Abstract
The scattering of reinforcement plays a crucial role in the microstructure and properties of metal matrix composites. In this study, an aluminum matrix composite (AMC) was reinforced by 10 wt% TiO2 (Al-10TiO2), with an average particle size of a submicron, combined with a different content of graphitic carbon nitride (g-C3N4), which was fabricated by shift-speed ball milling (SSBM) combined with multi-pass friction stir processing (FSP). In addition to the high hardness of TiO2, g-C3N4 has functional groups to promote in situ reactions. SSBM improves the distribution of reinforcement, refines grain size, and reduces the structural destruction of g-C3N4. The in situ reaction was achieved after multi-pass FSP at a high rotational speed and low travel speeds, which can promote uniform dispersion and grain refinement. Moreover, the g-C3N4 shows the efficient enhancement of strength while maintaining the elongation of AMC. Because the exfoliation of g-C3N4 under the effect of processing reduces the agglomeration of TiO2, boosts the flattening of Al, and enhances interface integration with the base metal. In situ phases can reduce the generation of coarse phases and improve interfacial bonding ability to enhance mechanical properties. The maximum tensile strength has been found at about 172.5 MPa in the Al-10TiO2 containing 1 wt% g-C3N4, which was enhanced by 34% compared to that of the Al-10TiO2. The tensile strength increases when the g-C3N4 content increases from 0 to 1 wt%, but then reduces with a further increase of content. The hardness was increased by 50.2%, 60.2%, and 35% with a g-C3N4 content of 0.5, 1, and 2 wt% compared to AMCs without reinforcement, respectively. According to the test, the enhancement mechanism is mainly attributed to Orowan, grain refinement strengthening, and load transfer of scattered reinforcement. In summary, the utilization of hybrid reinforcements successfully enhances the microstructure and mechanical properties.
1. Introduction
Aluminum has great potential in industrial applications due to its light weight, corrosion resistance, low density, and good processability. AMCs have great potential to improve mechanical properties while ensuring light weight by using low-cost reinforcements, such as titanium dioxide (TiO2). TiO2 shows low cost, lower density, and high mechanical properties and has the potential for reinforcement [1].
The traditional methods to fabricate AMCs such as powder metallurgy [2], stir casting [3], and spark plasma sintering [4] may cause poor dispersion and generate detrimental phases in high temperatures. The FSP is usually used to produce a surface composite on the substrate below the melting points, which deviates from friction stir welding (FSW). FSW belongs to the solid-state joining technique, whose rotating tool generates frictional heat and severe plastic deformation (SPD). SPD can change the original grain structure into a fine and uniform grain structure. SPD also brings many dislocations and then influences the effect of the mechanical properties. The process has proven to be highly effective in joining materials under melting points. Therefore, FSP has great potential to disperse the reinforcement uniformly and reduce the generation of harmful phases.
Zhang et al. [5] successfully utilized Al mixed with TiO2 powder to form Al3Ti and Al2O3 particles in the AMCs by four passes of FSP at the rotation speed of 1200 rpm. Both strength and ductility improve significantly by the exhibition of in situ nanocomposites. Gudla et al. researched the effect of submicron TiO2 filled into grooves and then by multipass. The reinforcement at a submicron size disperses more homogeneously than at a micro size. Submicron particles have a higher specific surface area compared to microparticles and provide more interfaces and dislocations to improve strength, ductility, and fracture toughness characteristics [6]. Abraham et al. studied the maximum mechanical properties at 10 wt% nanoparticle TiO2. As the content continues to increase, agglomerates of TiO2 particles were observed [7]. Moreover, hybrid reinforcement particles composed of TiO2 combined with graphite, graphene, and carbon nanotubes can be considered a promising method to enhance both strength and ductility [8]. Beygi et al. obtained Al-TiO2–graphite by 60 h of ball milling combined with FSP. The ball-milled mixture generated Al4C3 during FSP and, consequently, joined in the reaction of TiC [9]. Ghazanlou et al. researched the AMCs reinforced with graphene and TiO2 by laser powder bed fusion. TiO2 nanoparticles serve as a nail on the graphene surface and further limit dislocation extension [8]. Saba et al. incorporated 1.55 wt% CNT TiO2 within the 6061Al matrix. Before the powder sintering, the CNTs and TiO2 were mixed in the ethanol by ultrasonic dispersion to improve the distribution [10].
G-C3N4 is a nitrogen-rich metal-free organic material that can be easily made from graphite and urea through the thermal polymerization method [11]. G-C3N4 is rich in N-containing species, such as amino groups (in the form of –NH2 and –NH– groups) at the edge of graphitic sheets, and tertiary amines linking the heptazine rings, all of which could easily react with base metal and TiO2 [12]. Xia et al. found that nanoscale in situ phases, such as TiC, TiN, Ti2N, and Al4C3, could enhance the strong interface bonding with the composite. Above all, g-C3N4 can be an ideal reinforcing material for improving wettability, minimizing the formation of aluminum carbide, and enhancing strength through strong interfacial bonding.
The dispersion of the reinforcement and interface bonding with the matrix are challenges to the improvement of their mechanical properties. The distribution of TiO2 particles in the aluminum matrix was uneven, and clustering was unavoidable [6]. Ball milling is a simple method to disperse reinforcement and refine the grain effectively. It is often divided into low-speed ball milling (LSBM) and high-speed ball milling (HSBM). Long-term LSBM enhances the dispersion of the reinforcement. However, it shows the poor refinement of the powder’s shape due to inadequate impact energy on the powders [13]. However, HSBM enhances grain refinement and bonding by intense collision, which can promote the inter-facial reaction [14,15]. The strong radial impact force may damage the structural integrity. Wang et al. [16] attempted shift-speed ball milling (SSBM) to disperse high-content boron nitride nanosheets into metal successfully. The shift-speed ball milling adjusted the milling speed and time in the single ball-milling process, which provided a new idea for the preparation of composite materials. Both HSBM and LSBM can hardly satisfy the requirements of dispersion of reinforcement, grain refinement, and bonding ability with the base metal at the same time. Compared to the above two ball millings, SSBM can achieve uniform dispersion, fine grains, and structural integrity. SSBM uses different rotational speeds at different stages to achieve different functions.
As mentioned above in the brief literature, few studies focus on the AMCs reinforced and processed by FSP combined with ball milling. In this study, the research aims to utilize g-C3N4 to further improve AMCs containing submicron TiO2. The milled powders processed by SSBM were used as starting powders for FSP. The effect and optimum content of g-C3N4 in AMCs were investigated in this work. Meanwhile, the phases and microstructure were also characterized by X-ray diffraction(XRD), scanning electron microscopy(SEM), and energy dispersive spectrometer(EDS). Comparative studies were also conducted on the microstructure evolutions, tensile strengths, and hardnesses of all the composites.
2. Experiment Details
In this research, Al 1060 plates in the H16 hardened state with dimensions of 200 mm × 60 mm × 8 mm and 2 mm were utilized as the base plate and cover plate, respectively. The metallographic structure is shown in Figure 1, and the specific data are displayed in Table 1 and Table 2.
Figure 1.
Metallographic structure of Al 1060 -H16.
Table 1.
Chemical composition of Al 1060 (wt%).
Table 2.
Mechanical property of Al 1060.
