Analysis of Magneto-Piezoelastic Anisotropic Materials
Abstract
:1. Introduction
2. Basic Equations
3. Representation Formulae
4. Two-Dimensional Magneto-Piezoelastic Problem
5. Solutions for Loads Applied to the Boundary

6. Concentrated Electric Charge Applied with the Free Boundary

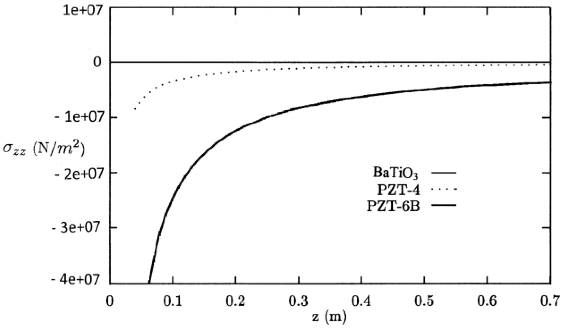
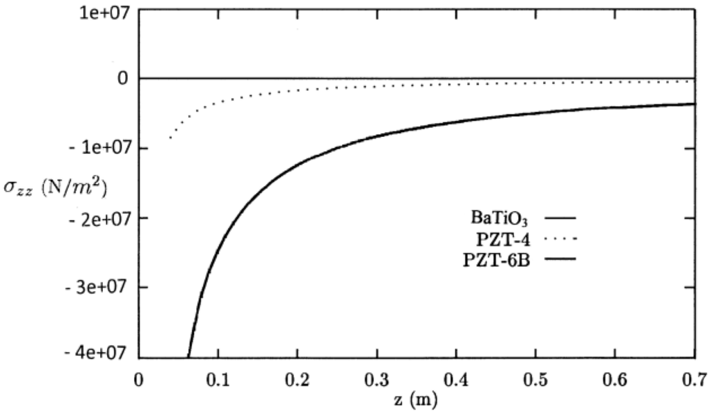
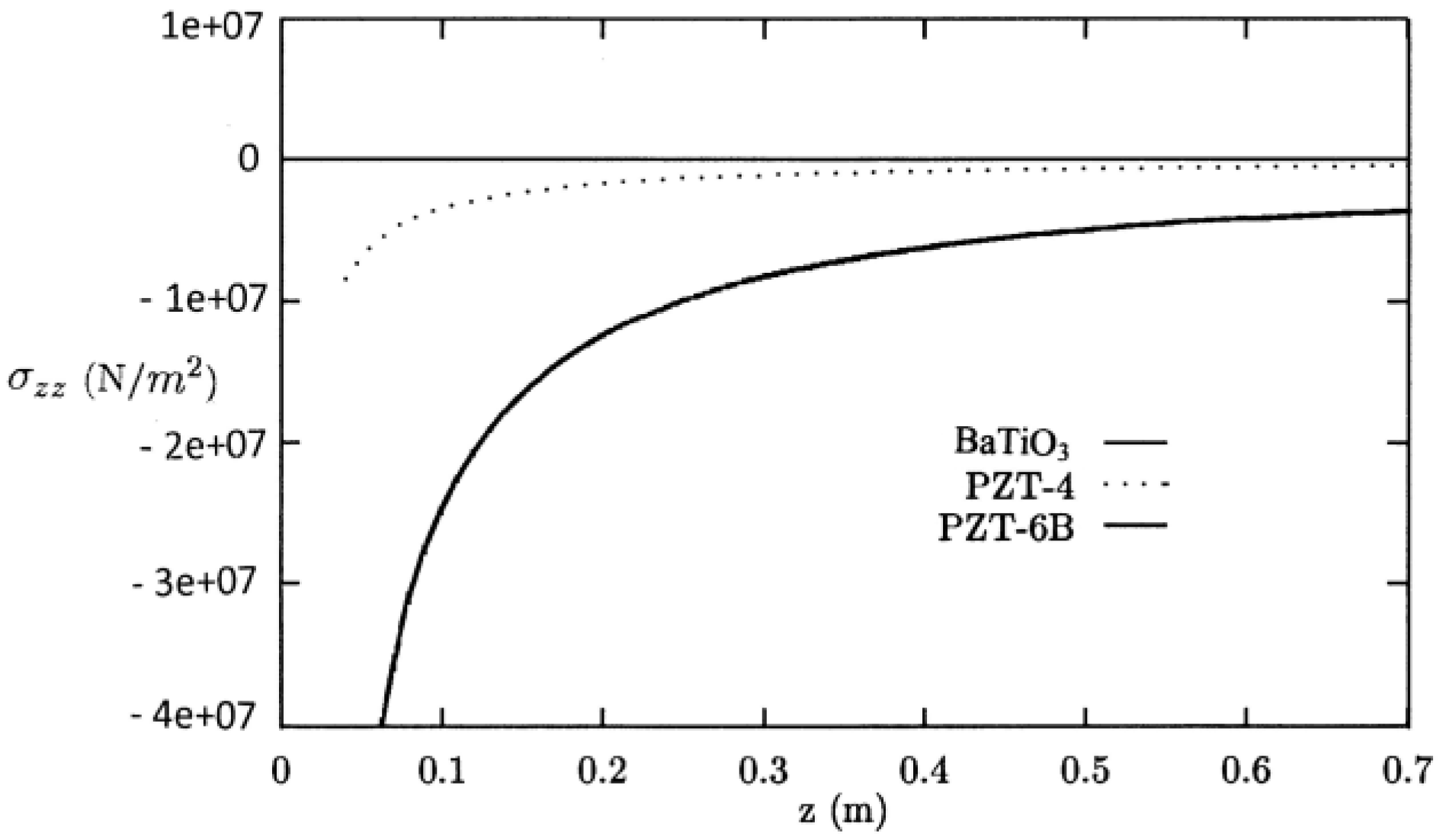
7. Results and Discussion
| Material property | BaTiO3 | PZT-4 | PZT-6B |
|---|---|---|---|
| 15.0 | 13.9 | 16.8 | |
| 14.6 | 11.5 | 16.3 | |
| 6.6 | 7.78 | 6.0 | |
| 6.6 | 7.43 | 6.0 | |
| 4.4 | 2.56 | 2.71 | |
| 11.4 | 12.7 | 4.6 | |
| −4.35 | −5.2 | −0.9 | |
| 17.5 | 15.1 | 7.1 | |
| 9.87 | 6.45 | 3.6 | |
| 11.15 | 5.62 | 3.4 |
| Root | BaTiO3 | PZT-4 | PZT-6B |
|---|---|---|---|
| α1 | (0.9596655583, 0) | (1.262398936, 0) | (0.5546941517, 0) |
| α2 | (1.026584747, −0.2190857624) | (1.071962039, 0.165585358) | (1.014328206, 0) |
| α3 | (1.026584747, 0.2190857624) | (1.071962039, −0.165585358) | (2.115922225, 0) |




8. Conclusions
Acknowledgments
Author Contributions
Nomenclature
| stresses | |
| strains | |
| elastic displacements | |
| mass density | |
| body force per unit volume | |
| electric field | |
| electric displacement | |
| magnetic field | |
| magnetic flux | |
| induced current | |
| electric potential | |
| elastic coefficients | |
| piezoelectric coefficients | |
| dielectric coefficients | |
| q | electric charge density |
| magnetic permeability | |
| ε | permittivity |
| γ | conductivity |
Conflicts of Interest
References
- Bhatra, D.; Masud, M.G.; De, S.K.; Chauduri, B.K. Large magnetoelectric effect and low-loss high relative permittivity in 0–3 CuO/PVDF composite films exhibiting unusual ferromagnetism at room temperature. J. Phys. D Appl. Phys. 2012, 45, 485002. [Google Scholar] [CrossRef]
- Bichurin, M.; Petrov, V.; Priya, S.; Bhalla, A. A multiferroic magnetoelectric composites and their applications. Adv. Condens. Matter Phys. 2012, 2012, 129794. [Google Scholar]
- Srinivasan, G. Magnetoelectric composites. Annu. Rev. Mater. Res. 2010, 40, 153–178. [Google Scholar] [CrossRef]
