Abstract
This study investigates high-entropy CrMnFeCoNi alloys with reduced Co content using density functional theory. The muffin-tin orbital method and coherent potential approximation successfully predict experimental values for volume, magnetic moment, and elastic constants. Thermodynamic properties, analyzed using the Debye–Gruneisen model, emphasize the need to consider both electronic and magnetic contributions to the free energy. The alloys exhibit anti-Invar behavior, with a significant increase in the linear thermal expansion coefficient with increased temperature. This effect is slightly more pronounced for reduced Co content, leading to a larger lattice parameter and a decrease in elastic constants. However, the changes are small, suggesting that similar mechanical properties can be achieved with lower Co content.
1. Introduction
High-entropy alloys (HEAs) are composed of five or more elements in nearly equal concentrations [1]. The high entropy associated with these alloys suppresses the formation of ordered intermetallic compounds, resulting in disordered phases with relatively simple lattice structures, such as face-centered cubic (fcc) or body-centered cubic (bcc). Many HEAs exhibit outstanding mechanical properties, including high yield strength [2], superior fatigue resistance [3], and improved wear resistance [4]. From an engineering perspective, HEAs are particularly intriguing because their atomic composition can be tuned to achieve specific desired properties. Computational methods play a crucial role in this field, enabling the exploration of various atomic configurations.
The chemical disorder inherent in these alloys is typically modeled using the coherent potential approximation (CPA) [5,6,7,8,9], which is considered a reasonable approximation, since the effect of short-range order (SRO) is minimal by definition. In particular, calculations that use the exact muffin-tin orbitals (MTO) method combined with CPA have been widely employed [6,7,8]. A similar approach can be used to model paramagnetism (PM), which is known as the disordered local moment (DLM) method [10,11]. The DLM state is defined as a random arrangement of two distinct magnetic moments pointing either up or down of the same atomic species in a metallic system. Using the DLM model, it is possible to consider the effect of finite-temperature spin fluctuations [12], which can be crucial when describing the thermal properties of transition metals in their PM state [13]. This approach has proven successful in recent years [13,14,15,16,17], providing an accurate description of spin fluctuations at finite temperatures in the PM state.
One of the most extensively studied HEAs is the CrMnFeCoNi alloy, also known as the Cantor alloy [18]. This alloy consists of a disordered fcc structure with equal concentrations of the magnetic elements Cr, Mn, Fe, Co, and Ni. The magnetic properties of these components vary: Fe, Co, and Ni are ferromagnetic (FM); Mn exhibits a multi-magnetic state; and Cr is antiferromagnetic (AFM). The CrMnFeCoNi alloy displays a diverse range of magnetic properties depending on sample preparation [19], similar to other closely related HEAs [20,21,22]. As a result, numerous studies have attempted to optimize the properties of these alloys by adjusting the concentrations of specific components. For example, the Cr concentration has been studied in AlFeNiCoCr [23], while the Fe and Ni concentrations were explored in CoCrFeNiTi [24].
Computational studies of the NiCrCoFe alloy have shown that varying the Co content significantly affects both the lattice parameter and the elastic constants [5]. However, the influence of Co content in the CrMnFeCoNi alloy remains less well explored. Reducing or replacing Co with alternative elements is of considerable interest for economic, ethical, and health-related reasons [25,26,27,28,29]. Consequently, it has attracted a lot of attention in a wide range of different applications such as batteries, catalysts, superalloys, and cemented carbides [30,31,32,33,34,35]. Given the favorable combination of yield strength and ductility already exhibited by the CrMnFeCoNi alloy, further investigations of near-equal concentrations are highly valuable. Hence, in this study, the temperature-dependent magnetic and elastic properties of the alloy for are investigated.
2. Methods
In order to model thermodynamic properties, the quasiharmonic approximation within the Debye–Grüneisen model was applied. The free energy of the Debye–Grüneisen model as described in Ref. [36] is given by
where is the energy of the static lattice at a given volume V; is the thermal electronic contribution to the free energy at temperature T; is the magnetic contribution to the free energy; and and are the Debye function and the Debye temperature respectively.
The volume-dependent thermal electronic free energy can be expressed as
where corresponds to the energy due to thermal electronic excitations and to the electronic entropy. The former can be expressed as
where is the electronic density of state, the energy eigenvalues, is the Fermi energy, and is the Fermi–Dirac distribution function
in terms of the electronic chemical potential and Boltzmann’s constant . The electronic entropy can be calculated as follows:
Two different approaches were used to describe the paramagnetic state at finite temperatures. In the first approach, the completely random configuration of magnetic moments is represented by the DLM model [10,11]. In the second approach, the magnetic free energy due to thermal spin fluctuations is included in the DLM model as in Ref. [13]. The magnetic free energy was approximated by
where m is the absolute value of the spin moment.
The first-principles calculations presented in this study are based on density functional theory (DFT) [37] and the exact muffin-tin orbital (EMTO) method [38,39,40]. Random substitutional disorder is modeled using an effective medium, represented by a coherent potential, as is done in the CPA approach [41,42]. The additional electrostatic contributions to the one-electron potentials of the alloy components and the total energy should be taken into account [43,44]. In the present formalism, the on-site screened Coulomb interaction, , which contributes to the one-electron potential and the corresponding electrostatic energy [43,44], is given by
In Equation (7), is the net charge of the atomic sphere of the ith alloy component, the Wigner–Seitz radius, and and the on-site screening constants. The screening parameters are commonly determined from supercell calculations using the locally self-consistent Green’s function technique [45,46]. This was done in Ref. [47] for the equiatomic CrMnFeCoNi alloy. However, we only found very small changes in the studied properties with respect to the screening parameters, and we have used and in all calculations similar to Ref. [48].
In order to perform the self-consistent loop, the local density approximation (LDA) [49] was used for the exchange-correlation potential. All self-consistent EMTO-CPA calculations were performed using an orbital momentum cutoff of for the partial-wave expansion. The Monkhorst–Pack grid [50] with subdivisions along each reciprocal lattice vector 31 × 31 × 31 was used for integration over the Brillouin zone in the self-consistent LDA calculations. The generalized gradient approximation (GGA) [51] and the full charge density formalism [39] were used to calculate the total energy.