Pure spherical Al powder was utilized in the study (6 μm, 99.7% purity, Beijing Gaoke Co. LTD, Beijing, China), as well as TiO2 (700 nm, 99.7% purity, Beijing Zhongkeyannuo Co. LTD, Beijing, China). The AMCs were reinforced with varying concentrations (0, 0.5, 1, and 2 wt%) of g-C3N4 (>99%, 500 nm). Nanopowders of g-C3N4 were synthesized from urea by the thermal polymerization method [17]: The sample was synthesized from urea in a muffle furnace and heated at 550°C with a ramping rate of 2 °C min−1 for 4 h under atmospheric conditions (20 °C in temperature, 1.013 × 105 Pa in standard atmospheric pressure and 11 g/m3 in absolute humidity). All as-received materials before processing were analyzed by scanning electron microscopy (SEM, JSM-7900F, Osaka, Japan) to study their morphologies. The SEM image and EDS of spherical Al powder are shown in Figure 2a and Figure 2b, respectively. Figure 3a,b show SEM images and EDS of submicron TiO2 and g-C3N4. Meanwhile, the average grain size distributions of Al and submicron TiO2 are displayed in Figure 4.
Figure 2.
(a) SEM image and (b) EDS of the as-received spherical pure Al powders.
Figure 3.
Micromorphology and EDS of (a) TiO2, (b) g-C3N4.
Figure 4.
The diameter distribution of (a) pure Al and (b) TiO2.
2.1. Ball Milling
The powders were mixed to prepare mixed powders with different contents of g-C3N4 combined with TiO2 using a shift-speed planetary ball mill (Model: QM-3SP4, Nanda Instrument, Nanjing, China). The content of TiO2 in AMCs was 10 wt%, which referred to the previous experiment [7]. The dispersion of TiO2 and g-C3N4 in Al during SSBM is schematically shown in Figure 5. The mixed powder with a ball-to-powder ratio of 8:1 was sealed in an agate jar, and 1 wt% stearic acid was added to the mixed powder to serve as a process control agent. The optimal parameters for SSBM are based on our previous study and adjusted during the pre-experiments [18], which is implemented in two steps. First, it was ball-milled at 150 rpm for 6 h. Second, a high-speed mill at a rotation speed of 250 rpm for 2 h was used. The entire process of ball milling is carried out in an argon atmosphere.
Figure 5.
The schematic diagram of the shift-speed ball milling process: (a) LSBM and (b) HSBM.
2.2. Friction Stir Processing
After the ball milling, grooves with dimensions of 3 mm depth and 4 mm width in the base metal were filled with milled powder and then covered by an aluminum plate with a thickness of 2 mm to prevent powder from flying during the processing. A special pinless tool was first used to close the groove at a rotational speed of 1000 rpm and a travel speed of 75 mm/min (Figure 6d). The FSP was carried out with a cylindrical tool with threads at a rotational speed of 1500 rpm and a travel speed of 100 mm/min (Figure 6e), which was based on the optimum parameters discovered in the earlier report of Mohammad et al. [19]. The FSP was operated in three passes at a press amount of −0.4 mm and an angle of 2.5°. The schematic representations of the FSP and overview of the tools are shown in Figure 6.
Figure 6.
(a) Schematic representations of friction stir-processing process, size of (b) tensile specimen, (c) microhardness sample, and overview of (d) pinless tool and its geometric dimensions. (e) Pin tool and its geometric dimensions.
2.3. Microstructural Studies and Mechanical Properties
X-ray photoelectron spectroscopy (XPS, ESCALAB 250Xi, Thermo Fisher Scientific, Waltham, MA, USA) was utilized to check the spectra of C1s and N1s of the prepared g-C3N4. The deconvoluted C1s and N1s spectra of the g-C3N4 are depicted in Figure 5b. The milled powder and samples were labeled as Al-10TiO2-MC3N4. M means the mass ratio of g-C3N4. The phase analysis of milled powder and AMCs was researched by X-ray diffraction (XRD, Rigaku, Tokyo, Japan) with the copper target. XRD was performed using Cu-Kα radiation at 40 kV and 40 mA. Diffraction data were recorded in the 2θ range from 10° to 80° and a step size of 10°/min.
The microstructural characterization samples were prepared by grinding paper from 400 to 3000 grit and metallographically polished with 1 μm SiO2, then subsequently ultrasonically cleaned and etched using Keller reagent. Microstructural characterization and elemental analysis of the powder and samples were conducted by a field emission scanning electron microscope (FESEM) (Zeiss, Jena, Germany) equipped with energy-dispersive X-ray spectroscopy (EDS, Oxford, MS, USA) simultaneously.
The base metal and FSPed samples have undergone mechanical property testing, which includes tensile and hardness testing. Dogbone-shaped tensile specimens (10 mm gage length, 3 mm gage width, and 4 mm gage thickness) were electro-discharge machined from the SZ transverse to the FSP direction. Tensile tests were conducted on an electronic universal testing machine (INSTRON IN-STRON-5869, Norwood, MA, USA) at the rate of 1 × 10−3 s−1. Moreover, the Vickers hardness was measured by a microhardness tester (HUAYIN HVS-1000A, Laizhou, China) at a 100 g load applied for 10 s. The hardness test specimens were sized 12 mm in length, 4 mm in width, and height 10 mm. Both of the mechanical properties tests were repeated 10 times at the same condition to take the mean data. The samples, as mentioned earlier, are shown in Figure 6b,c.
3. Results
3.1. Microscopic Morphology of Mixed Powders
The XPS data of the fabricated g-C3N4 samples are also in Figure 7a. The atomic percentages of C1s and N1s in g-C3N4 are 48.1% and 37.4%, respectively. This result shows that g-C3N4 has more N1s, which proves more planar g-C3N4 extended structure conversion. The C1s show two known fundamental peaks at 284.8 eV and 288.2 eV. The peaks at 284.8 eV and 288.2 eV represent C=C coordination and the backbone of N–C=N sp3 bonded carbon in g-C3N4. Moreover, the N1s spectra show two prominent peaks at 398.4 eV and 399.7 eV, which relates to the C–N–C group of sp2 bonded nitrogen describing the triazine rings and three coordinated N state (N-[C]3) in the heptazine units. The results confirm that the sample prepared at 550°C gives well-crystallized and periodic g-C3N4, which is consistent with the recent study [17]. According to the XRD in Figure 7b, two major fundamental characteristic peaks exhibited at 13.1° and 27.5°, which may be identified as the (100) and (002) crystal planes. The (100) and (002) planes represent the periodic tri-s-triazine ring structure and the interlayer stacking of the conjugated aromatic system.
Figure 7.
(a) XPS and (b) XRD patterns of g-C3N4 synthesized from melamine.
Ball milling is a simple and effective way to disperse reinforcement and refine grain. During ball milling, shear force and compression force play crucial roles in the ball-milling process, which exerts grain refinement and uniform distribution toward plastic deformation, fragmentation, and recrystallization. On the one hand, the compression force is generated by the collision between the balls, which makes the powder undergo the following processes: flatten, cold welding, and shatter. Moreover, pressure can evenly distribute the second phase (such as oxides, carbides, etc.) in the matrix, thereby strengthening dispersion. On the other hand, the shear force mainly comes from the relative sliding between the ball and the abrasive material, which helps disperse submicron particles evenly. All these processes are crucial for achieving a well-dispersed composite material with tailored properties.
