Green Nanocomposites from Renewable Plant Oils and Polyhedral Oligomeric Silsesquioxanes
Abstract
:1. Introduction

2. Experimental Section
2.1. Materials
2.2. Synthesis of Green Nanocomposites
2.3. Measurements
3. Results and Discussion
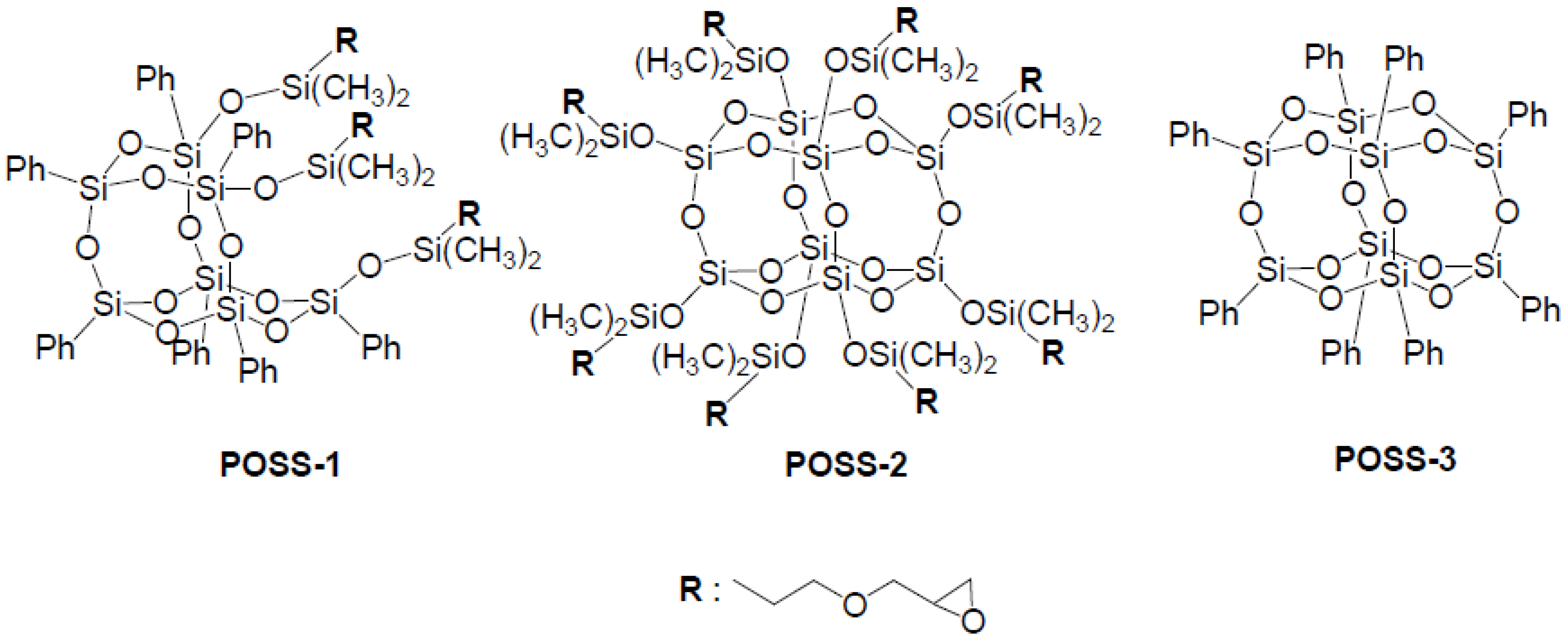
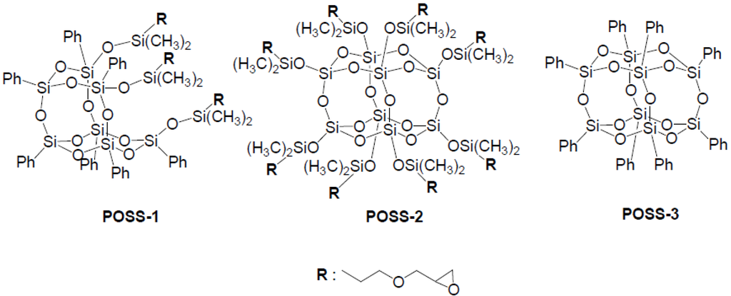
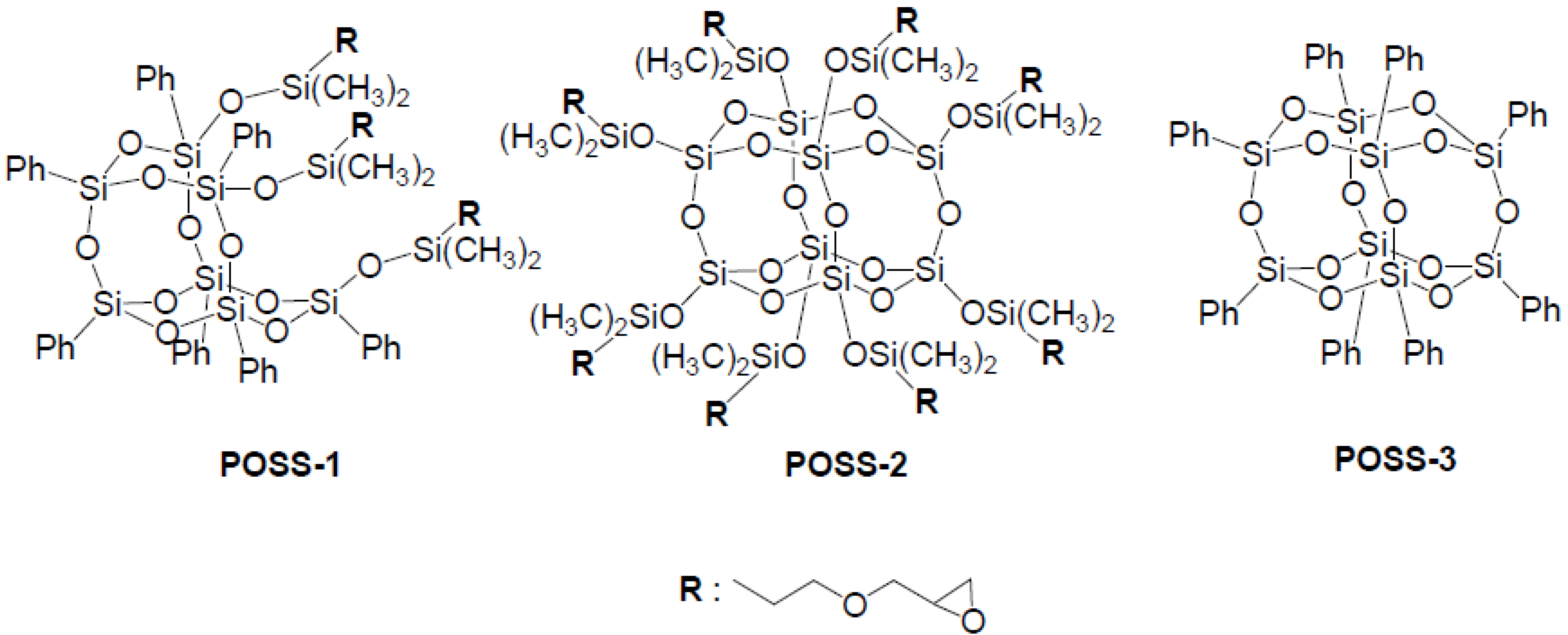
3.1. Synthesis of Green Nanocomposites

3.2. Nanostructural Analysis of Green Nanocomposites

3.3. Film Properties of Green Nanocomposites
| Entry | Epoxidized Plant Oil | POSS a | Pencil Scratch Hardness | Universal Hardness b/N·mm−2 | Young’s Modulus b/MPa | We/Wtotb,c/% |
|---|---|---|---|---|---|---|
| 1 | ESO | -d | 2B | 9 | 210 | 90 |
| 2 | ESO | 1 (10) | 2H | 16 | 450 | 78 |
| 3 | ESO | 2 (10) | 4H | 23 | 700 | 68 |
| 4 | ELO | -d | 2H | 47 | 1190 | 45 |
| 5 | ELO | 1 (10) | 5H | 49 | 1620 | 39 |
| 6 | ELO | 2 (10) | > 6H | 55 | 1760 | 42 |

3.4. Thermal and Mechanical Properties of Green Nanocomposites

| Entry | Epoxidized Plant Oil | POSS a | Tg b/°C | E'+ 100 °C b/× 107 Pa | Crosslinking density b/× 10−3 mol·m−3 | Tensile Modulus c/MPa | Maximum Stress c/MPa | Strain at Break c/% |
|---|---|---|---|---|---|---|---|---|
| 1 | ESO | - d | −10 | 3.1 | 3.15 | 13 | 1.0 | 9 |
| 2 | ESO | 1 (10) | 8 | 5.6 | 5.48 | 18 | 2.5 | 20 |
| 3 | ESO | 2 (10) | 9 | 5.7 | 5.96 | 15 | 2.7 | 17 |
| 4 | ESO | 3 (5) | −7 | 3.4 | 3.43 | 14 | 1.1 | 10 |
| 5 | ELO | - d | 48 | 9.1 | 9.97 | 240 | 15.7 | 6 |
| 6 | ELO | 1 (10) | 55 | 12.0 | 13.3 | 260 | 16.9 | 11 |
| 7 | ELO | 2 (10) | 54 | 14.2 | 15.6 | 280 | 18.1 | 9 |

4. Conclusions
Acknowledgments
Author Contributions
Conflicts of Interest
References
- Sanchez, C.; Soler-Illia, G.J.A.A.; Ribot, F.; Lalot, T.; Mayer, C.R.; Cabuil, V. Designed hybrid organic-inorganic nanocomposites from functional nanobuilding blocks. Chem. Mater. 2001, 13, 3061–3083. [Google Scholar] [CrossRef]