3. Results and Discussion
The Co concentration was reduced by increasing the concentrations of the other constituent elements equally, i.e., from CrMnFeCoNi () to CrMnFeNi (). This was done in order to maintain the disordered state as well as possible, where the CPA method remains valid. The calculations were performed using the primitive fcc cell, as the fcc phase is most commonly observed in the CrMnFeCoNi alloy [18,52]. However, theoretical calculations actually predict the hcp phase to be the most stable ground state [7]. This is likely due to the underestimated lattice parameter associated with the semi-local GGA approach [7]. Interestingly, the hcp phase has been experimentally observed under high-pressure conditions [53,54].
Recent experimental results suggest two ordering temperatures: 93 K, where the system forms a spin glass state, and 38 K, where it becomes FM [19]. Hence, for most applications, it is reasonable to assume a PM state. To model this, the DLM approach was employed. The magnetic contribution to the free energy can have a significant effect and must also be considered [55,56]. This is evident in the behavior of the local magnetic moment as a function of the Wigner–Seitz radius, as shown in Figure 1, where only the Mn and Fe moments are non-zero near equilibrium (∼2.6 a.u.). Including the magnetic contribution to the free energy eliminates the discontinuous jump from a nearly zero Mn moment to a high-spin state for Mn. More importantly, without this contribution, the Mn moment is zero at the equilibrium volume.
Figure 1.
Magnetic moments of Fe and Mn in the PM state for the equiatomic alloy. The magnetic moments are shown for 0 K and 300 K. At these temperatures, the local moments on Cr, Co, and Ni are negligible.
3.1. Equilibrium Lattice Parameter and Thermal Expansion Coefficient
To explore the thermodynamic properties, free energy calculations for different lattice parameters were fitted to a Birch–Murnaghan equation of state [57,58]. This approach enables the estimation of the equilibrium lattice constant and the bulk modulus. Furthermore, by calculating the volume derivative of the bulk modulus, the Grüneisen constant can be determined, allowing for the description of the volume dependence of the Debye temperature [36,59] and, by extension, the temperature dependence of the free energy. However, fitting an equation of state to free energy calculations presents challenges for these systems. This is primarily due to the Mn moment transitioning from a low to a high spin state around equilibrium, which causes a kink in the volume-free energy curve. This behavior is characteristic of anti-Invar materials and has been observed, for example, in fcc-Fe [60] and FeNiCr alloys [61].
Due to the kink in the volume-free energy curve, selecting the appropriate fitting interval and number of data points requires careful attention. In particular, the second derivative of the bulk modulus is highly sensitive, which makes determining the Grüneisen constant a challenging task. Consequently, performing thermodynamic calculations using Equation (1) proves to be difficult. In this study, the fitting interval was chosen to be , where represents the equilibrium Wigner–Seitz radius. Below the lower bound of this range, the Fe moment disappears, while above the upper bound, a non-zero Co moment is observed. The Ni moment was found to be nearly zero, except for very large radii. It should be noted that, in the FM state, Co also exhibits a non-zero moment at equilibrium.
The equilibrium Wigner–Seitz radius, , is shown in Table 1. As expected, increases with temperature. However, it is slightly underestimated when compared to experimental data, such as the recent measurements of the equiatomic CrMnFeCoNi alloy by Schneeweiss et al., who report values of 2.6507 a.u. (0 K) and 2.6583 a.u. (300 K) [19]. It is well-established that GGA generally provides a more accurate representation of the equilibrium volume for 3d metals compared to LDA [62]. The slight underestimation of the Wigner–Seitz radius at low temperatures is not unexpected for Fe-based alloys calculated using GGA [63,64]. In fact, experimental studies have shown that the zero-temperature lattice parameter for pure bcc-Fe (with zero-point vibrations removed) is 2.853 Å [64], while the corresponding theoretical value is somewhat smaller, at 2.837 Å (as reported in this work). The discrepancy between calculations and experimental results is typically small when using the GGA approach (here, it is less than 2% for ).
Table 1.
The calculated equilibrium Wigner–Seitz radius, (in a.u.), of the alloy for different concentrations (atomic fractions) x. The equilibrium radii were calculated in the PM state (0 K, 300 K, and 900 K). Note that is directly proportional to the lattice parameter.
The lattice parameter is observed to decrease with increasing Co concentration. Although the change is small (less than 0.2%), the trend is clear. Furthermore, the variation in lattice parameter with concentration becomes more pronounced at elevated temperatures. The temperature dependence of the lattice parameter is significant, and to explore this behavior further, we calculate the linear thermal expansion coefficient
As mentioned above, the linear thermal expansion coefficient, , is highly sensitive to the fitting procedure, as it depends on the derivative of the bulk modulus. Therefore, an accurate determination of would validate the method used.