However, the powder is refined and mixed evenly at a high content of TiO2 in the SSBM. Some clusters of TiO2 are observed in Figure 8a (white arrow). According to the SEM and EDS shown in Figure 9, Figure 10 and Figure 11, The distribution of the N element increases with the increase in g-C3N4 content. Moreover, the distribution of Ti elements is more uniform than shown in Figure 8a. The EDS indicates that Al becomes refined and that the submicron TiO2 aggregates almost reduce with the introduction of g-C3N4. Shear force during ball milling causes Al to flatten and refine, while submicron TiO2 promotes the dispersion of Al sheets and reduces cold-welding accumulation. The higher total surface area of Al flakes promotes the adhesion and embedding of reinforcement (g-C3N4 and TiO2). In addition, the most homogeneous dispersion of TiO2 and g-C3N4 is detected in Al-10TiO2-1C3N4. However, as the content of g-C3N4 continues to increase (2 wt%), some agglomerations are found in Figure 11 (white arrows). Although the van der Waals force between the layers of g-C3N4 is weak, some small agglomerations still appear and affect the dispersion of TiO2 and mechanical properties [20].
Figure 8.
SEM image and EDS mapping analysis of mixed powder: (a) Al-10TiO2 and (b) milled Al powder.
Figure 9.
SEM image and EDS mapping analysis of mixed powder: Al-10TiO2-0.5C3N4.
Figure 10.
SEM image and EDS mapping analysis of mixed powder: Al-10TiO2-1C3N4.
Figure 11.
SEM image and EDS mapping analysis of mixed powder: Al-10TiO2-2C3N4.
Main characteristic peaks of Al along with peaks of TiO2 and g-C3N4 are also present in the XRD (Figure 12). The characteristic peaks of the in situ phases (TiN and Al3Ti) are very weak, indicating that only a small amount of substance has undergone an in situ reaction. Due to the low weight percentage of carbon nitride and its partial involvement in the reaction, no remarkable characteristic peaks were shown in the XRD pattern. With the addition of TiO2, the main peaks of Al3Ti were found at 33.1°, 40.3°, and 74.5°, which represent the (100), (110), and (210) crystal planes, respectively. Compared to the Al-20 TiO2, some characteristic peaks appear in Al-10TiO2-MC3N4 with the addition of g-C3N4 at 36.47° and 42.6°, representing the (200) and (111) crystal planes of TiN, respectively. It is worth noting that the diffraction peak of Al3Ti at 74.5° becomes weaker with the addition of g-C3N4, which may be attributed to the in situ reaction between g-C3N4 and TiO2.
Figure 12.
XRD of milled powder.
Combined with SEM and EDS, the microstructure evolution of powder during BM is as follows. As for the stage of LSBM, the uniform dispersion of reinforcement is the main purpose. The deformation is not obvious because of the low compression force. It has been reported that LSBM can disperse the reinforcement and avoid excessive fragmentation and plastic deformation. As the ball-milling time increases, the distribution of reinforcement becomes uniform [21,22]. During the ball milling, high-energy collision, friction, and deformation can promote the diffusion of reinforcement and grain refinement. Thus, the stage of LSBM mixes g-C3N4 and a high content of submicron TiO2 into Al powder uniformly. Meanwhile, the homogeneous distribution of reinforcements is beneficial for bonding during HSBM and in situ reaction generation in FSP [23].
HSBM can refine the size of Al powder through fragmentation and plastic deformation, which promotes the embedding of submicron TiO2 on the surface of Al. Spherical Al powders undergo shattering and cold welding. Ductile Al powders were flattened to form lamellae, while the brittle particles (TiO2) were fragmented. G-C3N4 is also stripped into a few layered structures. Al powders are entirely transformed into flat geometry, which is beneficial for the embedding and wrapping of reinforcement. The SEM and EDS in Figure 9, Figure 10 and Figure 11 indicate that not only does the Al refine but also hybrid reinforcement can be distributed homogeneously. According to the previous study, mechanical force can promote the contact between TiO2 and g-C3N4. G-C3N4 is rich in functional groups in its few-layer structure. So, the reaction of functional groups can further promote contact (Figure 12). During ball milling, the surface energy between g-C3N4 and TiO2 increases, which results in an enhanced van der Waals force [24]. Above all, TiO2 can adhere to the surfaces of a few layers of g-C3N4. From recent research, graphite is exfoliated into significantly fewer layers after short-term HSBM, which can effectively reduce the agglomeration of submicron TiO2. Furthermore, a few layers of graphite boost the flattening and work hardening of Al particles [19]. G-C3N4 has similar layered structures as graphite and has more functional groups than graphite. In summary, g-C3N4 with a graphite-like structure can effectively reduce agglomeration and improve the interface bonding ability, which is conducive to the modification of the microstructure and mechanical properties.
3.2. Microstructure
The optical micrographs of the cross-section and SZ of AMCs are shown in Figure 13 and Figure 14. The thermal–mechanical affected zone (TMAZ) and SZ undergo plastic deformation and thermal effects. All specimens demonstrate a crack-free SZ, signifying an effective connection between the composite materials and the base alloy. Additionally, the grain size of SZ has been decreased from 13.8 ±0.3 μm to 11.3 ± 0.2 μm with the addition of TiO2. But in the case of AMCs reinforced by hybrid reinforcement, the grain sizes have effectively decreased to 9.7 ± 0.5, 7.8 ± 0.3, and 6.3 ± 0.5 μm in AMCS with 0.5 wt%, 1 wt%, and 2 wt% g-C3N4, respectively. However, the grain size becomes uneven in AMCs reinforced by 2 wt% g-C3N4, which may be related to the aggregation.
Figure 13.
The optical microstructure (cross-section and SZ) and grain size distribution of (a) 100% Al and (b) Al-10TiO2, respectively.
Figure 14.
The optical microstructure (cross-section and SZ) and grain size distribution of Al-10TiO2- (a) 0.5, (b) 1, and (c) 2 C3N4, respectively.
Compared with the base metal, all AMCs show grain refinement. The grain refinement may be due to SPD combined with dynamic recrystallization induced by heat input. Second, the addition of TiO2 also contributes to the grain refinement. TiO2 dispersed in the matrix plays a pinning role, which can hinder the dislocation movement and grain boundary migration to restrict the growth of recrystallized grains. Moreover, the CETs of aluminum and TiO2 particles are 21.4 × 10−6/°C and 8.6 × 10−6/°C, respectively. Because of the large difference in the CTE with Al, dislocation aggregation occurs around TiO2 and then evolves into a high-density dislocation area during FSP. High dislocation density can boost recrystallization [25]. The onion rings (black arrows) appearing in the upper part of the SSZ are characteristic of FSW, which are the result of the interaction between material flow and heat input during the processing. The rotation tool drives material into SZ to overlap with the previously stirred material layer [26]. This continuous stacking process forms onion rings with concentric layered structures. Furthermore, no obvious pores and grooves have been shown in the microporosities. The microstructure of the material is simultaneously affected by heat input and plastic deformation. The grain size gradually decreases from the base metal to the SZ. As for AMCs with reinforcement, less-particle regions are observed on top of the SZ. The distribution of the TiO2 particles in the SZ is more homogeneous, which may be related to the dispersion effect of SSBM combined with FSP and submicron TiO2 rearrangement caused by SPD during FSP.
Compared to Al-10TiO2-0.5C3N4, the high content of TiO2 disperses more uniformly in Al-10TiO2-1C3N4. It may be attributed to the deagglomerated effect of g-C3N4. G-C3N4 can bind with TiO2 towards the functional groups and promote the dispersion of TiO2. However, g-C3N4 is concentrated in some areas as the content increases to 2 wt%. The partial agglomerate of g-C3N4 is related to the van der Waals force between the layers.
