Effect of Nitrogen on Deformation-Induced Martensitic Transformation in an Austenitic 301 Stainless Steels
Abstract
:1. Introduction
2. Materials and Methods
3. Results and Discussion
3.1. Effect of Nitrogen on Kinetics of DIMT
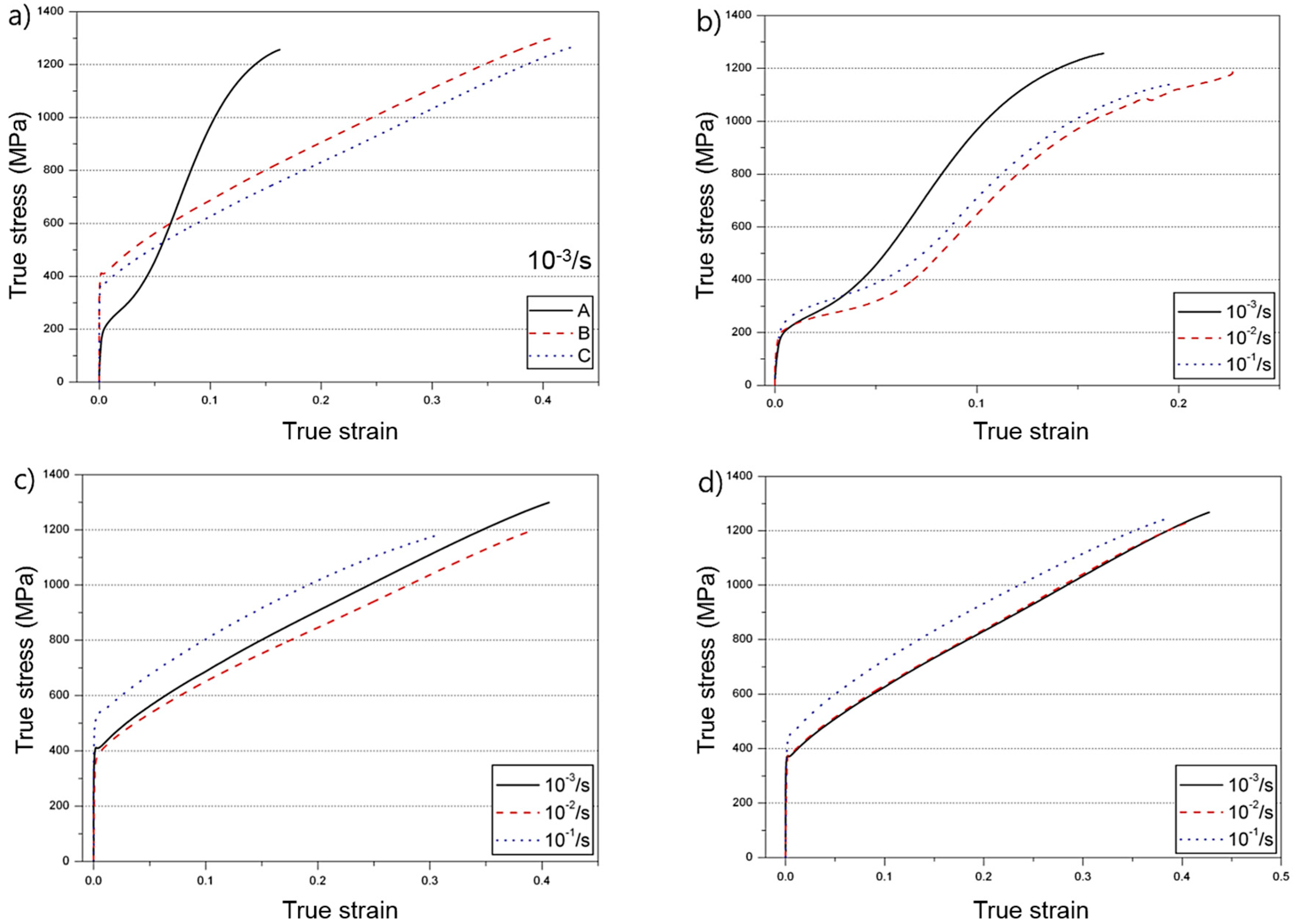
3.2. Effect of Nitrogen on Tensile Properteis and Microstructure
4. Conclusions
- DIMT is viewed here as a simultaneous relaxation process of internal strain energy and the kinetics equation based on the inelastic deformation theory successfully described the variation of DIMT kinetics in metastable austenitic stainless steels.