- Spange, S.; Grund, S. Nanostructured organic-inorganic composite materials by twin polymerization of hybrid monomers. Adv. Mater. 2009, 21, 2111–2116. [Google Scholar] [CrossRef]
- Guan, Y.; Zhang, B.; Tan, X.; Qi, X.; Bian, J.; Peng, F.; Sun, R. Organic-inorganic composite films based on modified hemicelluloses with clay nanoplatelets. ACS Sustain. Chem. Eng. 2014, 2, 1811–1818. [Google Scholar] [CrossRef]
- Hensbergen, J.A.; Liu, M.; Burford, R.P.; Lowe, A.B. Simultaneous ROMP and titania sol-gel reactions and nanodispersed functional organic-inorganic composite hybrid materials. J. Mater. Chem. C 2015, 3, 693–702. [Google Scholar] [CrossRef]
- Cordes, D.B.; Lickiss, P.D.; Rataboul, F. Recent developments in the chemistry of cubic polyhedral oligosilsesquioxanes. Chem. Rev. 1996, 110, 2081–2173. [Google Scholar] [CrossRef] [PubMed]
- Murugavel, R.; Voigt, A.; Walawalkar, M.G.; Roesky, H.W. Hetero- and metallasiloxanes derived from silanediols, disilanols, silanetriols, and trisilanols. Chem. Rev. 1996, 96, 2205–2236. [Google Scholar] [CrossRef] [PubMed]
- Laine, R.M. Nanobuilding blocks based on the [OSiO1.5]x (x = 6, 8, 10) octasilsesquioxanes. J. Mater. Chem. 2005, 15, 3725–3744. [Google Scholar] [CrossRef]
- Zeng, J.; Kumer, S.; lyer, S.; Schiraldi, D.A.; Gonzalez, R.I. Reinforcement of poly(ethylene terephthalate) fibers with polyhedral oligomeric silsesquioxanes (POSS). High Perform. Polym. 2005, 17, 403–424. [Google Scholar] [CrossRef]
- Lickiss, P.D.; Rataboul, F. Fully condensed polyhedral oligosilsesquioxanes (POSS): From synthesis to application. Adv. Org. Chem. 2008, 57, 1–116. [Google Scholar]
- Wu, J.; Haddad, T.S.; Mather, P.T. Vertex group effects in entangled polystyrene-polyhedral oligosilsesquioxane (POSS) copolymers. Macromolecules 2009, 42, 1142–1152. [Google Scholar] [CrossRef]
- Kodal, M.; Sirin, H.; Ozkoc, G. Effects of reactive and nonreactive POSS types on the mechanical, thermal, and morphological properties of plasticized poly(lactic acid). Polym. Eng. Sci. 2014, 54, 264–275. [Google Scholar] [CrossRef]