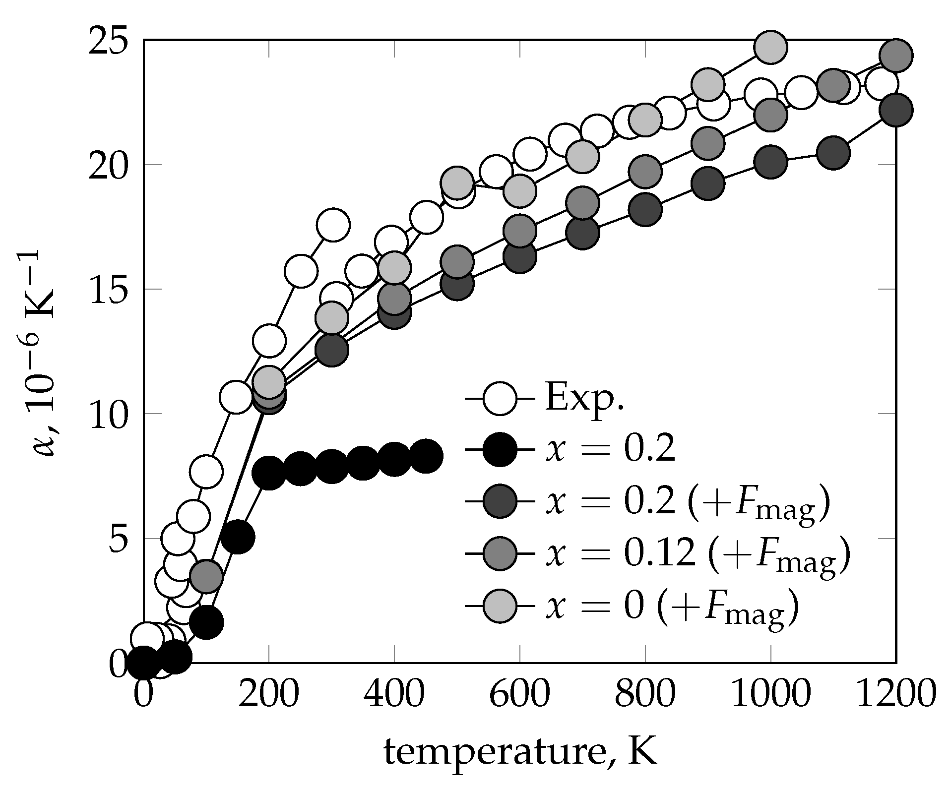
The temperature dependence of is shown in Figure 2 for , , and . The calculated results are compared with existing experimental data for [19,65]. These calculations were carried out for the PM state, both with and without accounting for the magnetic contribution to the free energy. Including the magnetic contribution significantly improves the results, leading to a much better agreement with experimental data above room temperature. The significance of the magnetic contribution to the free energy in determining mechanical properties has been demonstrated in previous studies, such as those of austenitic steels [66,67].
Figure 2.
Temperature dependence of the thermal expansion coefficient for the equiatomic CrMnFeCoNi, calculated with and without magnetic entropy to the free energy. The calculated results are shown together with experimental results from Schneeweiss et al. [19] and Laplanche et al. [65].
The significant increase in the linear thermal expansion coefficient with temperature reflects the anti-Invar behavior of CrMnFeCoNi, similar to that observed in fcc-Fe [68]. This property has been utilized to increase the ordering temperature of CrMnFeCoNi to K by filling the octahedral sites of the fcc structure with carbon, which represents a considerable enhancement [68]. Reducing the Co concentration results in a slight decrease in the valence electron density, from 8 to 7.75 , causing the thermal expansion curve to shift to higher values. This shift is evident in the three cases , , and , as shown in Figure 2. Hence, the anti-Invar effect is somewhat enhanced with decreasing Co concentration. As a result, lower Co concentrations lead to a greater increase in the lattice parameter with temperature, as shown in Table 1.
3.2. Elastic Constants
The elastic properties of the cubic lattice are described by three independent elastic constants: , , and . These constants were determined by calculating the total free energy as a function of volume-conserving strains, following the method outlined by Mehl [69,70]. The elastic constant was obtained by fitting the free energy-strain relationship, , using a monoclinic strain x applied to the base fcc lattice. Similarly, the tetragonal shear modulus was derived from by applying an orthorhombic strain. Using the bulk modulus, determined from the equation of state described earlier, the constants and were calculated from using the relationships , and .
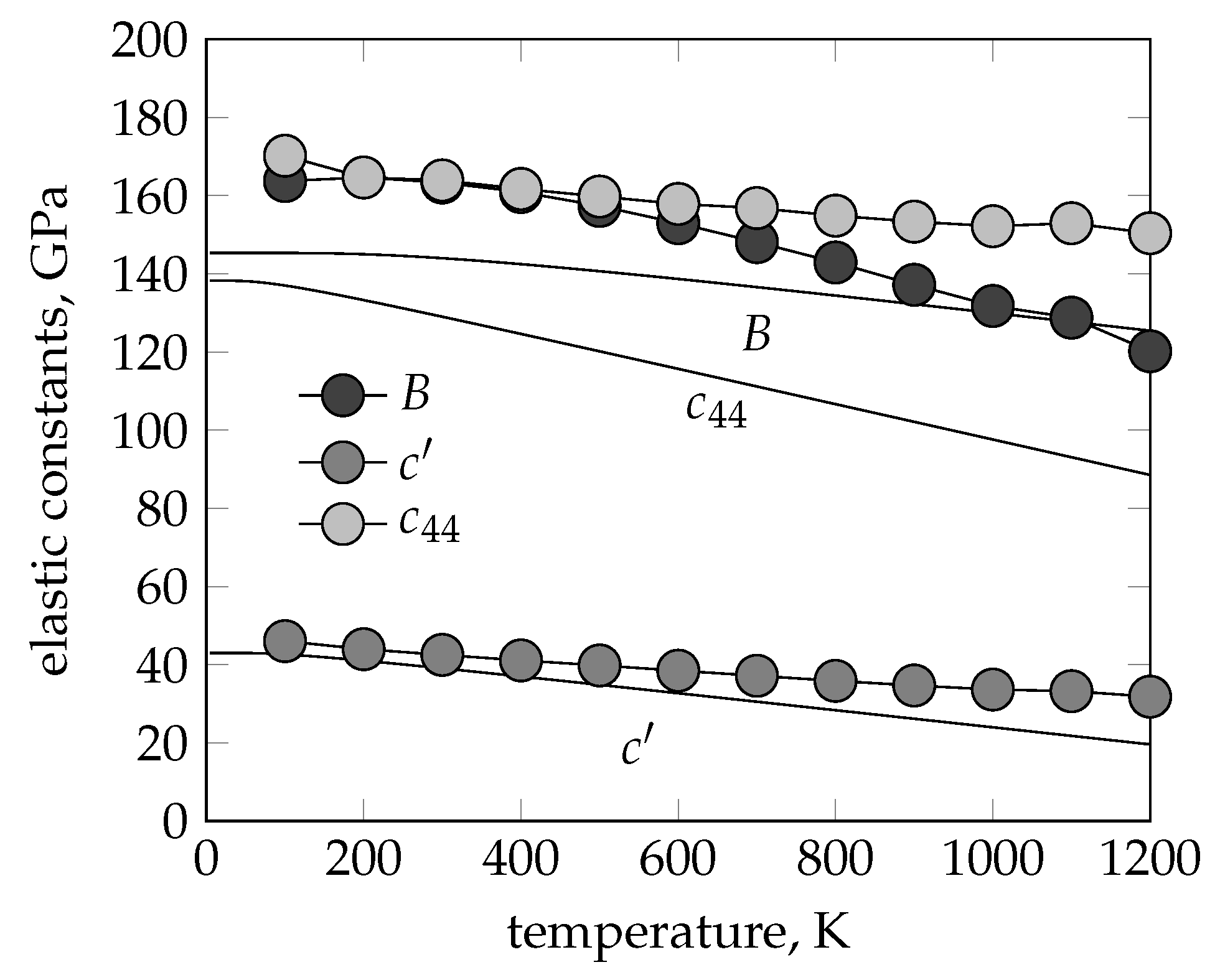
Figure 3 shows the temperature dependence of the bulk modulus and elastic constants for the CrMnFeCoNi alloy . The calculated values are presented together with existing fitted experimental results from Teramoto et al. [71]. Overall, the temperature dependence is seen to be relatively small, and, despite the various approximations involved, there is generally good agreement between the theoretical and experimental data. The calculated values for the bulk modulus and constant are seen to be slightly overestimated compared to the experimental values. The deviation for the bulk modulus is more significant at low temperatures but remains within a few percent. The error is larger for the constant. At low temperatures, the error is less than 10% but increases to more than 30% at 1200 K.
