Effect of Yttrium Addition on Glass-Forming Ability and Magnetic Properties of Fe–Co–B–Si–Nb Bulk Metallic Glass
Abstract
:1. Introduction
2. Materials and Methods
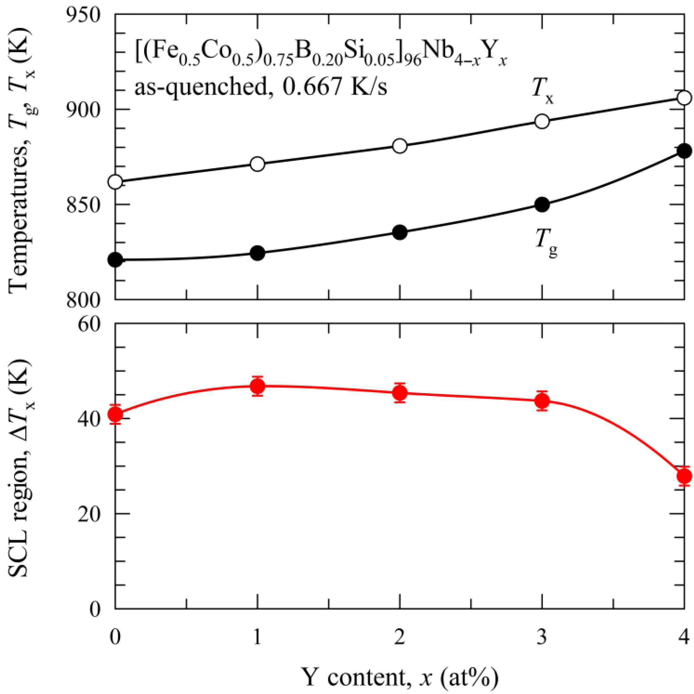
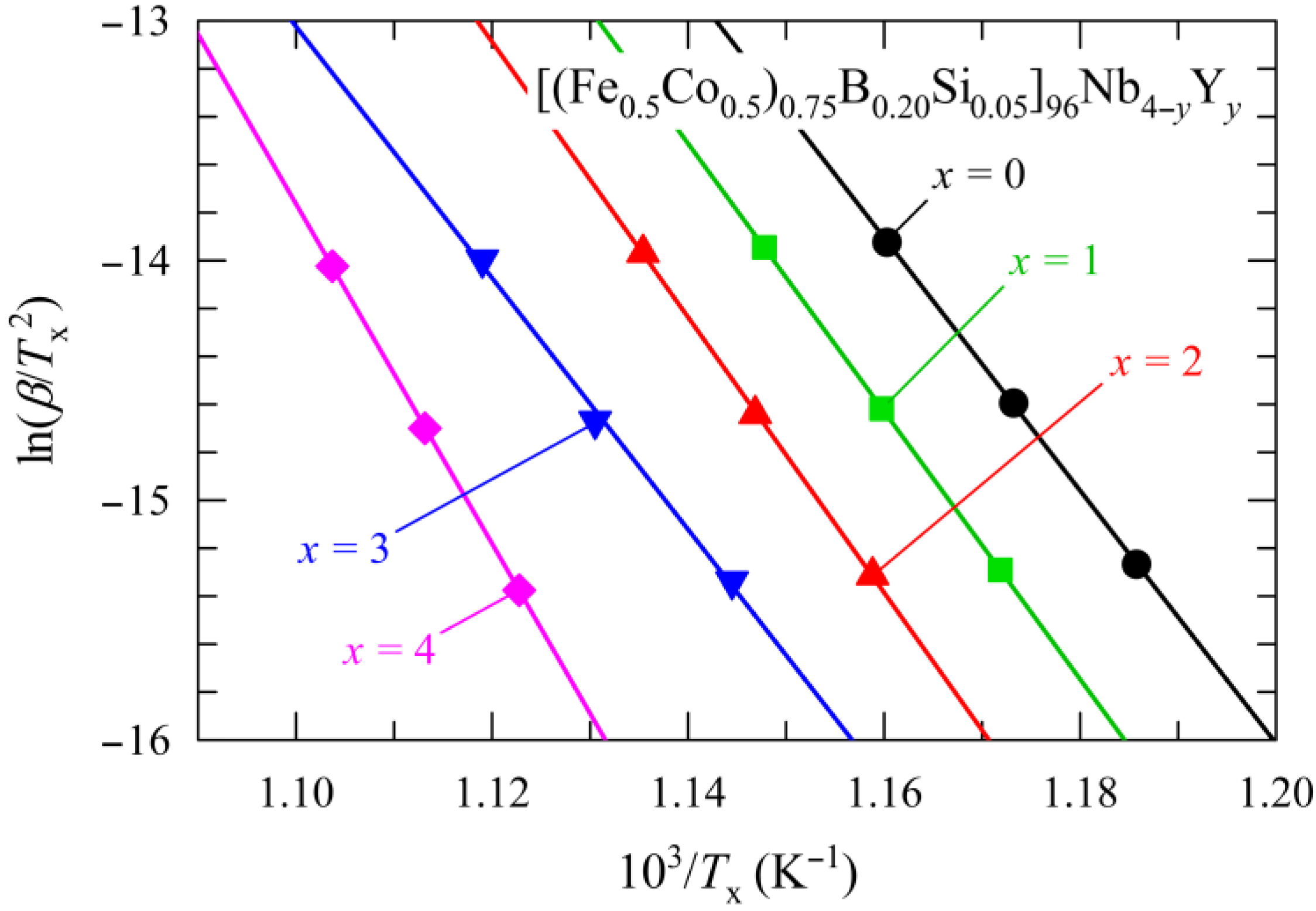
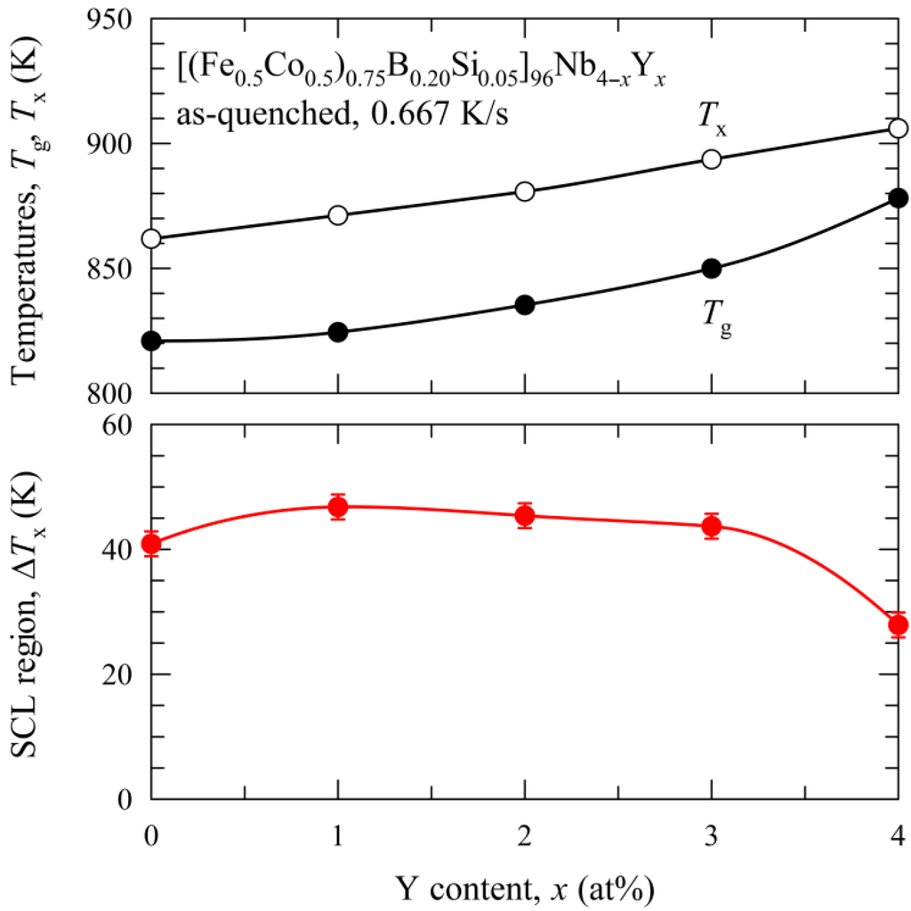
3. Results and Discussion




| x | Tx * (K) | −Ea/R (103 K) | ln(EaK0/R) | Ea (kJ/mol) | K0 (s−1) |
|---|---|---|---|---|---|
| 0 | 862 | 52.8 | 47.3 | 439 | 6.6 × 1015 |
| 1 | 871 | 55.9 | 50.2 | 464 | 1.1 × 1017 |
| 2 | 881 | 57.4 | 51.3 | 478 | 3.1 × 1017 |
| 3 | 894 | 58.8 | 51.9 | 489 | 5.6 × 1017 |
| 4 | 906 | 70.9 | 64.2 | 589 | 1.0 × 1023 |




4. Conclusions
Acknowledgments
Author Contributions
Conflicts of Interest
References
- Inoue, A.; Takeuchi, A.; Shen, B. Formation and functional properties of Fe-based bulk glassy alloys. Mater. Trans. 2001, 42, 970–978. [Google Scholar] [CrossRef] [Green Version]
- Bitoh, T.; Makino, A.; Inoue, A. Origin of low coercivity of Fe–(Al, Ga)–(P, C, B, Si, Ge) bulk glassy alloys. Mater. Trans. 2003, 44, 2020–2024. [Google Scholar] [CrossRef]
- Bitoh, T.; Makino, A.; Inoue, A. Magnetization process and coercivity of Fe–(Al, Ga)–(P, C, B, Si) soft magnetic glassy alloys. Mater. Trans. 2004, 45, 1219–1227. [Google Scholar] [CrossRef]