- Zhao, Y.; Schiraldi, D.A. Thermal and mechanical properties of polyhedral oligomeric silsesquioxane (POSS)/polycarbonate composites. Polymer 2005, 46, 11640–11647. [Google Scholar] [CrossRef]
- Castańeda, L.; López-Suárez, A.; Tiburcio-Silver, A. The role of polyhedral oligomeric silsesquioxane on the thermo-mechanical properties of polyoxymethylene copolymer based nanocomposites. J. Nanosci. Nanotechnol. 2010, 10, 1349–1360. [Google Scholar]
- Kuo, S.W.; Chang, F.C. POSS related polymer nanocomposites. Prog. Polym. Sci. 2011, 36, 1649–1696. [Google Scholar] [CrossRef]
- Choi, J.; Yee, A.F.; Laine, R.M. Toughening of cubic silsesquioxane epoxy nanocomposites using core-shell rubber particles: A three-component hybrid system. Macromolecules 2004, 37, 3267–3276. [Google Scholar] [CrossRef]
- Lligadas, G.; Ronda, J.C.; Galià, M.; Cádiz, V. Bionanocomposites from renewable resources: Epoxidized linseed oil-polyhedral oligomeric silsesquioxanes hybrid. Biomacromolecules 2006, 7, 3521–3526. [Google Scholar] [CrossRef] [PubMed]
- Xiao, F.; Sun, Y.; Xiu, Y.; Wong, C.P. Preparation, thermal and mechanical properties of POSS epoxy hybrid composites. J. Appl. Polym. Sci. 2007, 104, 2113–2121. [Google Scholar] [CrossRef]
- Wahab, M.A.; Mya, K.Y.; He, C. Synthesis, morphology, and properties of hydroxyl terminated-POSS/polyimide low-k nanocomposite films. J. Polym. Sci. A. Polym. Chem. 2008, 46, 5887–5896. [Google Scholar] [CrossRef]
- Tanaka, K.; Adachi, S.; Chujo, Y. Structure-property relationship of octa-substituted POSS in thermal and mechanical reinforcements of conventional polymers. J. Polym. Sci. A Polym. Chem. 2009, 47, 5690–5697. [Google Scholar] [CrossRef]
- Escudé, N.C.; Chen, E.Y.X. Stereoregular methacrylate-POSS hybrid polymers: Syntheses and nanostructured assemblies. Chem. Mater. 2009, 21, 5743–5753. [Google Scholar] [CrossRef]