Figure 3.
Temperature dependence of the bulk modulus B, and the and elastic constants for the equiatomic CrMnFeCoNi alloy. The figure also shows corresponding fitted experimental results of Teramoto et al. [71].
Although the exact cause of these discrepancies remains unclear, they likely indicate that our theoretical treatment of the paramagnetic state is too simple. However, this does not appear to affect the constant derived from the orthorhombic strain, which agrees excellently with the experimental data. It should be noted that the calculated results are very similar to those of Ma et al. [48]. It should also be mentioned that calculations performed without a complete charge description yield comparable results in most cases. The only exception is for the cell with monoclinic distortion, where the total free energy is significantly overestimated. This issue is well known [72] and leads to a corresponding overestimation of the constant.
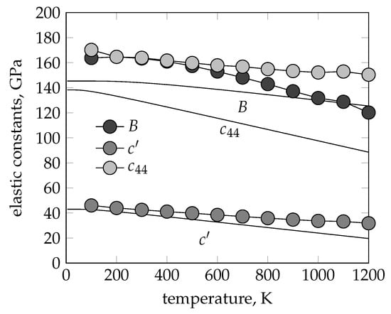
Figure 4 shows the calculated results of the bulk modulus and elastic constants for different types of Co content. The elastic constants are seen to increase with the Co content. This is consistent with the reduction in the lattice constant with increasing Co content. However, the change is very small. The traditional mechanical stability conditions for cubic crystals , and are satisfied throughout the entire concentration range. In particular, the constant increases with Co content, a trend also observed in the CrMnNi alloy [7]. Both and remain positive, and the Cauchy pressure is negative for all alloys considered, becoming more negative as the Co content increases at room temperature. Negative Cauchy pressures have been associated with the covalent nature of the metallic bond and are characteristic of brittle alloys [73]. In general, the impact of the Co content on the mechanical properties is found to be relatively small.
Figure 4.
Elastic constants as a function of Co-concentration for CrMnFeCoNi. The elastic constants were calculated for 300 K. A slight increase in the elastic constant with Co-content is seen.
3.3. Stacking Fault and Mixing Energy
Determining the exact stacking fault energy (SFE) and understanding the effects of the alloying elements on the SFE remains a challenging task, with several unresolved questions about what is actually measured in experiments [74]. In this study, only intrinsic stacking fault defects are considered, which are the simplest planar defects in the crystal lattice. These are characterized by a fault in the usual ABC planar stacking sequence of the fcc structure and resemble the stacking sequence of the hcp structure. For this type of defect, the stacking fault energy can be determined from the total energy calculations of the fcc, hcp, and dhcp structures by considering the interactions between the next nearest neighbor stacking planes. This is known as the axial next-nearest neighbor Ising (ANNNI) model:
where , , and represent the free energies of the fcc, hcp, and dhcp structures, respectively, and is the area of a hexagon that defines a unit cell in a single layer [75]. The ANNNI model has shown to be a reasonable choice, offering a good balance between accuracy and computational cost for ab initio calculations of fcc alloys [55,76]. However, the theoretical results from DFT calculations are known to underestimate the stacking-fault energy [66,67], primarily due to the underestimation of the lattice constant.
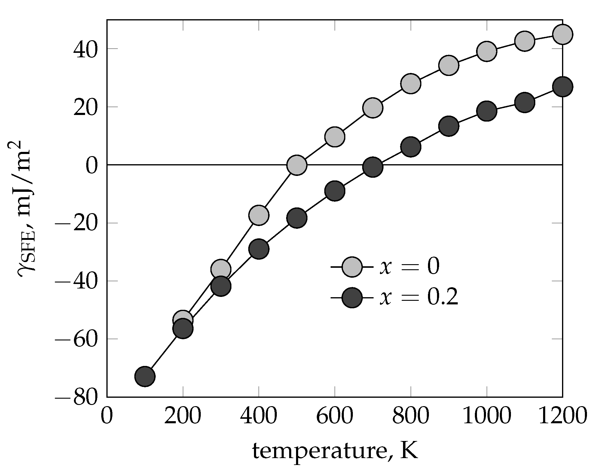
The calculated SFE results are presented in Figure 5 for the two limiting cases: CrMnFeCoNi and CrMnFeNi . For both cases, the SFE is negative below 500 K, indicating that the hcp phase is more stable than the fcc phase. This finding is consistent with several other theoretical studies, such as [7]. The stability of the hcp phase is probably due to the underestimation of the lattice parameter resulting from the semi-local GGA approach. In fact, it was shown that increasing the lattice parameter makes the fcc phase more stable [7]. The hcp phase has also been observed experimentally under high-pressure conditions [53,54]. Reducing the Co content is seen to increase the stacking fault energy, thereby stabilizing the fcc phase. Therefore, given that the fcc phase is commonly observed in the CrMnFeCoNi alloy, these results suggest that reducing the Co content will also favor the fcc phase.