- Bitoh, T.; Makino, A.; Inoue, A. Origin of low coercivity of (Fe0.75B0.15Si0.10)100−xNbx (x = 1–4) glassy alloys. J. Appl. Phys. 2006, 99, 08F102. [Google Scholar] [CrossRef]
- Bitoh, T.; Kikuchi, S. Glass-forming ability and magnetic properties of (Fe0.80Co0.20)96−xBxSi1Nb3−yYy (x = 15, 17) amorphous alloys. IEEE Trans. Magn. 2014, 50, 1–5. [Google Scholar] [CrossRef]
- Ishikawa, T.; Tsubota, T.; Bitoh, T. Soft magnetic properties of ring-shaped Fe–Co–B–Si–Nb bulk metallic glasses. J. Magn. 2001, 16, 431–434. [Google Scholar] [CrossRef]
- Inoue, A.; Shen, B.L.; Chang, C.T. Super-high strength of over 4000 MPa for Fe-based bulk glassy alloys in [(Fe1−xCox)0.75B0.2Si0.05]96Nb4 system. Acta Mater. 2004, 52, 4093–4099. [Google Scholar] [CrossRef]
- Bitoh, T.; Makino, A.; Inoue, A.; Greer, A.L. Large bulk soft magnetic [(Fe0.5Co0.5)0.75B0.20Si0.05]96Nb4 glassy alloy prepared by B2O3 flux melting and water quenching. Appl. Phys. Lett. 2006, 88, 182510. [Google Scholar] [CrossRef]
- Bitoh, T.; Shibata, D. Improvement of soft magnetic properties [(Fe0.5Co0.5)0.75B0.20Si0.05]96Nb4 bulk metallic glass by B2O3 flux melting. J. Appl. Phys. 2008, 103, 07E702. [Google Scholar] [CrossRef]
- Kissinger, H.E. Variation of peak temperature with heating rate in differential thermal analysis. J. Res. Natl. Bur. Stand. 1956, 57, 217–221. [Google Scholar] [CrossRef]