- Ahn, B.; Hirai, T.; Jin, S.; Rho, Y.; Kim, K.W.; Kakimoto, M.; Gopalan, P.; Hayakawa, T.; Ree, M. Hierarchical structure in nanoscale thin films of a poly(styrene-b-methacrylate grafted with POSS) (PS214-b-PMAPOSS27). Macromolecules 2010, 43, 10568–10581. [Google Scholar] [CrossRef]
- Matĕjka, L.; Murias, P.; Pleštil, J. Effect of POSS on thermomechanical properties of epoxy-POSS nanocomposites. Eur. Polym. J. 2012, 48, 260–274. [Google Scholar] [CrossRef]
- Lin, H.; Qu, J.; Zhang, Z.; Dong, J.; Zou, H. Ring-opening polymerization reaction of polyhedral oligomeric silsesquioxanes (POSSs) for preparation of well-controlled 3D skeletal hybrid monoliths. Chem. Commun. 2013, 49, 231–233. [Google Scholar] [CrossRef] [PubMed]
- Szarc-Rzepka, K.; Marciniec, B.; Jesionowski, T. Immobilization of multifunctional silsesquioxane cage on precipitated silica supports. Adsorption 2013, 19, 483–494. [Google Scholar] [CrossRef]
- Oleksy, M.; Szwarc-Rzepka, K.; Heneczkowski, M.; Oliwa, R.; Jesionowski, T. Epoxy resin composite based on functional hybrid fillers. Materials 2014, 7, 6064–6091. [Google Scholar] [CrossRef]
- Wysokowski, M.; Materna, K.; Walter, J.; Petrenko, I.; Stelling, A.L.; Bazhenov, V.V.; Klapiszewski, L.; Szatkowski, T.; Lewandowska, O.; Stawski, D.; et al. Solvothermal synthesis of hydrophobic chitin-polyhedral oligomeric silsesquioxane (POSS) nanocomposites. Int. J. Biol. Macromol. 2015, 78, 224–229. [Google Scholar] [CrossRef] [PubMed]
- Ogi, K.; Miyauchi, S.; Naka, K. Amphiphilic POSS-core dendrons for optically transparent thermoplastic films with tunable wettability. Polym. J. 2015, 47, 259–266. [Google Scholar] [CrossRef]
- Lee, A.; Lichtenhan, J.D. Viscoelastic responses of polyhedral oligosilsesquioxane reinforced epoxy systems. Macromolecules 1998, 31, 4970–4974. [Google Scholar] [CrossRef] [PubMed]
- Choi, J.; Harcup, J.; Yee, A.F.; Zhu, Q.; Laine, R.M. Organic/inorganic hybrid composites from cubic silsesquioxanes. J. Am. Chem. Soc. 2001, 123, 11420–11430. [Google Scholar] [CrossRef] [PubMed]
