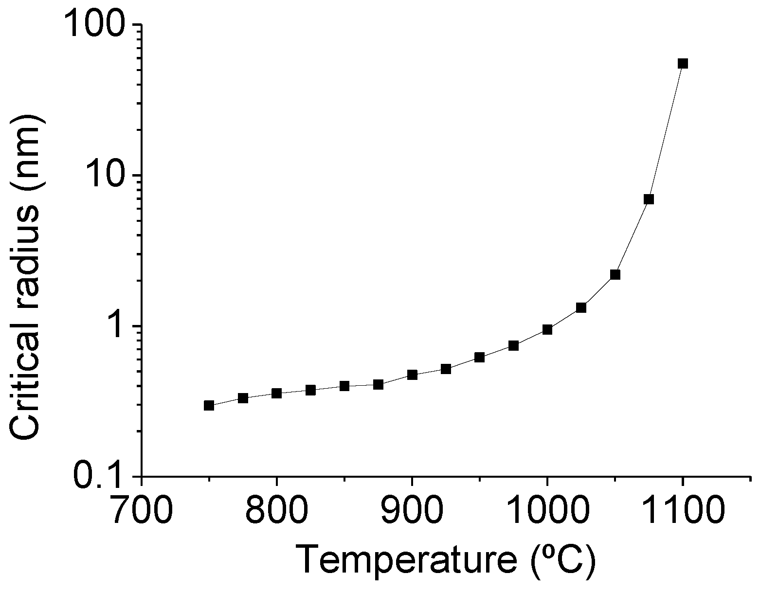
3.1. Theoretical Model and Calculation of Parameters
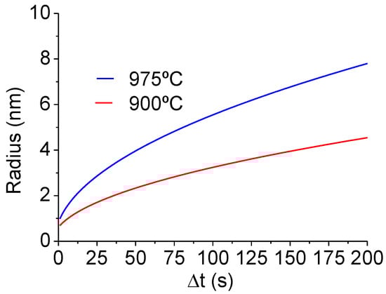
3.2. Evolution of Experimental Precipitate Size
4. Conclusions
Acknowledgments
Author Contributions
Conflicts of Interest
References
- Gómez, M.; Medina, S.F.; Quispe, A.; Valles, P. Static recrystallization and induced precipitation in a low Nb microalloyed steel. ISIJ Int. 2002, 42, 423–431. [Google Scholar] [CrossRef]
- Medina, S.F.; Quispe, A.; Gómez, M. Strain induced precipitation effect on austenite static recrystallization in microalloyed steels. Mater. Sci. Technol. 2003, 19, 99–108. [Google Scholar] [CrossRef]
- Andrade, H.L.; Akben, M.G.; Jonas, J.J. Effect of molybdenum, niobium, and vanadium on static recovery and recrystallization and on solute strengthening in microalloyed steels. Metall. Trans. A 1983, 14, 1967–1977. [Google Scholar] [CrossRef]
- Kwon, O. A technology for the prediction and control of microstructural changes and mechanical properties in steel. ISIJ Int. 1992, 32, 350–358. [Google Scholar] [CrossRef]
- Luton, M.J.; Dorvel, R.; Petkovic, R.A. Interaction between deformation, recrystallization and precipitation in niobium steels. Metall. Trans. A 1980, 11, 411–420. [Google Scholar] [CrossRef]
- Gómez, M.; Rancel, L.; Medina, S.F. Effects of aluminium and nitrogen on static recrystallization in V-microalloyed steels. Mater. Sci. Eng. A 2009, 506, 165–173. [Google Scholar] [CrossRef]
- Gómez, M.; Medina, S.F. Role of microalloying elements on the microstructure of hot rolled steels. Int. J. Mater. Res. 2011, 102, 1197–1207. [Google Scholar] [CrossRef]
- Kwon, O.; DeArdo, A. Interactions between recrystallization and precipitation in hot-deformed microalloyed steels. Acta Metall. Mater. 1990, 39, 529–538. [Google Scholar] [CrossRef]
- Dutta, B.; Valdes, E.; Sellars, C.M. Mechanisms and kinetics of strain induced precipitation of Nb(C,N) in austenite. Acta Metall. Mater. 1992, 40, 653–662. [Google Scholar] [CrossRef]
- Dutta, B.; Palmiere, E.J.; Sellars, C.M. Modelling the kinetics of strain induced precipitation in Nb microalloyed steels. Acta Mater. 2001, 49, 785–794. [Google Scholar] [CrossRef]
- Russel, K.C. Nucleation in solids: The induction and steady state effects. Adv. Colloid. Interface Sci. 1980, 13, 205–318. [Google Scholar] [CrossRef]
- Kampmann, R.; Wagner, R. A Comprehensive Treatment, Materials Science and Technology; Cahn, R.W., Ed.; VCH: Weinheim, Germany, 1991; pp. 213–303. [Google Scholar]
- Wiskel, J.B.; Lu, J.; Omotoso, O.; Ivey, D.G.; Henein, H. Characterization of precipitates in a microalloyed steel using quantitative X-ray diffraction. Metals 2016, 6, 90. [Google Scholar] [CrossRef]