As for SEM, micron-sized pores in the SZs of AMCs reinforced with 100% powder and TiO2 are observed in Figure 15. The pores become smaller and fewer with the addition of TiO2. Some clusters of TiO2 are also discovered in the Al-10TiO2 (Figure 15a). It may be attributed to uneven local plastic flow during FSP. Compared to the micrograph of the SZ, AMCs reinforced by hybrid reinforcement show significant grain modification and reduction of pores in Figure 16, Figure 17 and Figure 18. Al-10TiO2-1C3N4 shows the optimal microstructure, and almost no pores or cracks appear on the surface. Meanwhile, the EDS maps in Figure 16, Figure 17 and Figure 18 display the presence of reinforced particles in the SZ, which also confirms the nearly uniform dispersal of reinforcement in Al-10TiO2-0.5 and 1C3N4. Homogeneous dispersion is mainly related to the effect of ball milling and FSP. However, as the g-C3N4 content further increases, the ability to disperse TiO2 weakens, and more pores appear on the surface. Some clusters of g-C3N4 are also observed in the Al-10TiO2-2C3N4, which may decrease the mechanical properties.
Figure 15.
SEM image and EDS mapping analysis of the SZ of (a) Al-10TiO2 and (b) AMCs without reinforcement.
Figure 16.
SEM image and EDS mapping analysis of the SZ of Al-10TiO2-0.5C3N4.
Figure 17.
SEM image and EDS mapping analysis of the SZ of Al-10TiO2-1C3N4.
Figure 18.
SEM image and EDS mapping analysis of the SZ of Al-10TiO2-2C3N4.
Figure 19 also shows the XRD pattern for AMCs with reinforcement. Compared with the XRD results of the powder after ball milling, it was found that the characteristic peak of titanium dioxide disappeared, accompanied by the appearance of the peak of Ti (2θ = 38.47, 44.74, and 65.14°). Three peaks correspond to the (100), (002), and (101) planes of Ti. The disappearance of TiO2 and the appearance of Ti indicate that the reaction occurs with Al during FSP. Moreover, the in situ phases (such as Al3Ti and TiN) also appear in the spectrum. The above results show that in situ reactions can happen in the processing effectively. The generation of in situ phases (Al3Ti and TiN) may be attributed to the uniform distribution of ball milling and sufficient heat input in the FSP. The in situ phase may be valuable to grain refinement and the enhancement of interface binding, which can promote the microstructure modification shown in Figure 13 and Figure 14.
Figure 19.
XRD patterns of AMCs with reinforcement.
The SPD and heat generated by FSP can affect the grain size. During the FSP process, heat is generated by friction between the shoulder and the metal surface, as well as between the pin and the powder. The stirring effect of the pin can lead to SPD in the base metal, which facilitates the dispersion of hybrid reinforcement [27,28]. As a result, heat and SPD due to friction between the pin and the metal lead to recrystallization. The dynamic recrystallization in the FSP process then reduces the grain size, resulting in a refined grain structure with the coaxial axis [29]. On the other hand, the input of heat also boosts the uniform dispersion of reinforcement reacted with the base metal, thereby enhancing the interfacial bonding ability [19,30]. However, the input frictional heat leads to annealing and grain growth. Therefore, appropriate parameters of multi-pass FSP can both promote in situ interface bonding and effectively adjust grain size, as well as enhance the mechanical properties of AMCs. The higher the number of passes, the lower the grain average.
Compared to the AMCs without reinforcement, adding TiO2 in the SZ further reduces grain size and micropores. Other than grain refinement caused by FSP, hybrid reinforcement can also affect the grain size and relieve the agglomeration phenomenon of TiO2 during the process. According to a recent study, reinforcement is helpful to change the microstructure towards a particle-excited nucleus (PEN) [31,32]. The PEN mechanism plays a role in the presence of a reinforcement that can increase the locations of nucleation, which reduces the size of the matrix. Moreover, the presence of carbide (such as g-C3N4) can enhance the nucleation capacity because the strain concentration around them increases the local saved energy during the deformation. On the other hand, reinforcement usually disperses uniformly into base metal during FSP. Due to the effects of pin stirring, the material will be strongly deformed into small, recrystallized grains. The homogeneous distribution of submicron TiO2 in the subgrain boundaries will prompt the pinning effect, hindering grain growth and the migration of grain boundaries. These particles act as a barrier to the movement of grain boundaries as needles to prevent grain boundary migration and reduce grain size [33].
As the content of g-C3N4 increases, the peak intensity of the in situ generated phase also increases. According to the previous study, in situ phases not only have smaller grain sizes but also reduce the formation of the coarse second phases, such as Al4C3 [34]. In this work, in situ phases and a small amount of Al4C3 are generated in the AMCs. On the one hand, submicron TiO2 is more likely to react with lamellar g-C3N4 having a large surface area and containing functional groups. On the other hand, the lower reaction temperature and SPD reduce the generation of coarse harmful phases during FSP.
3.3. Mechanical Properties
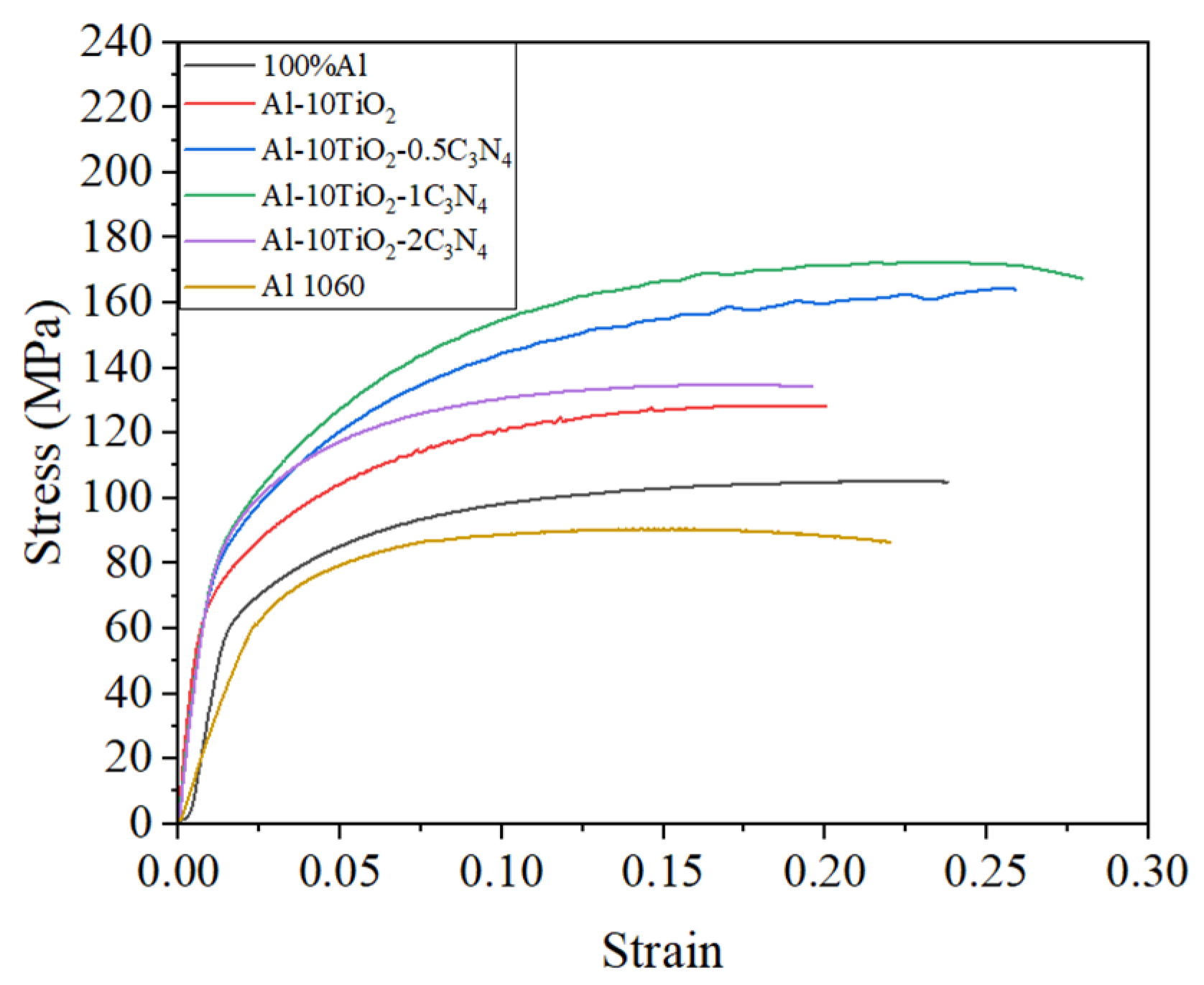
In this study, the ultimate tensile strength was one of the measures of the mechanical properties of AMCs. The strengthening mechanisms are due to the effect of processing and the presence of the reinforcements and substructure. Necking is caused by the inherent plastic instability of Al. The addition of reinforcement reduces the tendency for necking during deformation. Figure 20 illustrates stress–strain curves of Al, Al-10TiO2, and AMCs reinforced by the different content of g-C3N4. The specific tensile characteristic values are also shown in Table 3.