- Ni, Y.; Zheng, S.; Nie, K. Morphology and thermal properties of inorganic-organic hybrids involving epoxy resin and polyhedral oligomeric silsesquioxanes. Polymer 2004, 45, 5557–5568. [Google Scholar] [CrossRef]
- Nagarajan, V.; Mohanty, A.K.; Misra, M. Sustainable green composites: Value addition to agricultural residues and perennial grasses. ACS Sustain. Chem. Eng. 2013, 1, 325–333. [Google Scholar] [CrossRef]
- Biermann, U.; Friedt, W.; Lang, S.; Lühs, W.; Machmüller, G.; Metzger, J.O.; Rüsch gen Klaas, M.; Schäfer, H.J.; Schneider, M.P. New syntheses with oils and fats as renewable raw materials for the chemical industry. Angew. Chem. Int. Ed. 2000, 39, 2206–2224. [Google Scholar] [CrossRef]
- Petrović, Z.S.; Zhang, W.; Javni, I. Structure and properties of polyurethenes prepared from triglyceride polyols by ozonolysis. Biomacromolecules 2005, 6, 713–719. [Google Scholar] [CrossRef] [PubMed]
- Biresaw, G.; Liu, Z.S.; Erhan, S.Z. Investigation of the surface properties of polymeric soaps obtained by ring-opening polymerization of epoxidized soybean oil. J. Appl. Polym. Sci. 2008, 108, 1976–1985. [Google Scholar] [CrossRef]
- Chakrapani, S.; Crivello, J.V. Synthesis and photoinitiated cationic polymerization of epoxidized castor oil and its derivatives. J. Macromol. Sci. Pure Appl. Chem. 1998, A35, 1–20. [Google Scholar] [CrossRef]
- Tran, P.; Graiver, D.; Narayan, R. Biocomposites synthesized from chemically modified soy oil and biofibers. J. Appl. Polym. Sci. 2006, 102, 69–75. [Google Scholar] [CrossRef]
- Shibata, M.; Teramoto, N.; Someya, Y.; Suzuki, S. Bio-based nanocomposites composed of photo-cured epoxidized soybean oil and supramolecular hydroxystearic acid nanofibers. J. Polym. Sci. Part B Polym. Phys. 2009, 47, 669–673. [Google Scholar] [CrossRef]
- Wang, R.; Schuman, T.P. Vegetable oil-derived epoxy monomers and polymer blends: A comparative study with review. Express Polym. Lett. 2013, 7, 272–292. [Google Scholar] [CrossRef]