- Fujita, N.; Bhadeshia, H.K.D.H. Modelling precipitation of niobium carbide in austenite: Multicomponent diffusion, capillarity and coarsening. Mater. Sci. Technol. 2001, 17, 403–408. [Google Scholar] [CrossRef]
- Maugis, P.; Gouné, M. Kinetics of vanadium carbonitride precipitation in steel: A computer model. Acta Mater. 2005, 53, 3359–3367. [Google Scholar] [CrossRef]
- Sun, W.P.; Militzer, M.; Bai, D.Q.; Jonas, J.J. Measurement and modelling of the effects of precipitation on recrystallization under multipass deformation conditions. Acta Metall. Mater. 1993, 41, 3595–3604. [Google Scholar] [CrossRef]
- Salas-Reyes, A.E.; Mejía, I.; Bedolla-Jacuinde, A.; Boulaajaj, A.; Calvo, J.; Cabrera, J.M. Hot ductility behavior of high-Mn austenitic Fe-22Mn-1.5Al-1.5Si-0.45C TWIP steels microalloyed with Ti and V. Mater. Sci. Eng. A 2014, 611, 77–89. [Google Scholar] [CrossRef]
- Mejía, I.; Salas-Reyes, A.E.; Bedolla-Jacuinde, A.; Calvo, J.; Cabrera, J.M. Effect of Nb and Mo on the hot ductility behavior of a high-manganese austenitic Fe-21Mn-1.3Al-1.5Si-0.5C TWIP steel. Mater. Sci. Eng. A 2014, 616, 229–239. [Google Scholar] [CrossRef]
- Zurob, H.S.; Hutchinson, C.R.; Brechet, Y.; Purdy, G. Modeling recrystallization of microalloyed austenite: Effect of coupling recovery, precipitation and recrystallization. Acta Mater. 2002, 50, 3075–3092. [Google Scholar] [CrossRef]
- Perrard, F.; Deschamps, A.; Maugis, P. Modelling the precipitation of NbC on dislocations in α-Fe. Acta Mater. 2007, 55, 1255–1266. [Google Scholar] [CrossRef]
- Medina, S.F.; Hernández, C.A.; Ruiz, J. Modelling austenite flow curves in low alloy and microalloyed steels. Acta Mater. 1996, 44, 155–163. [Google Scholar]
- Gladman, T. The Physical Metallurgy of Microalloyed Steels; The Institute of Materials: London, UK, 1997; pp. 28–56. [Google Scholar]
- Perez, M.; Courtois, E.; Acevedo, D.; Epicier, T.; Maugis, P. Precipitation of niobium carbonitrides in ferrite: Chemical composition measurements and thermodynamic modelling. Phil. Mag. Lett. 2007, 87, 645–656. [Google Scholar] [CrossRef]
- Radis, R.; Schlacher, C.; Kozeschnik, E.; Mayr, P.; Enzinger, N.; Schröttner, H.; Sommitsch, C. Loss of ductility caused by AlN precipitation in Hadfield steel. Metall. Mater. Trans. A 2012, 43, 1132–1139. [Google Scholar] [CrossRef]
- Perez, M.; Deschamps, A. Microscopic modelling of simultaneous two phase precipitation: Application to carbide precipitation in low carbon steels. Mater. Sci. Eng. A 2003, 360, 214–219. [Google Scholar] [CrossRef]
- FSstel Database. Available online: http//www.factsage.com (accessed on 4 December 2010).