- Zhou, H.-M.; Li, C.; Xuan, L.-M.; Wei, J.; Zhao, J.-X. Equivalent circuit method research of resonant magnetoelectric characteristic in magnetoelectric laminate composites using nonlinear magnetostrictive constitutive model. Smart Mater. Struct. 2011, 20, 035001. [Google Scholar] [CrossRef]
- Ju, S.; Chae, S.H.; Choi, Y.; Lee, S.; Lee, H.W.; Ji, C.-H. A low frequency vibration energy harvester using magnetoelectric laminate composite. Smart Mater. Struct. 2013, 22, 115037. [Google Scholar] [CrossRef]
- Semenov, A.A.; Karmanenko, S.F.; Demidov, V.E.; Kalinikos, B.A.; Srinivasan, G.; Slavin, A.N.; Mantese, J.V. Ferrite-ferroelectric layered structures for electrically and magnetically tunable microwave resonators. Appl. Phys. Lett. 2006, 88, 033503. [Google Scholar] [CrossRef]
- Lottermoser, T.; Lonkai, T.; Amann, U.; Hohlwein, D.; Ihringer, J.; Fiebig, M. Magnetic phase control by an electric field. Nature 2004, 430, 541–544. [Google Scholar] [CrossRef] [PubMed]
- Shen, Y.; Mc Laughlin, K.L.; Gao, J.; Gray, D.; Shen, L.; Wang, Y.; Li, M.; Berry, D.; Li, J.; Viehland, D. AC magnetic dipole localization by a magnetoelectric sensor. Smart Mater. Struct. 2012, 21, 065007. [Google Scholar] [CrossRef]
- Zhai, J.; Xing, Z.; Dong, S.; Li, J.; Viehland, D. Detection of pico-Tesla magnetic fields using magnetoelectric sensors at room temperature. Appl. Phys. Lett. 2006, 88, 062510. [Google Scholar] [CrossRef]
- Hadjiloizi, D.A.; Georgiades, A.V.; Kalamkarov, A.L.; Jothi, S. Micromechanical model of piezo-magneto-thermo-elastic composite structures: Part I—theory. Eur. J. Mech. A-Solids 2013, 39, 298–312. [Google Scholar] [CrossRef]
- Hadjiloizi, D.A.; Georgiades, A.V.; Kalamkarov, A.L.; Jothi, S. Micromechanical model of piezo-magneto-thermo-elastic composite structures: Part II—applications. Eur. J. Mech. A-Solids 2013, 39, 313–327. [Google Scholar] [CrossRef]
- Rudykh, S.; Lewinstein, A.; Uner, G.; de Botton, G. Analysis of microstructural induced enhancement of electromechanical coupling in soft dielectrics. Appl. Phys. Lett. 2013, 102, 151905. [Google Scholar] [CrossRef]
- Galipaeu, E.; Rudykh, S.; de Botton, G.; Ponte-Castaneda, P. Magnetoactive elastomers with periodic and random microstructures. Int. J. Solids Struct. 2014, 51, 3012–3024. [Google Scholar] [CrossRef]