- In austenitic 301 stainless steels, addition of nitrogen in not observed to change the generation rate of nucleation site for DIMT (n is constant for 2.2) but effectively suppressed DIMT by stabilizing metastable austenite phase (decreasing β and increasing ε0 with increasing nitrogen contents).
- The driving force deficiency for DIMT of nitrogen-added austenite is higher than that of nitrogen-free austenite and the difference results in the suppression of DIMT. More internal strain energy therefore is needed to transform nitrogen-added austenite into martensite than nitrogen-free austenite.
- Stress-strain curve of nitrogen-free austenitic steel changed from sigmoidal to parabolic shape at transient strain. This transition disappeared with increasing nitrogen contents implying that DIMT is suppressed with added nitrogen.
Acknowledgments
Author Contributions
Conflicts of Interest
References
- Hedström, P.; Lienert, U.; Almer, J.; Odén, M. Stepwise transformation behavior of the strain-induced martensitic transformation in a metastable stainless steel. Scr. Mater. 2007, 56, 213–216. [Google Scholar] [CrossRef]
- Olson, G.; Cohen, M. A Mechanism for the Strain-Induced Nucleation of Martensitic Transformation. J. Less Common Met. 1972, 28, 107–118. [Google Scholar] [CrossRef]
- Shen, Y.F.; Li, X.X.; Sun, X.; Wang, Y.D.; Zuo, L. Twinning and martensite in a 304 austenitic stainless steel. Mater. Sci. Eng. A 2012, 552, 514–522. [Google Scholar] [CrossRef]
- Lee, T.-H.; Oh, C.-S.; Kim, S.-J. Effects of nitrogen on deformation-induced martensitic transformation in metastable austenitic Fe–18Cr–10Mn–N steels. Scr. Mater. 2008, 58, 110–113. [Google Scholar] [CrossRef]
- Gey, N.; Petit, B.; Humbert, M. Electron backscattered diffraction study of ε/α’ martensitic variants induced by plastic deformation in 304 stainless steel. Metall. Mater. Trans. A 2005, 36, 3291–3299. [Google Scholar] [CrossRef]
- Guimaraes, J.R.C. The kinetics of deformation induced martensite. Scr. Metall. 1976, 10, 223–227. [Google Scholar] [CrossRef]
- Iwamoto, T.; Tsuta, T.; Tomita, Y. Investigation on deformation mode dependence of strain-induced martensitic transformation in trip steels and modelling of transformation kinetics. Int. J. Mech. Sci. 1998, 40, 173–182. [Google Scholar] [CrossRef]
- McReynolds, A.W. Effects of Stress and Deformation on the Martensite Transformation. J. Appl. Phys. 1949, 20, 896–907. [Google Scholar] [CrossRef]
- Ahmedabadi, P.M.; Kain, V.; Agrawal, A. Modelling kinetics of strain-induced martensite transformation during plastic deformation of austenitic stainless steel. Mater. Des. 2016, 109, 466–475. [Google Scholar] [CrossRef]
- Shin, H.C.; Ha, T.K.; Chang, Y.W. Kinetics of deformation induced martensitic transformation in a 304 stainless steel. Scr. Mater. 2001, 45, 823–829. [Google Scholar] [CrossRef]
- Wang, Z.; Beese, A.M. Effect of chemistry on martensitic phase transformation kinetics and resulting properties of additively manufactured stainless steel. Acta Mater. 2017, 131, 410–422. [Google Scholar] [CrossRef]