Figure 5.
Stacking fault energy calculated using the ANNNI model for the equiatomic CrMnFeNi and CrMnFeCoNi alloys.
In order to further investigate the stability aspect of the CrMnFeCoNi alloy with reduced Co content, the mixing energy was calculated. The mixing energy was obtained by
In Equation (10), represents the total free energy per atom of the alloy, while and denote the atomic fraction and the free energy per atom of component i, respectively. The total free energy of the individual elements was calculated using the relaxed lattice parameters for each phase: the bcc phase for Fe and Cr, the fcc phase for Ni and Mn, and the hcp phase for Co (see Table 2 for results at room temperature).
Table 2.
Calculated lattice parameter in Å (300 K) for Cr, Mn, Fe, Co, and Ni in the crystal structures found at room temperature (the complex structure of Mn is approximated with the fcc structure). Experimental results are given at room temperature. VASP calculations are given as reference (0 K). For hcp-Co, the lattice parameter is reported as .
The results, shown in Figure 6, reveal that generally changes only slightly with Co content (less than 1 mRy). From a mixing energy perspective, the most stable phase is observed for the CrMnFeCoNi configuration, regardless of temperature. The mixing energy is positive, indicating that the compounds are less stable than their individual components. However, multiple mechanisms contribute to the overall stability of a system. In particular, the contribution to the free energy from the configurational entropy of mixing is considered a major stabilizing factor for high-entropy alloys [18], and this contribution would be of a similar order of magnitude at elevated temperatures. Therefore, it is likely that compounds with reduced Co concentration will remain stable in the pure fcc phase. This has been confirmed in recent experiments [52] for , , and , all of which exhibit a single-phase fcc structure in the as-cast state.
Figure 6.
Mixing energy calculated for different temperatures presented.
4. Conclusions
The high-entropy alloy was investigated for using DFT calculations. Guided by experimental results for the CrMnFeCoNi alloy, all calculations were performed in the paramagnetic fcc phase. The results demonstrate that the exact muffin-tin formalism, combined with the coherent potential approximation, provides reliable predictions for the equilibrium volume and magnetic moment.
Thermodynamic properties were analyzed using the Debye–Grüneisen model. To match experimental data for the linear thermal expansion coefficient and lattice parameter, both electronic and magnetic contributions to the free energy must be considered. The investigated alloys exhibit anti-Invar behavior, with a significant increase in the thermal expansion coefficient with temperature, leading to a reduction in the elastic constants. For alloys with lower Co content, both the linear thermal expansion coefficient and the lattice parameter increase, resulting in a further decrease in the elastic constants.
To assess the stability of the alloy, the intrinsic stacking fault energy and mixing energy were calculated. The stacking fault energy increases with decreasing Co content, suggesting a stronger tendency toward the fcc phase. However, the mixing energy also increases as the Co content decreases, implying that the CrMnFeCoNi alloy with equal component concentrations is more stable.
Although the combination of the CPA method and the DLM approach has proven effective in modeling paramagnetic multi-component alloys, questions remain regarding the impact of local relaxations and short-range order on the mechanical properties, especially when deviating from near-equal concentrations of the components. Therefore, further supercell simulations, along with additional experimental measurements, are required to fully understand the Co concentration dependence in these alloys.
Author Contributions
Conceptualization, G.J. and O.G.; methodology, G.J. and O.G.; software, G.J., O.G. and J.-M.K.; validation, G.J., O.G., J.-M.K. and C.E.; formal analysis, G.J., O.G. and J.-M.K.; investigation, G.J. and J.-M.K.; resources, C.E.; writing—original draft preparation, G.J.; writing—review and editing, G.J., O.G. and J.-M.K.; visualization, G.J.; supervision, C.E.; project administration, C.E.; and funding acquisition, C.E. All authors have read and agreed to the published version of the manuscript.
Funding
This research received no external funding.
Data Availability Statement
Relevant data are available upon request.
Acknowledgments
The computations were enabled by resources provided by the National Academic Infrastructure for Supercomputing in Sweden (NAISS) at the National Supercomputer Center (NSC) in Linköping, and at the High Performance Computing Center North (HPC2N) in Umeå, Sweden, partially funded by the Swedish Research Council through grant agreement no. 2022-06725.
Conflicts of Interest
The authors declare no conflicts of interest.