- Pan, E. Exact solution for simply supported and multilayered magneto-electro-elastic plates. Trans. ASME J. Appl. Mech. 2001, 68, 608–618. [Google Scholar] [CrossRef]
- Smittakorn, W.; Heyliger, P.R. A discrete-layer model of laminated hygrothermopiezoelectric plates. Mech. Compos. Mater. Struct. 2000, 7, 79–104. [Google Scholar] [CrossRef]
- Akbarzadeh, A.H.; Pasini, D. Multiphysics of multilayered and functionally graded cylinders under prescribed hygrothermomagnetoelectromechanical loading. Trans. ASME J. Appl. Mech. 2013, 81, 041018. [Google Scholar] [CrossRef]
- Akbarzadeh, A.H.; Chen, Z.T. Hygrothermal stresses in one-dimensional functionally graded piezoelectric media in constant magnetic field. Compos. Struct. 2013, 97, 317–331. [Google Scholar] [CrossRef]
- Kalamkarov, A.L. Composite and Reinforced Elements of Construction; Wiley: Chichester, NY, USA, 1992. [Google Scholar]
- Khutiryansky, N.; Sosa, H. Dynamic representation formulas and fundamental solutions for piezoelctricity. Int. J. Solids Struct. 1995, 32, 3307–3325. [Google Scholar] [CrossRef]
- Norris, A.N. Dynamic Green’s functions in anisotropic piezoelectric, thermoelectric and poroelasticity. Proc. R. Soc. Lond. A 1994, 447, 175–188. [Google Scholar] [CrossRef]
© 2015 by the authors; licensee MDPI, Basel, Switzerland. This article is an open access article distributed under the terms and conditions of the Creative Commons Attribution license (http://creativecommons.org/licenses/by/4.0/).
Share and Cite
Kalamkarov, A.L.; Pacheco, P.M.C.L.; Savi, M.A.; Basu, A. Analysis of Magneto-Piezoelastic Anisotropic Materials. Metals 2015, 5, 863-880. https://doi.org/10.3390/met5020863
Kalamkarov AL, Pacheco PMCL, Savi MA, Basu A. Analysis of Magneto-Piezoelastic Anisotropic Materials. Metals. 2015; 5(2):863-880. https://doi.org/10.3390/met5020863
Chicago/Turabian StyleKalamkarov, Alexander L., Pedro M. C. L. Pacheco, Marcelo A. Savi, and Animesh Basu. 2015. "Analysis of Magneto-Piezoelastic Anisotropic Materials" Metals 5, no. 2: 863-880. https://doi.org/10.3390/met5020863
APA StyleKalamkarov, A. L., Pacheco, P. M. C. L., Savi, M. A., & Basu, A. (2015). Analysis of Magneto-Piezoelastic Anisotropic Materials. Metals, 5(2), 863-880. https://doi.org/10.3390/met5020863