- Wang, H.; Jeong, Y.; Clausen, B.; Liu, Y.; McCabe, R.J.; Barlat, F.; Tomé, C.N. Effect of martensitic phase transformation on the behavior of 304 austenitic stainless steel under tension. Mater. Sci. Eng. A 2016, 649, 174–183. [Google Scholar] [CrossRef]
- Olson, G.B.; Cohen, M. Kinetics of strain-induced martensitic nucleation. Metall. Mater. Trans. A 1975, 6, 791–795. [Google Scholar] [CrossRef]
- Weina, Z.; Zhenyu, L.; Zhibo, Z.; Guodong, W. The crystallographic mechanism for deformation induced martensitic transformation observed by high resolution transmission electron microscope. Mater. Lett. 2013, 91, 158–160. [Google Scholar] [CrossRef]
- Ramirez, A.C.; Tsuta, T.; Mitani, T.; Osakada, K. Flow stress and phase transformation analyses in the austenitic stainless steel under cold working: Part 1, Phase Transformation Characteristics and Constitutive Formulation by Energetic Criterion. JSME Int. J. 1992, 35, 201–209. [Google Scholar] [CrossRef]
- Isakov, M.; May, M.; Hiermaier, S.; Kuokkala, V.T. A model for the strain rate dependent plasticity of a metastable austenitic stainless steel. Mater. Des. 2016, 106, 258–272. [Google Scholar] [CrossRef]
- Haidemenopoulos, G.N.; Aravas, N.; Bellas, I. Kinetics of strain-induced transformation of dispersed austenite in low-alloy TRIP steels. Mater. Sci. Eng. A 2014, 615, 416–423. [Google Scholar] [CrossRef]
- Choi, H.C.; Ha, T.K.; Shin, H.C.; Chang, Y.W. The formation kinetics of deformation twin and deformation induced ϵ-martensite in an austenitic Fe-C-Mn steel. Scr. Mater. 1999, 40, 1171–1177. [Google Scholar] [CrossRef]
- Hedayati, A.; Najafizadeh, A.; Kermanpur, A.; Forouzan, F. The effect of cold rolling regime on microstructure and mechanical properties of AISI 304L stainless steel. J. Mater. Process. Technol. 2010, 210, 1017–1022. [Google Scholar] [CrossRef]
- Roa, J.J.; Fargas, G.; Mateo, A.; Jiménez-Piqué, E. Dependence of nanoindentation hardness with crystallographic orientation of austenite grains in metastable stainless steels. Mater. Sci. Eng. A 2015, 645, 188–195. [Google Scholar] [CrossRef]
- Hecker, S.S.; Stout, M.G.; Staudhammer, K.P.; Smith, J.L. Effects of Strain State and Strain Rate on Deformation-Induced Transformation in 304 Stainless Steel: Part I. Magnetic Measurements and Mechanical Behavior. Metall. Trans. A 1982, 13, 619–626. [Google Scholar] [CrossRef]
- Reed, R.P. Nitrogen in austenitic stainless steels. JOM 1989, 41, 16–21. [Google Scholar] [CrossRef]
- De Abreu, H.F.G.; de Carvalho, S.S.; de Lima Neto, P.; dos Santos, R.P.; Freire, V.N.; de Oliveira Silva, P.M.; Tavares, S.S.M. Deformation induced martensite in an AISI 301LN stainless steel: Characterization and influence on pitting corrosion resistance. Mater. Res. 2007, 10, 359–366. [Google Scholar] [CrossRef]
- Beese, A.M.; Mohr, D. Identification of the Direction-Dependency of the Martensitic Transformation in Stainless Steel Using In Situ Magnetic Permeability Measurements. Exp. Mech. 2011, 51, 667–676. [Google Scholar] [CrossRef]