- Uyama, H.; Kuwabara, M.; Tsujimoto, T.; Nakano, M.; Usuki, A.; Kobayashi, S. Organic-inorganic hybrids from renewable plant oils and clay. Macromol. Biosci. 2004, 4, 354–360. [Google Scholar] [CrossRef] [PubMed]
- Miyagawa, H.; Misra, M.; Drazal, L.T.; Mohanty, A.K. Novel biobased nanocomposites from functionalized vegetable oil and organically-modified layered silicate clay. Polymer 2005, 46, 445–453. [Google Scholar] [CrossRef]
- Tsujimoto, T.; Uyama, H.; Kobayashi, S. Synthesis of high-performance green nanocomposites from renewable natural oils. Polym. Degrad. Stable 2010, 95, 1399–1405. [Google Scholar] [CrossRef]
- Ogata, M.; Kinjyo, N.; Tawata, T. Effect of crosslinking on physical properties of phenol-formaldehyde novolac cured epoxy resins. J. Appl. Polym. Sci. 1993, 48, 583–601. [Google Scholar] [CrossRef]
© 2015 by the authors; licensee MDPI, Basel, Switzerland. This article is an open access article distributed under the terms and conditions of the Creative Commons Attribution license (http://creativecommons.org/licenses/by/4.0/).
Share and Cite
Tsujimoto, T.; Uyama, H.; Kobayashi, S.; Oikawa, H.; Yamahiro, M. Green Nanocomposites from Renewable Plant Oils and Polyhedral Oligomeric Silsesquioxanes. Metals 2015, 5, 1136-1147. https://doi.org/10.3390/met5031136
Tsujimoto T, Uyama H, Kobayashi S, Oikawa H, Yamahiro M. Green Nanocomposites from Renewable Plant Oils and Polyhedral Oligomeric Silsesquioxanes. Metals. 2015; 5(3):1136-1147. https://doi.org/10.3390/met5031136
Chicago/Turabian StyleTsujimoto, Takashi, Hiroshi Uyama, Shiro Kobayashi, Hisao Oikawa, and Mikio Yamahiro. 2015. "Green Nanocomposites from Renewable Plant Oils and Polyhedral Oligomeric Silsesquioxanes" Metals 5, no. 3: 1136-1147. https://doi.org/10.3390/met5031136
APA StyleTsujimoto, T., Uyama, H., Kobayashi, S., Oikawa, H., & Yamahiro, M. (2015). Green Nanocomposites from Renewable Plant Oils and Polyhedral Oligomeric Silsesquioxanes. Metals, 5(3), 1136-1147. https://doi.org/10.3390/met5031136