- Bale, C.W.; Bélisle, E.; Chartrand, P.; Degterov, S.A.; Eriksson, G.; Hack, K.; Jung, I.H.; Kang, Y.B.; Melancon, J.; Pelton, A.D.; et al. FactSagethermo-chemical software and databases—Recent developments. Calphad 2009, 33, 295–311. [Google Scholar] [CrossRef]
- Mukherjee, M.; Prahl, U.; Bleck, W. Modelling the strain-induced precipitation kinetics of vanadium carbonitride during hot working of precipitation-hardened ferritic-pearlitic steels. Acta Mater. 2014, 71, 234–254. [Google Scholar] [CrossRef]
- Oikawa, H. Lattice diffusion in iron-a review. Tetsu Hagane 1982, 68, 1489–1497. [Google Scholar]
- Ardell, J. The effect of volume fraction on particle coarsening: Theoretical considerations. Acta Metall. 1972, 20, 61–71. [Google Scholar] [CrossRef]
- Badjena, S.K. Dynamic recrystallization behavior of vanadium micro-alloyed forging medium carbon steel. ISIJ Int. 2014, 54, 650–656. [Google Scholar] [CrossRef]
- Kostryzhev, A.G.; Mannan, P.; Marenych, O.O. High temperature dislocation structure and NbC precipitation in three Ni-Fe-Nb-C model alloys. J. Mater. Sci. 2015, 50, 7115–7125. [Google Scholar] [CrossRef]
- Nafisi, S.; Amirkhiz, B.S.; Fazeli, F.; Arafin, M.; Glodowski, R.; Collins, L. Effect of vanadium addition on the strength of API X100 linepipe steel. ISIJ Int. 2016, 56, 154–160. [Google Scholar] [CrossRef]
- Gómez, M.; Medina, S.F.; Valles, P. Determination of driving and pinning forces for static recrystallization during hot rolling of a Nb-microalloyed steel. ISIJ Int. 2005, 45, 1711–1720. [Google Scholar] [CrossRef]
- Medina, S.F.; Quispe, A.; Gomez, M. New model for strain induced precipitation kinetics in microalloyed steels. Metall. Mater. Trans. A 2014, 45, 1524–1539. [Google Scholar] [CrossRef]








| C | Si | Mn | V | N | Al | Ar3, °C |
|---|---|---|---|---|---|---|
| 0.33 | 0.22 | 1.24 | 0.076 | 0.0146 | 0.011 | 716 |
| Parameter | Symbol | Value | Reference |
|---|---|---|---|
| Burgers vector | b (m) | 2.59 × 10−10 | [9] |
| Shear modulus | μ (MPa) | 4.5 × 104 | [9] |
| Interfacial energy | γ (J·m−2) | 0.5 | [10,15] |
| Lattice parameter (VCN) | a (nm) | 0.4118 | [26] |
| Bulk diffusion of V | DV (m2·s−1) | 0.28 × 10−4e(−264,000/RT) | [27] |
| Pipe diffusion | Dp (m2·s−1) | 0.25 × 10−4e(−210,000/RT) | [26] |
| Molar volume of VCN | VP (m3·mol−1) | 10.65 × 10−6 | [15] |
| Molar volume of austenite | VFe (m3·mol−1) | 7.11 × 10−6 | [15] |
| Dislocation core radius | Rcore (m) | 5.00 × 10−10 | [10] |
© 2017 by the authors. Licensee MDPI, Basel, Switzerland. This article is an open access article distributed under the terms and conditions of the Creative Commons Attribution (CC BY) license ( http://creativecommons.org/licenses/by/4.0/).
Share and Cite
Medina, S.F.; Ruiz-Bustinza, I.; Robla, J.; Calvo, J. Theoretical and Experimental Nucleation and Growth of Precipitates in a Medium Carbon–Vanadium Steel. Metals 2017, 7, 45. https://doi.org/10.3390/met7020045
Medina SF, Ruiz-Bustinza I, Robla J, Calvo J. Theoretical and Experimental Nucleation and Growth of Precipitates in a Medium Carbon–Vanadium Steel. Metals. 2017; 7(2):45. https://doi.org/10.3390/met7020045
Chicago/Turabian StyleMedina, Sebastián F., Inigo Ruiz-Bustinza, José Robla, and Jessica Calvo. 2017. "Theoretical and Experimental Nucleation and Growth of Precipitates in a Medium Carbon–Vanadium Steel" Metals 7, no. 2: 45. https://doi.org/10.3390/met7020045
APA StyleMedina, S. F., Ruiz-Bustinza, I., Robla, J., & Calvo, J. (2017). Theoretical and Experimental Nucleation and Growth of Precipitates in a Medium Carbon–Vanadium Steel. Metals, 7(2), 45. https://doi.org/10.3390/met7020045