- Ha, T.K.; Chang, Y.W. An internal variable theory of structural superplasticity. Acta Mater. 1998, 46, 2741–2749. [Google Scholar] [CrossRef]
- Humbert, M.; Petit, B.; Bolle, B.; Gey, N. Analysis of the γ–ε–α′ variant selection induced by 10% plastic deformation in 304 stainless steel at −60 °C. Mater. Sci. Eng. A 2007, 454–455, 508–517. [Google Scholar] [CrossRef]
- Weidner, A.; Segel, C.; Biermann, H. Magnitude of shear of deformation-induced α′-martensite in high-alloy metastable steel. Mater. Lett. 2015, 143, 155–158. [Google Scholar] [CrossRef]
- Bhadeshia, H.K.D.H.; Honeycomb, R. Steels: Microstructure and Properties, 3rd ed.; Elsevier: London, UK, 2006; p. 118. [Google Scholar]
- Sjoberg, J. Influence of Analysis on the Properties of Stainless Spring Steel. Wire 1973, 23, 155–158. [Google Scholar]
- Huang, G.L.; Matlock, D.K.; Krauss, G. Martensite formation, strain rate sensitivity, and deformation behavior of type 304 stainless steel sheet. Metall. Trans. A 1989, 20, 1239–1246. [Google Scholar] [CrossRef]
- Jeon, J.B.; Chang, Y.W. EBSD study on the evolution of microstructures during compressive deformation of an austenitic stainless steel. Int. J. Mod. Phys. B 2008, 22, 5971–5975. [Google Scholar] [CrossRef]
- Yakubtsov, I.A.; Ariapour, A.; Perovic, D.D. Effect of nitrogen on stacking fault energy of f.c.c. iron-based alloys. Acta Mater. 1999, 47, 1271–1279. [Google Scholar] [CrossRef]





| Alloys | C | Cr | Ni | Mn | Al | Cu | N |
|---|---|---|---|---|---|---|---|
| A | 0.041 | 17.37 | 6.93 | 1.00 | 0.509 | 0.233 | - |
| B | 0.038 | 17.38 | 7.00 | 1.00 | 0.492 | 0.227 | 0.144 |
| C | 0.040 | 17.08 | 6.98 | 0.971 | 0.460 | 0.220 | 0.296 |
| Alloys | Transformation Parameters | Tensile Properties | |||||
|---|---|---|---|---|---|---|---|
| fs | β | n | ε0 | YS (MPa) | UTS (MPa) | UE (%) | |
| A | 64 | 107 | 2.2 | 0.01 | 224 | 1067 | 38.4 |
| B | 40.5 | 4.4 | 2.2 | 0.08 | 412 | 863 | 50.1 |
| C | 40.0 | 2.8 | 2.2 | 0.1 | 373 | 825 | 53.3 |
© 2017 by the authors. Licensee MDPI, Basel, Switzerland. This article is an open access article distributed under the terms and conditions of the Creative Commons Attribution (CC BY) license (http://creativecommons.org/licenses/by/4.0/).
Share and Cite
Jeon, J.B.; Chang, Y.W. Effect of Nitrogen on Deformation-Induced Martensitic Transformation in an Austenitic 301 Stainless Steels. Metals 2017, 7, 503. https://doi.org/10.3390/met7110503
Jeon JB, Chang YW. Effect of Nitrogen on Deformation-Induced Martensitic Transformation in an Austenitic 301 Stainless Steels. Metals. 2017; 7(11):503. https://doi.org/10.3390/met7110503
Chicago/Turabian StyleJeon, Jong Bae, and Young Won Chang. 2017. "Effect of Nitrogen on Deformation-Induced Martensitic Transformation in an Austenitic 301 Stainless Steels" Metals 7, no. 11: 503. https://doi.org/10.3390/met7110503
APA StyleJeon, J. B., & Chang, Y. W. (2017). Effect of Nitrogen on Deformation-Induced Martensitic Transformation in an Austenitic 301 Stainless Steels. Metals, 7(11), 503. https://doi.org/10.3390/met7110503