Figure 20.
Tensile curves of Al 1060 and AMCs.
Table 3.
Tensile mechanical properties of base metal and AMCs.
As for the ultimate tensile stress, hybrid reinforcement containing 0.5, 1, and 2 wt% g-C3N4 increased by 27.9%, 34.2%, and 4.8% compared to AMCs reinforced by TiO2, respectively. The elongation also increases by 34.7%, 22.1%, and −5.3% respectively. The increase of both UTS and ductility is attributed to the grain refinement caused by processing and reinforcement. In regard to AMCs without reinforcement, not only does dislocation density decrease but also the grain refines after FSP (Figure 13) [19]. Moreover, the high hardness of reinforcement is sufficient to absorb and disperse loads, preventing crack propagation. Combined with the previous article, metal oxides are prone to react with the substrate to form good interfacial bonding and microstructure modification during FSP, especially for submicron particles [5]. For the composite reinforced by TiO2, the superimposed effects of FSP (grain refinement) and submicron-TiO2 (Orowan strengthening) give rise to a more remarkable increase in strength and a corresponding decrease in overall ductility.
In this study, the AMCs containing g-C3N4 show higher ultimate tensile strength because TiO2 is more prone to react with layered g-C3N4 and form small in situ phases. Compared to other samples, Al-10TiO2-1C3N4 exhibited a better balance between tensile strength (172.5 MPa) and ductility (23.2%). Furthermore, the tensile strength first increases and then decreases with the increasing content of g-C3N4, as excessive content can lead to reinforcement agglomeration. In this study, the noteworthy increase in the UTS of AMCs reinforced by g-C3N4 is 21.8% compared to graphite obtained by Mohammad et al. [19]. The enhancement of tensile strength in AMCs reinforced by hybrid reinforcement can be attributed to the uniform dispersion of TiO2 and fine in situ phases.
Generally, strengthening mechanisms in the AMCs include the following: grain refinement strengthening, Orowan strengthening, and load transfer strengthening between the reinforcing particles and the matrix [35,36,37].
One of the strengthening mechanisms can be attributed to grain refinement strengthening. Grain refinement is related to FSP and reinforcement. On the one hand, intense shear can lead to grain fracture and recrystallization during the FSP to reduce grain size. Therefore, AMCs without reinforcement show higher strength than the base metal. On the other hand, reinforcement can form effective barriers to limit the growth and migration of grains. In addition, enhancing particles can provide more nucleation sites, resulting in smaller and more uniform grain size distribution. In addition, notable grain refinement and strength enhancement are observed in Al-10TiO2 and Al-10TiO2-MC3N4 (Figure 13a and Figure 14), compared to AMC without reinforcement.
Moreover, the addition of g-C3N4 combined with the processing effectively improves the dispersibility of TiO2 to promote the strengthening effect of TiO2, which results in an additional increase in the mechanical properties.
The load transfer strengthening mechanism usually plays a role in AMCs. The reinforcement, such as particles or fibers dispersed in the matrix, is utilized to withstand the transmitted load. The transfer of shearing stress is from the matrix to the reinforcement toward the interfaces. The reinforcement has higher mechanical properties to withstand more shear forces, thereby improving the mechanical properties of AMCs. The strengthening effect primarily relies on factors such as the bonding interface, the volume fraction, and the dispersion combined with the properties of reinforcement. Therefore, the ability to bind is crucial to load transfer and further affects the efficiency of load transfer strengthening. The effective interfacial bonding among the Al and submicron particles permits a smooth transfer of load to the particles. During the LSBM, g-C3N4 was stripped into a few layers. Then, TiO2 submicron particles are attached to the surfaces of two-dimensional g-C3N4 nanoplates and form an integrated two-dimensional nanohybrid structure in the high-speed stage. Increasing interfacial bonding is an effective way to enhance the load transfer between reinforcements and the base metal [37]. The attachment of TiO2 to the surface of g-C3N4 promotes the bonding strength between g-C3N4 and the Al matrix simultaneously. TiO2 distributed on the surface of g-C3N4 can act as a pin to attach g-C3N4 to the Al matrix strongly. And then, the synergetic effect of g-C3N4 and TiO2 submicron particles in an integrated nanostructure can increase the YS and UTS remarkably. According to the SEM and EDS of the microstructure in Figure 17, uniform dispersion of hybrid reinforcement is detected in the Al-10TiO2-1C3N4. The microstructure coincides with the result of the tensile curve.
Furthermore, the Orowan strengthening mechanism is based on the dislocation loops around the reinforcement. The coefficients of thermal expansion (CTE) variance between the Al and TiO2 particles create a high density of dislocations around the reinforcing particles [38]. The heat involved in the expansion and contraction of both is different. Hence, a large number of dislocations are created due to thermal mismatch. According to the Orowan strengthening mechanism, the mutual obstruction and interaction of the dislocations will increase the resistance of dislocation movement, leading to the efficacious increase of the matrix strength. The contribution of the Orowan strengthening increases with the decreasing size and increasing volume fraction of the submicron-scaled reinforcements [39]. Based on the Orowan mechanism, a homogeneous dispersion of reinforcement (TiO2 and g-C3N4) in the mixture forms the perfect structure in the base metal, restricting the movements of dislocations in the matrix.