- Louzguine, D.V.; Inoue, A. Comparison of the long-term thermal stability of various metallic glasses under continuous heating. Scr. Mater. 2002, 47, 887–891. [Google Scholar] [CrossRef]
- Kim, J.H.; Park, J.S.; Fleury, E.; Kim, W.T.; Kim, D.H. Effect of yttrium addition on thermal stability and glass forming ability in Fe–TM (Mn, Mo, Ni)–B ternary alloys. Mater. Trans. 2004, 45, 2770–2775. [Google Scholar] [CrossRef]
- Emsley, J. The Elements, 3rd ed.; Oxford University Press: Oxford, UK, 1998. [Google Scholar]
- Nakamura, T.; Matsubara, E.; Imafuku, M.; Koshiba, H.; Inoue, A.; Waseda, Y. Structural study of amorphous Fe70M10B20 (M = Cr, W, Nb, Zr and Hf) alloys by X-ray diffraction. Mater. Trans. 2001, 42, 1530–1534. [Google Scholar] [CrossRef]
- Nakamura, T.; Koshiba, H.; Imafuku, M.; Inoue, A.; Matsubara, E. Determination of atomic sites of Nb dissolved in metastable Fe23B6 phase. Mater. Trans. 2002, 43, 1918–1920. [Google Scholar] [CrossRef]
- O’Handley, R.C. Modern Magnetic Materials: Principles and Applications; Wiley-Interscience: New York, NY, USA, 1999; pp. 391–431. [Google Scholar]
- Kakehashi, Y. Modern Theory of Magnetism in Metals and Alloys; Springer: Berlin, Germany, 2013; pp. 253–299. [Google Scholar]
- De Boer, F.R.; Boom, R.; Mattens, W.C.M.; Miedema, A.R.; Niessen, A.K. Cohesion in Metals; North-Holland: Amsterdam, The Netherlands, 1988. [Google Scholar]