References
- Wang, W.; Mu, W.; Wei, D.; Wu, H.; Yu, L.; Jonsson, T.; Larsson, H.; Mao, H. High corrosion resistance duplex fcc+hcp cobalt based entropic alloys: An experimental and theoretical investigation. Mater. Des. 2022, 223, 111166. [Google Scholar]
- Wang, X.F.; Zhang, Y.; Qiao, Y.; Chen, G.L. Novel microstructure and properties of multicomponent CoCrCuFeNiTix alloys. Intermetallics 2007, 15, 357–362. [Google Scholar]
- Hemphill, M.A.; Yuan, T.; Wang, G.Y.; Yeh, J.W.; Tsai, C.W.; Chuang, A.; Liaw, P.K. Fatigue behavior of Al0.5CoCrCuFeNi high entropy alloys. Acta Mater. 2012, 60, 5723–5734. [Google Scholar] [CrossRef]
- Chuang, M.-H.; Tsai, M.-H.; Wang, W.-R.; Lin, S.-J.; Yeh, J.-W. Microstructure and wear behavior of AlxCo1.5CrFeNi1.5Tiy high-entropy alloys. Acta Mater. 2011, 59, 6308–6317. [Google Scholar]
- Niu, C.; Zaddach, A.J.; Koch, C.C.; Irving, D.L. First principles exploration of near-equiatomic NiFeCrCo high entropy alloys. J. Alloys Compd. 2016, 672, 510–520. [Google Scholar] [CrossRef]
- Tian, F.; Varga, L.K.; Chen, N.; Delczeg, L.; Vitos, L. Ab initio investigation of high-entropy alloys of 3d elements. Phys. Rev. B 2013, 87, 075144. [Google Scholar]
- Tian, F.; Varga, L.K.; Shen, J.; Vitos, L. Calculating elastic constants in high-entropy alloys using the coherent potential approximation: Current issues and errors. Comput. Mater. Sci. 2016, 111, 350–358. [Google Scholar] [CrossRef]
- Liu, Y.; Wang, K.; Xiao, H.; Chen, G.; Wang, Z.; Hu, T.; Fan, T.; Ma, L. Theoretical study of the mechanical properties of CrFeCoNiMox (0.1≤x≤0.3) alloys. RSC Adv. 2020, 10, 14080–14088. [Google Scholar] [CrossRef]
- Šebesta, J.; Carva, K.; Legut, D. Role of magnetism in the stability of the high-entropy alloy CoCrFeMnNi and its derivatives. Phys. Rev. Mater. 2019, 3, 124410. [Google Scholar]
- Cyrot, M. Phase transition in Hubbard model. Phys. Rev. Lett. 1970, 25, 871. [Google Scholar] [CrossRef]
- Gyorffy, B.L.; Pindor, A.J.; Staunton, J.; Stocks, G.M.; Winter, H. A first-principles theory of ferromagnetic phase transitions in metals. J. Phys. F Met. Phys. 1985, 15, 1337. [Google Scholar] [CrossRef]
- Moriya, T. Spin Fluctuations in Itinerant Electron Magnetism; Springer: Berlin/Heidelberg, Germany, 1985; Volume 56. [Google Scholar]
- Korzhavyi, P.A.; Sundman, B.; Selleby, M.; Johansson, B. Atomic, electronic, and magnetic structure of iron-based sigma-phases. MRS Online Proc. Lib. 2004, 842, 185–190. [Google Scholar]
- Kübler, J. Theory of Itinerant Electron Magnetism; Oxford Univeristy Press: New York, NY, USA, 2017; Volume 106. [Google Scholar]
- Ruban, A.V.; Khmelevskyi, S.; Mohn, P.; Johansson, B. Temperature-induced longitudinal spin fluctuations in Fe and Ni. Phys. Rev. B 2007, 75, 054402. [Google Scholar]
- Ruban, A.V.; Belonoshko, A.B.; Skorodumova, N.V. Impact of magnetism on Fe under Earth’s core conditions. Phys. Rev. B 2013, 87, 014405. [Google Scholar]
- Neding, B.; Gorbatov, O.I.; Tseng, J.-C.; Hedström, P. In Situ Bulk Observations and Ab Initio Calculations Revealing the Temperature Dependence of Stacking Fault Energy in Fe–Cr–Ni Alloys. Metall. Mater. Trans. A Phys. 2021, 52, 5357–5366. [Google Scholar]
- Cantor, B. Multicomponent high-entropy Cantor alloys. Prog. Mater. Sci. 2021, 120, 100754. [Google Scholar]
- Schneeweiss, O.; Friák, M.; Dudová, M.; Holec, D.; Šob, M.; Kriegner, D.; Holỳ, V.; Beran, P.; George, E.P.; Neugebauer, J.; et al. Magnetic properties of the CrMnFeCoNi high-entropy alloy. Phys. Rev. B 2017, 96, 014437. [Google Scholar]
- Zhang, Y.; Zuo, T.; Cheng, Y.; Liaw, P.K. High-entropy alloys with high saturation magnetization, electrical resistivity and malleability. Sci. Rep. 2013, 3, 1455. [Google Scholar] [CrossRef] [PubMed]
- Lucas, M.S.; Mauger, L.; Munoz, J.A.; Xiao, Y.; Sheets, A.O.; Semiatin, S.L.; Horwath, J.; Turgut, Z. Magnetic and vibrational properties of high-entropy alloys. J. Appl. Phys. 2011, 109, 07E307. [Google Scholar]
- Lucas, M.S.; Belyea, D.; Bauer, C.; Bryant, N.; Michel, E.; Turgut, Z.; Leontsev, S.O.; Horwath, J.; Semiatin, S.L.; McHenry, M.E.; et al. Thermomagnetic analysis of FeCoCrxNi alloys: Magnetic entropy of high-entropy alloys. J. Appl. Phys. 2013, 113, 17A923. [Google Scholar]
- Borkar, T.; Chaudhary, V.; Gwalani, B.; Choudhuri, D.; Mikler, C.V.; Soni, V.; Alam, T.; Ramanujan, R.; Banerjee, R. A combinatorial approach for assessing the magnetic properties of high entropy alloys: Role of Cr in AlCoxCr1-xFeNi. Adv. Eng. Mater. 2017, 19, 1700048. [Google Scholar]
- Mishra, R.K.; Kumari, P.; Gupta, A.K.; Shahi, R.R. Design and development of Co35Cr5Fe20-xNi20+xTi20 High Entropy Alloy with excellent magnetic softness. J. Alloys Compd. 2021, 889, 161773. [Google Scholar]
- Grilli, M.L.; Bellezze, T.; Gamsjäger, E.; Rinaldi, A.; Novak, P.; Balos, S.; Piticescu, R.R.; Ruello, M.L. Solutions for critical raw materials under extreme conditions: A review. Materials 2017, 10, 285. [Google Scholar] [CrossRef] [PubMed]
- Airhart, E. Alternatives to Cobalt, the Blood Diamond of Batteries. Wired Mag. 2018. Available online: https://www.wired.com/story/alternatives-to-cobalt-the-blood-diamond-of-batteries/ (accessed on 22 February 2025).