Fracture failure mechanisms were also studied after the tensile test. The fracture morphologies of all the samples are shown in Figure 21. Both the Al and AMC reinforced and without reinforcement show a ductile fracture. Small dimples surrounding larger dimples are observed. Compared to the base metal, the enhancement of strength causes the disappearance of large pores and shallower dimples (Figure 21b), which is due to the grain refinement after FSP. Al-10TiO2 (Figure 21c) shows a network of shallow dimples and cleavage surfaces. The fracture surfaces exhibited a combination of ductile–brittle fracture modes. Compared to the previous study, no large empty pockets caused by clusters of TiO2 have been observed in the fracture morphology, which is related to the dispersion effect of ball milling and FSP [7]. In the case of the Al-10TiO2-0.5C3N4, most of the dimples become smaller and deeper and contain fractured particles. The phenomenon indicates good interfacial bonding with the matrix, which relates to the enhancement of strength and ductility. As for Al-10TiO2-1C3N4 (Figure 21e), the dimples further become smaller and deeper. The strength and plasticity have reached a balance, and the mechanical properties have reached their optimal level. The above changes in fracture morphology indicate effective dispersibility by g-C3N4, which is consistent with the tensile mechanical properties in Table 3. However, when the content is above 1 wt%, the dispersion effect of g-C3N4 deteriorates. The feature of the ductile mode of the fracture gradually disappears. The change in fracture morphology is consistent with the tensile results.
Figure 21.
The fracture morphology of (a) Al 1060, AMC reinforced by (b) Al powder, (c) 10 wt%TiO2 and hybrid reinforcement containing (d) 0.5, (e) 1, and (f) 2 wt%g-C3N4, respectively.
In general, the addition of reinforcement always transits from the ductile fracture to the ductile and cleavage mixed fracture or even to a cleavage fracture. Therefore, with the introduction of lamellar g-C3N4, the dimples gradually shrink and distribute more uniformly (Figure 21d,e). The fracture surface of the Al-10TiO2-0.5 and 1C3N4 is characterized by an abundance of dimples, signifying a ductile fracture mode. As the content of g-C3N4 increases, these dimples exhibit a trend toward greater uniformity and reduced size. The evolution of fracture morphology is consistent with the tensile results. When the content of g-C3N4 is above 1 wt%, cleavage fracture tends to increase. Figure 21f shows the cleavage fracture surface of the Al-10TiO2-2C3N4. The cluster of g-C3N4 only appears at 2% (white arrow in Figure 14c), which may relate to the reduction in tensile strength. The phenomenon may be due to the tendency for particle agglomeration. The aggregation of reinforcement is conducive to crack germination and progression, which promotes the transition of cleavage fracture. Overall, the lower ductility of Al-10TiO2 relates to the agglomeration of submicron TiO2 (Figure 13a). An excessive content of g-C3N4 may also reduce the mechanical properties due to particle aggregation.
To assess the hardness variation in the SZ and surrounding regions, micro-Vickers tests were performed from the centerline of FSP outward with a 1 mm distance between two test points within a range of 6 mm from the axis. The schematic diagram of the hardness test and the hardness curves of each region are shown in Figure 22. Compared with the substrate, the hardness value exhibits a slight increase in the heat-affected zone (HAZ) and TMAZ at both the advancing and retreating sides adjacent to the weld nugget. The increase in hardness is attributed to the strengthening mechanism and higher mechanical properties of the particles. SZ showed the highest hardness in the cross-section due to a higher dislocation density, more SPD effect, and sufficient reinforcement in comparison to the other zones.
Figure 22.
Schematic representations of the hardness test and the microhardness profile of Al 1060, AMC reinforced by Al powder, 10 wt%TiO2, and hybrid reinforcement containing 0.5, 1, and 2 wt%g-C3N4, respectively.
Consistent with the results of the tensile tests, the hardness of the base metal and the composites increases after FSP. Regarding the AMCs reinforced by pure Al, the improvement in hardness is mainly attributed to the grain refinement in Figure 13a. As compared to AMCs without reinforcement, AMCs reinforced by TiO2 and hybrid reinforcement with 0.5, 1, and 2% g-C3N4 show 35%, 50.2%, 60.2%, and 35% increases in hardness. The increase in hardness in Al-10TiO2 is attributed to the addition of high-mechanical-property TiO2. Submicron TiO2 can enhance the dislocation density, inhibit the dislocation motion to improve the mechanical properties, and modify the microstructure significantly (see Figure 13b). As for AMCs reinforced by hybrid reinforcement, an in situ reaction occurred, which has led to the formation of reinforcing phases dispersed in the stir zone. The optimized amount of the lamellar g-C3N4 provides adhesion for submicron TiO2 to reduce the agglomerations. The uniform distribution of TiO2 ensures enhancement mechanisms are exerted, thereby promoting the hardness of the composite.
Based on the recent literature, Al3Ti particles and in situ phases can be formed during the BM combined with FSP [9]. The mechanism of formation can be attributed to sufficient activation energy provided by impaction and friction during BM. Afterward, these phases are dispersed uniformly into the matrix via FSP to increase the hardness. G-C3N4 has more active functional groups than graphite, which can react with TiO2 efficaciously. The optimized amount of the peeled g-C3N4 can distribute in the base metal uniformly and promote TiO2 adhering to its surface to inhibit agglomerations. The uniform distribution of TiO2 disperses stress effectively to promote the hardness of the composite. Moreover, the in situ phases (such as TiN) shown in XRD often exhibit high mechanical properties and improve interfacial bonding.
Moreover, the high hardness of reinforcement is sufficient to absorb and disperse loads to prevent crack propagation. Combined with the previous research, metal oxides are prone to react with the substrate to form good interfacial bonding during FSP, especially for nanoparticles [5]. In this study, the AMCs with reinforcement show higher UTS and hardness than AMCs without reinforcement because both TiO2 and g-C3N4 are prone to react during ball milling and FSP.
4. Conclusions
In this study, the effect of different contents of g-C3N4 synthesized from urea in AMCs has been investigated. SSBM associated with multi-pass FSP is utilized to reinforce Al 1060 by 10 wt% submicron TiO2 and various contents of g-C3N4, which exhibits efficiency to disperse particles and promote an in situ reaction.
Owing to the addition of submicron TiO2 and SPD caused by FSP, the effective grain refinement was shown in SZ. The homogeneous distribution of TiO2 is helpful to change the microstructure toward a particle-excited nucleus.
According to the study, TiO2 adheres tightly to the surface of a few layers of g-C3N4 via a reaction of the functional group and van der Waals force combined with ball milling, promoting the uniform dispersion of TiO2, which facilitates in situ reactions during FSP. The homogeneous distribution is in favor of the strengthening mechanism at work. In addition, in situ phases have smaller grain sizes and reduce the formation of the coarse second phases, such as Al3Ti and Al4C3. A smaller grain size exhibited in AMCs might be due to the simultaneous effects of the grain boundary pinning and dynamic recrystallization. Meanwhile, g-C3N4 improved the dispersion of TiO2 to increase the nucleation sites.
The UTS, ductility, and hardness showed 34, 22, and 25.2% improvements in Al-10TiO2-1C3N4 compared to Al-10TiO2, respectively. Grain refinement and Orowan strengthening are the main strengthening mechanisms. The tensile strength and hardness increase first and then decrease with the content of g-C3N4 above 1 wt%, which may be related to agglomeration. And the elongation is the opposite. The fracture surfaces revealed a network of well-developed dimples, which suggested a ductile mode of failure.
In addition to improving the mechanical properties, AMCs reinforced by TiO2 combined with g-C3N4 show promising prospects in the manufacture of durable and reliable structural components. Further research is also needed on conductivity and photocatalysis. Further research is needed to optimize the properties of these materials and develop cost-effective manufacturing processes.
Author Contributions
Conceptualization, C.W. and X.Z.; methodology, C.W. and K.Z.; formal analysis, C.L., J.Z., X.X. and C.J.; investigation, C.W., K.Z. and J.Z.; resources, Z.S.; data curation, X.X. and C.L.; writing—original draft, C.W.; writing—review and editing, X.Z. and J.L.; visualization, Z.S., J.L. and C.J.; supervision, X.Z. and J.L.; project administration, X.Z. and J.L.; funding acquisition, X.Z., J.L. and J.Z.; All authors have read and agreed to the published version of the manuscript.