- Takeuchi, A.; Inoue, A. Classification of bulk metallic glasses by atomic size difference, heat of mixing and period of constitute elements and its application to characterization of the main alloying element. Mater Trans. 2005, 46, 2817–2829. [Google Scholar] [CrossRef]
© 2015 by the authors; licensee MDPI, Basel, Switzerland. This article is an open access article distributed under the terms and conditions of the Creative Commons Attribution license (http://creativecommons.org/licenses/by/4.0/).
Share and Cite
Bitoh, T.; Watanabe, D. Effect of Yttrium Addition on Glass-Forming Ability and Magnetic Properties of Fe–Co–B–Si–Nb Bulk Metallic Glass. Metals 2015, 5, 1127-1135. https://doi.org/10.3390/met5031127
Bitoh T, Watanabe D. Effect of Yttrium Addition on Glass-Forming Ability and Magnetic Properties of Fe–Co–B–Si–Nb Bulk Metallic Glass. Metals. 2015; 5(3):1127-1135. https://doi.org/10.3390/met5031127
Chicago/Turabian StyleBitoh, Teruo, and Dai Watanabe. 2015. "Effect of Yttrium Addition on Glass-Forming Ability and Magnetic Properties of Fe–Co–B–Si–Nb Bulk Metallic Glass" Metals 5, no. 3: 1127-1135. https://doi.org/10.3390/met5031127
APA StyleBitoh, T., & Watanabe, D. (2015). Effect of Yttrium Addition on Glass-Forming Ability and Magnetic Properties of Fe–Co–B–Si–Nb Bulk Metallic Glass. Metals, 5(3), 1127-1135. https://doi.org/10.3390/met5031127