- Nemery, B.; Abraham, J.L. Hard metal lung disease: Still hard to understand. Am. J. Respir. Crit. Care Med. 2007, 176, 2–3. [Google Scholar] [PubMed]
- Wan, R.; Mo, Y.; Zhang, Z.; Jiang, Z.M.; Tang, S.; Zhang, Q. Cobalt nanoparticles induce lung injury, DNA damage and mutations in mice. Part. Fibre Toxicol. 2017, 14, 1–15. [Google Scholar]
- Linna, A.; Oksa, P.; Groundstroem, K.; Halkosaari, M.; Palmroos, P.; Huikko, S.; Uitti, J. Exposure to Cobalt in the production of Cobalt and Cobalt compounds and its effect on the heart. Occup. Environ. Med. 2004, 61, 877–885. [Google Scholar]
- Lee, J.; Kitchaev, D.A.; Kwon, D.-H.; Lee, C.-W.; Papp, J.K.; Liu, Y.-S.; Lun, Z.; Clement, R.J.; Shi, T.; McCloskey, B.D. Reversible Mn2+/Mn4+ double redox in lithium-excess cathode materials. Nature 2018, 556, 185–190. [Google Scholar]
- Kallmeier, F.; Kempe, R. Manganese complexes for (de)hydrogenation catalysis: A comparison to cobalt and iron catalysts. Angew. Chem. Int. Ed. 2018, 57, 46–60. [Google Scholar]
- Tien, J.K.; Howson, T.E.; Chen, G.L.; Xie, X.S. Cobalt availability and superalloys. J. Meteorol. 1980, 32, 12–20. [Google Scholar]
- Fernandes, C.M.; Senos, A.M.R. Cemented carbide phase diagrams: A review. Int. J. Refract. Hard Met. 2011, 29, 405–418. [Google Scholar]
- Ojo-Kupoluyi, O.J.; Tahir, S.M.; Baharudin, B.T.H.T.; Hanim, M.A.A.; Anuar, M.S. Mechanical properties of WC-based hardmetals bonded with iron alloys–A review. Mater. Sci. Technol. 2017, 33, 507–517. [Google Scholar]
- Holmström, E.; Lizarraga, R.; Linder, D.; Salmasi, A.; Wang, W.; Kaplan, B.; Mao, H.; Larsson, H.; Vitos, L. High entropy alloys: Substituting for Cobalt in cutting edge technology. Appl. Mater. Today 2018, 12, 322–329. [Google Scholar] [CrossRef]
- Moruzzi, V.L.; Janak, J.F.; Schwarz, K. Calculated thermal properties of metals. Phys. Rev. B 1988, 37, 790. [Google Scholar] [CrossRef]
- Hohenberg, P.; Kohn, W. Inhomogeneous electron gas. Phys. Rev. 1964, 136, B864. [Google Scholar]
- Vitos, L.; Skriver, H.L.; Johansson, B.; Kollár, J. Application of the exact muffin-tin orbitals theory: The spherical cell approximation. Comput. Mater. Sci. 2000, 18, 24–38. [Google Scholar]
- Vitos, L. Total-energy method based on the exact muffin-tin orbitals theory. Phys. Rev. B 2001, 64, 014107. [Google Scholar]
- Vitos, L.; Abrikosov, I.A.; Johansson, B. Anisotropic lattice distortions in random alloys from first-principles theory. Phys. Rev. Lett. 2001, 87, 156401. [Google Scholar]
- Gyorffy, B.L. Coherent-potential approximation for a nonoverlapping-muffin-tin-potential model of random substitutional alloys. Phys. Rev. B 1972, 5, 2382. [Google Scholar]
- Soven, P. Coherent-potential model of substitutional disordered alloys. Phys. Rev. 1967, 156, 809. [Google Scholar]
- Ruban, A.V.; Skriver, H.L. Screened Coulomb interactions in metallic alloys. I. Universal screening in the atomic-sphere approximation. Phys. Rev. B 2002, 66, 024201. [Google Scholar] [CrossRef]
- Ruban, A.V.; Simak, S.I.; Korzhavyi, P.A.; Skriver, H.L. Screened Coulomb interactions in metallic alloys. II. Screening beyond the single-site and atomic-sphere approximations. Phys. Rev. B 2002, 66, 024202. [Google Scholar] [CrossRef]
- Abrikosov, I.A.; Simak, S.I.; Johansson, B.; Ruban, A.V.; Skriver, H.L. Locally self-consistent Green’s function approach to the electronic structure problem. Phys. Rev. B 1997, 56, 9319. [Google Scholar] [CrossRef]
- Peil, O.E.; Ruban, A.V.; Johansson, B. Self-consistent supercell approach to alloys with local environment effects. Phys. Rev. B 2012, 85, 165140. [Google Scholar] [CrossRef]
- Ruban, A.V. On segregation in multicomponent alloys: Surface segregation in austenite and FeCrCoNiMn alloys. Comput. Mater. Sci. 2021, 187, 110080. [Google Scholar] [CrossRef]
- Ma, D.; Grabowski, B.; Körmann, F.; Neugebauer, J.; Raabe, D. Ab initio thermodynamics of the CoCrFeMnNi high entropy alloy: Importance of entropy contributions beyond the configurational one. Acta Mater. 2015, 100, 90–97. [Google Scholar] [CrossRef]
- Perdew, J.P.; Wang, Y. Accurate and simple analytic representation of the electron-gas correlation energy. Phys. Rev. B 1992, 45, 13244. [Google Scholar] [CrossRef]
- Monkhorst, H.J.; Pack, J.D. Special points for Brillouin-zone integrations. Phys. Rev. B 1976, 13, 5188. [Google Scholar] [CrossRef]
- Perdew, J.P.; Burke, K.; Ernzerhof, M. Generalized gradient approximation made simple. Phys. Rev. Lett. 1996, 77, 3865. [Google Scholar] [CrossRef]
- Zhu, Z.G.; Ma, K.H.; Yang, X.; Shek, C.H. Annealing effect on the phase stability and mechanical properties of (FeNiCrMn)(100-x)Cox high entropy alloys. J. Alloys Compd. 2017, 695, 2945–2950. [Google Scholar] [CrossRef]
- Tracy, C.L.; Park, S.; Rittman, D.R.; Zinkle, S.J.; Bei, H.; Lang, M.; Ewing, R.C.; Mao, W.L. High pressure synthesis of a hexagonal close-packed phase of the high-entropy alloy CrMnFeCoNi. Nat. Commun. 2017, 8, 15634. [Google Scholar] [CrossRef] [PubMed]
- Zhang, F.; Wu, Y.; Lou, H.; Zeng, Z.; Prakapenka, V.B.; Greenberg, E.; Ren, Y.; Yan, J.; Okasinski, J.S.; Liu, X.; et al. Polymorphism in a high-entropy alloy. Nat. Commun. 2017, 8, 15687. [Google Scholar] [CrossRef]