Funding
Science and Technology Agency of Jilin Province: Science and Technology Development Projects of Jilin Province (No. 20240101143JC and No. 20230405033RC), Jilin Province Development and Reform Commission (No. 2024C010-7) and Jilin University: the Graduate Innovation Fund of Jilin University (No. 2024CX217).
Institutional Review Board Statement
Not applicable.
Informed Consent Statement
Not applicable.
Data Availability Statement
The original contributions presented in this study are included in the article. Further inquiries can be directed to the corresponding authors.
Acknowledgments
Our special thanks are due to Lufei Xi for her valuable help in testing guidance.
Conflicts of Interest
The authors declare no conflicts of interest.
References
- Guan, R.-G.; Tie, D. A Review on Grain Refinement of Aluminum Alloys: Progresses, Challenges and Prospects. Acta Metall. Sin. (Engl. Lett.) 2017, 30, 409–432. [Google Scholar] [CrossRef]
- Ravichandran, M.; Sait, A.N.; Anandakrishnan, V. Effect of TiO2 in Aluminum Matrix on Workability Behavior of Powder Metallurgy Composites during Cold Upsetting. Int. J. Mater. Res. 2014, 105, 358–364. [Google Scholar] [CrossRef]
- Khalkho, J.S.; Chevuri, S.V.; Dagarapu, B.K. Evaluation of Microstructure and Mechanical Properties of TiO2 Reinforced Aluminium Composites Developed Through Multi-Step Stir Casting. Inter. Metalcast. 2023, 17, 272–283. [Google Scholar] [CrossRef]
- Ghasali, E.; Alizadeh, M.; Ebadzadeh, T. TiO2 Ceramic Particles-Reinforced Aluminum Matrix Composite Prepared by Conventional, Microwave, and Spark Plasma Sintering. J. Compos. Mater. 2018, 52, 2609–2619. [Google Scholar] [CrossRef]
- Zhang, Q.; Xiao, B.L.; Wang, Q.Z.; Ma, Z.Y. In Situ Al3Ti and Al2O3 Nanoparticles Reinforced Al Composites Produced by Friction Stir Processing in an Al-TiO2 System. Mater. Lett. 2011, 65, 2070–2072. [Google Scholar] [CrossRef]
- Gudla, V.C.; Jensen, F.; Simar, A.; Shabadi, R.; Ambat, R. Friction Stir Processed Al–TiO2 Surface Composites: Anodising Behaviour and Optical Appearance. Appl. Surf. Sci. 2015, 324, 554–562. [Google Scholar] [CrossRef]
- Abraham, S.J.; Dinaharan, I.; Selvam, J.D.R.; Akinlabi, E.T. Microstructural Characterization and Tensile Behavior of Rutile (TiO2)-Reinforced AA6063 Aluminum Matrix Composites Prepared by Friction Stir Processing. Acta Metall. Sin. (Engl. Lett.) 2019, 32, 52–62. [Google Scholar] [CrossRef]
- Ghazanlou, S.I.; Ghazanlou, S.I.; Ghazanlou, S.I.; Hosseinpour, S.; Liao, Y.; Javidani, M. Improving the Properties of an Al Matrix Composite Fabricated by Laser Powder Bed Fusion Using Graphene–TiO2 Nanohybrid. J. Alloys Compd. 2023, 938, 168596. [Google Scholar] [CrossRef]
- Beygi, R.; Mehrizi, M.Z.; Eisaabadi, B.G. Friction Stir Processing of Al with Mechanically Alloyed Al-TiO2-Graphite Powder: Microstructure and Mechanical Properties. J. Mater. Eng. Perform. 2017, 26, 1455–1462. [Google Scholar] [CrossRef]
- Saba, F.; Chen, M.; Ziaei, H.; Fan, G.; Tan, Z.; Li, Z. Fabrication of High-Content Hybrid-Reinforced Al Nanocomposites by in-Situ Reaction of TiO2-Decorated CNTs and Matrix. Diam. Relat. Mater. 2023, 138, 110228. [Google Scholar] [CrossRef]
- Zhang, Q.; Xiang, X.; Ge, Y.; Yang, C.; Zhang, B.; Deng, K. Selectivity Enhancement in the G-C3N4-Catalyzed Conversion of Glucose to Gluconic Acid and Glucaric Acid by Modification of Cobalt Thioporphyrazine. J. Catal. 2020, 388, 11–19. [Google Scholar] [CrossRef]
- Cai, B.; Feng, J.; Guo, D.; Wang, S.; Ma, T.; Eberhardt, T.L.; Pan, H. Highly Efficient Isomerization of Glucose to Fructose over a Novel Aluminum Doped Graphitic Carbon Nitride Bifunctional Catalyst. J. Clean. Prod. 2022, 346, 131144. [Google Scholar] [CrossRef]
- Ostovan, F.; Matori, K.; Toozandehjani, M.; Oskoueian, A.; Yusoff, H.; Yunus, R.; Mohamed Ariff, A. Nanomechanical Behavior of Multi-Walled Carbon Nanotubes Particulate Reinforced Aluminum Nanocomposites Prepared by Ball Milling. Materials 2016, 9, 140. [Google Scholar] [CrossRef] [PubMed]
- Aborkin, A.; Khorkov, K.; Prusov, E.; Ob’edkov, A.; Kremlev, K.; Perezhogin, I.; Alymov, M. Effect of Increasing the Strength of Aluminum Matrix Nanocomposites Reinforced with Microadditions of Multiwalled Carbon Nanotubes Coated with TiC Nanoparticles. Nanomaterials 2019, 9, 1596. [Google Scholar] [CrossRef] [PubMed]
- Bastwros, M.; Kim, G.-Y.; Zhu, C.; Zhang, K.; Wang, S. Effect of Mechanical Alloying on Al6061-Graphene Composite Fabricated by Semi-Solid Powder Processing. In Volume 2: Systems; Micro and Nano Technologies; Sustainable Manufacturing; American Society of Mechanical Engineers: Madison, WI, USA, 2013; p. V002T03A001. [Google Scholar] [CrossRef]
- Wang, Y.; Zhu, Y.; Li, R.; Liu, H.; Liu, W.; He, P. High-Performance Aluminum-Based Matrix Composites Reinforced with High Content of Boron Nitride Nanosheets. J. Alloys Compd. 2022, 906, 164358. [Google Scholar] [CrossRef]
- Sharma, P.; Sarngan, P.P.; Lakshmanan, A.; Sarkar, D. One-Step Synthesis of Highly Reactive g-C3N4. J. Mater. Sci Mater. Electron. 2022, 33, 9116–9125. [Google Scholar] [CrossRef]
- Wang, C.; Zhu, X.; Fan, Y.; Liu, J.; Xie, L.; Jiang, C.; Xiao, X.; Wu, P.; You, X. Microstructure and Properties of Aluminum–Graphene–SiC Matrix Composites after Friction Stir Processing. Materials 2024, 17, 979. [Google Scholar] [CrossRef]
- Farshbaf Ahmadipour, M.; Movahedi, M.; Kokabi, A.H. Microstructural Evaluation and Mechanical Properties of Al1050/TiO2-Graphite Hybrid Nanocomposite Produced Via Friction Stir Processing. Metall. Mater. Trans. A 2019, 50, 2443–2461. [Google Scholar] [CrossRef]
- Xing, W.; Zhang, Y.; Zou, J.; Zhang, T.; Liu, C.; Wu, G.; Chen, G. Sulfur-Doped 2D/3D Carbon Nitride-Based van Der Waals Homojunction with Superior Photocatalytic Hydrogen Evolution and Wastewater Purification. Int. J. Hydrog. Energy 2022, 47, 12559–12568. [Google Scholar] [CrossRef]
- Jiang, Y.; Tan, Z.; Xu, R.; Fan, G.; Xiong, D.-B.; Guo, Q.; Su, Y.; Li, Z.; Zhang, D. Tailoring the Structure and Mechanical Properties of Graphene Nanosheet/Aluminum Composites by Flake Powder Metallurgy via Shift-Speed Ball Milling. Compos. Part A Appl. Sci. Manuf. 2018, 111, 73–82. [Google Scholar] [CrossRef]
- Almotairy, S.M.; Boostani, A.F.; Hassani, M.; Wei, D.; Jiang, Z.Y. Effect of Hot Isostatic Pressing on the Mechanical Properties of Aluminium Metal Matrix Nanocomposites Produced by Dual Speed Ball Milling. J. Mater. Res. Technol. 2020, 9, 1151–1161. [Google Scholar] [CrossRef]
- Zhou, J.; Zhang, M.; Zhu, Y. Photocatalytic Enhancement of Hybrid C3N4/TiO2 Prepared via Ball Milling Method. Phys. Chem. Chem. Phys. 2015, 17, 3647–3652. [Google Scholar] [CrossRef] [PubMed]
- Patil, S.L. The G-C3N4-TiO2 Nanocomposite for Non-Volatile Memory and Artificial Synaptic Device Applications. J. Alloys Compd. 2023, 962, 171024. [Google Scholar] [CrossRef]
- Ren, Z.; Wang, C.; Du, Z.; Guo, E.; Chen, Z.; Du, G.; Kang, H.; Wang, T. Regulating the Mechanical Properties of (Μm B4C+nm SiC)/7075Al Composites via Nano-SiC Content. Vacuum 2024, 228, 113535. [Google Scholar] [CrossRef]
- Malopheyev, S.S.; Zuiko, I.S.; Mironov, S.Y.; Kaibyshev, R.O. Microstructural Aspects of the Fabrication of Al/Al2O3 Composite by Friction Stir Processing. Materials 2023, 16, 2898. [Google Scholar] [CrossRef]
- Sun, K.; Kai, X.; Du, C.; Gao, X.; Peng, Q.; Wang, T.; Zhao, Y. Influence of ZrB2 and Al2O3 Nanoparticles on Microstructure and Mechanical Property of Friction Stir Welded Joints of In-Situ 7085Al Matrix Composites. J. Mater. Process. Technol. 2024, 326, 118323. [Google Scholar] [CrossRef]
- Abraham, S.J.; Dinaharan, I.; Raja Selvam, J.D.; Akinlabi, E.T. Microstructural Characterization of Vanadium Particles Reinforced AA6063 Aluminum Matrix Composites via Friction Stir Processing with Improved Tensile Strength and Appreciable Ductility. Compos. Commun. 2019, 12, 54–58. [Google Scholar] [CrossRef]
- Basak, S.; Yoo, H.-G.; Anaman, S.Y.; Guha, P.; Kwon, D.-H.; Shin, E.-J.; Hong, S.-T.; Cho, H.-H. Strength-Ductility Synergy in a Graphene Oxide Reinforced Aluminum Matrix Composite Made by Friction Stir Processing. J. Alloys Compd. 2024, 976, 173344. [Google Scholar] [CrossRef]
- Madhu, H.C.; Ajay Kumar, P.; Perugu, C.S.; Kailas, S.V. Microstructure and Mechanical Properties of Friction Stir Process Derived Al-TiO2 Nanocomposite. J. Mater. Eng. Perform. 2018, 27, 1318–1326. [Google Scholar] [CrossRef]
- Khodabakhshi, F.; Gerlich, A.P. Potentials and Strategies of Solid-State Additive Friction-Stir Manufacturing Technology: A Critical Review. J. Manuf. Process. 2018, 36, 77–92. [Google Scholar] [CrossRef]
- Moustafa, E.B.; Mikhaylovskaya, A.V.; Taha, M.A.; Mosleh, A.O. Improvement of the Microstructure and Mechanical Properties by Hybridizing the Surface of AA7075 by Hexagonal Boron Nitride with Carbide Particles Using the FSP Process. J. Mater. Res. Technol. 2022, 17, 1986–1999. [Google Scholar] [CrossRef]
- Moradi, M.M.; Jamshidi Aval, H.; Jamaati, R.; Amirkhanlou, S.; Ji, S. Effect of SiC Nanoparticles on the Microstructure and Texture of Friction Stir Welded AA2024/AA6061. Mater. Charact. 2019, 152, 169–179. [Google Scholar] [CrossRef]
- Xia, Y.; Cui, C.; Han, B.; Geng, H.; Liu, L. Preparation of in Situ TiC@TiN Core–Shell and Ti2N–Al4C3 Nanoparticles and Their Effects on Al–Zn–Mg–Cu Alloy. J. Mater. Sci. 2021, 56, 17011–17027. [Google Scholar] [CrossRef]
- Bahrami, M.; Besharati Givi, M.K.; Dehghani, K.; Parvin, N. On the Role of Pin Geometry in Microstructure and Mechanical Properties of AA7075/SiC Nano-Composite Fabricated by Friction Stir Welding Technique. Mater. Des. 2014, 53, 519–527. [Google Scholar] [CrossRef]
- Akbari, M.; Asadi, P.; Zolghadr, P.; Khalkhali, A. Multicriteria Optimization of Mechanical Properties of Aluminum Composites Reinforced with Different Reinforcing Particles Type. Proc. Inst. Mech. Eng. Part E J. Process Mech. Eng. 2018, 232, 323–337. [Google Scholar] [CrossRef]
- Khare, M.; Gupta, R.K.; Ghosh, S.S.; Bhardwaj, B. Effect of Reinforcements (B4C & Al2O3) and Rotational Speed on Tribological Properties of Aluminum Alloy 7075 Hybrid Composites through Friction Stir Processing. In Proceedings of the AIP Conference Proceedings, Jaipur, India, 8–9 March 2019; p. 030008. [Google Scholar] [CrossRef]
- Ramkumar, K.R.; Natarajan, S. Tensile Properties and Strengthening Effects of Al 3003 Alloy Weldment Reinforced with TiO2 Nanoparticles. Compos. Part B Eng. 2019, 175, 107159. [Google Scholar] [CrossRef]
- Zhang, Z.; Chen, D.L. Contribution of Orowan Strengthening Effect in Particulate-Reinforced Metal Matrix Nanocomposites. Mater. Sci. Eng. A 2008, 483–484, 148–152. [Google Scholar] [CrossRef]
Disclaimer/Publisher’s Note: The statements, opinions and data contained in all publications are solely those of the individual author(s) and contributor(s) and not of MDPI and/or the editor(s). MDPI and/or the editor(s) disclaim responsibility for any injury to people or property resulting from any ideas, methods, instructions or products referred to in the content. |
© 2025 by the authors. Licensee MDPI, Basel, Switzerland. This article is an open access article distributed under the terms and conditions of the Creative Commons Attribution (CC BY) license (https://creativecommons.org/licenses/by/4.0/).





