- Vitos, L.; Nilsson, J.-O.; Johansson, B. Alloying effects on the stacking fault energy in austenitic stainless steels from first-principles theory. Acta Mater. 2006, 54, 3821–3826. [Google Scholar]
- Gorbatov, O.I.; Gornostyrev, Y.N.; Korzhavyi, P.A.; Ruban, A.V. Ab initio modeling of decomposition in iron based alloys. Phys. Met. Metallogr. 2016, 117, 1293–1327. [Google Scholar]
- Birch, F. The effect of pressure upon the elastic parameters of isotropic solids, according to Murnaghan’s theory of finite strain. J. Appl. Phys. 1938, 9, 279–288. [Google Scholar]
- Birch, F. Finite elastic strain of cubic crystals. Phys. Rev. 1947, 71, 809. [Google Scholar]
- Glensk, A.; Grabowski, B.; Hickel, T.; Neugebauer, J. Understanding anharmonicity in fcc materials: From its origin to ab initio strategies beyond the quasiharmonic approximation. Phys. Rev. Lett. 2015, 114, 195901. [Google Scholar] [CrossRef]
- Hafner, J. Atomic-scale computational materials science. Acta Mater. 2000, 48, 71–92. [Google Scholar]
- Wassermann, E.F.; Acet, M. Invar and anti-Invar: Magnetovolume effects in Fe-based alloys revisited. In Magnetism and Structure in Functional Materials; Springer: Berlin/Heidelberg, Germany, 2005; pp. 177–197. [Google Scholar]
- Ruban, A.V.; Abrikosov, I.A. Configurational thermodynamics of alloys from first principles: Effective cluster interactions. Rep. Prog. Phys. 2008, 71, 046501. [Google Scholar]
- He, S.; Scheiber, D.; Jechtl, T.; Moitzi, F.; Peil, O.; Romaner, L.; Zamberger, S.; Povoden-Karadeniz, E.; Razumovskiy, V.; Ruban, A.V. Solubility and segregation of B in paramagnetic fcc Fe. Phys. Rev. Mater. 2022, 6, 023604. [Google Scholar]
- Haas, P.; Tran, F.; Blaha, P. Calculation of the lattice constant of solids with semilocal functionals. Phys. Rev. B 2009, 79, 085104. [Google Scholar] [CrossRef]
- Laplanche, G.; Gadaud, P.; Horst, O.; Otto, F.; Eggeler, G.; George, E.P. Temperature dependencies of the elastic moduli and thermal expansion coefficient of an equiatomic, single-phase CoCrFeMnNi high-entropy alloy. J. Alloys Compd. 2015, 623, 348–353. [Google Scholar] [CrossRef]
- Reyes-Huamantinco, A.; Puschnig, P.; Ambrosch-Draxl, C.; Peil, O.E.; Ruban, A.V. Stacking-fault energy and anti-Invar effect in Fe-Mn alloy from first principles. Phys. Rev. B 2012, 86, 060201. [Google Scholar] [CrossRef]
- Razumovskiy, V.I.; Reyes-Huamantinco, A.; Puschnig, P.; Ruban, A.V. Effect of thermal lattice expansion on the stacking fault energies of fcc Fe and Fe75Mn25 alloy. Phys. Rev. B 2016, 93, 054111. [Google Scholar] [CrossRef]
- Acet, M. Inducing strong magnetism in Cr20Mn20Fe20Co20Ni20 high-entropy alloys by exploiting its anti-Invar property. AIP Adv. 2019, 9, 095037. [Google Scholar]
- Mehl, M.J.; Osburn, J.E.; Papaconstantopoulos, D.A.; Klein, B.M. Structural properties of ordered high-melting-temperature intermetallic alloys from first-principles total-energy calculations. Phys. Rev. B 1990, 41, 10311. [Google Scholar] [CrossRef]
- Mehl, M.J.; Klein, B.M.; Papaconstantopoulos, D.A. Intermetallic compounds: Principle and practice. Principles 1995, 1, 195–210. [Google Scholar]
- Teramoto, T.; Yamada, K.; Ito, R.; Tanaka, K. Monocrystalline elastic constants and their temperature dependences for equi-atomic Cr-Mn-Fe-Co-Ni high-entropy alloy with the face-centered cubic structure. J. Alloys Compd. 2019, 777, 1313–1318. [Google Scholar] [CrossRef]
- Vitos, L. Computational Quantum Mechanics for Materials Engineers: The EMTO Method and Applications; Springer: London, UK, 2007. [Google Scholar]
- Nguyen–Manh, D.; Mrovec, M.; Fitzgerald, S.P. Dislocation driven problems in atomistic modelling of materials. Mater. Trans. 2008, 49, 2497–2506. [Google Scholar] [CrossRef]
- Sun, X.; Lu, S.; Xie, R.; An, X.; Li, W.; Zhang, T.; Liang, C.; Ding, X.; Wang, Y.; Zhang, H.; et al. Can experiment determine the stacking fault energy of metastable alloys? Mater. Des. 2021, 199, 109396. [Google Scholar]
- Denteneer, P.J.H.; van Haeringen, W. Stacking-fault energies in semiconductors from first-principles calculations. J. Phys. C Solid State Phys. 1987, 20, L883. [Google Scholar]
- Razumovskiy, V.I.; Hahn, C.; Lukas, M.; Romaner, L. Ab initio study of elastic and mechanical properties in FeCrMn alloys. Materials 2019, 12, 1129. [Google Scholar] [CrossRef]
- Kittel, C. Introduction to Solid State Physics; Wiley: Hoboken, NJ, USA, 2005. [Google Scholar]
Disclaimer/Publisher’s Note: The statements, opinions and data contained in all publications are solely those of the individual author(s) and contributor(s) and not of MDPI and/or the editor(s). MDPI and/or the editor(s) disclaim responsibility for any injury to people or property resulting from any ideas, methods, instructions or products referred to in the content. |
© 2025 by the authors. Licensee MDPI, Basel, Switzerland. This article is an open access article distributed under the terms and conditions of the Creative Commons Attribution (CC BY) license (https://creativecommons.org/licenses/by/4.0/).





