Microstructural Evolution and Subsequent Mechanical Properties of Ti65 Titanium Alloy during Long-Term Thermal Exposure
Abstract
1. Introduction
2. Materials and Methods
3. Results and Discussion
3.1. Initial Structure
3.2. Microstructural Evolution
3.3. Silicide Precipitation
3.4. Ordered α2 Precipitation
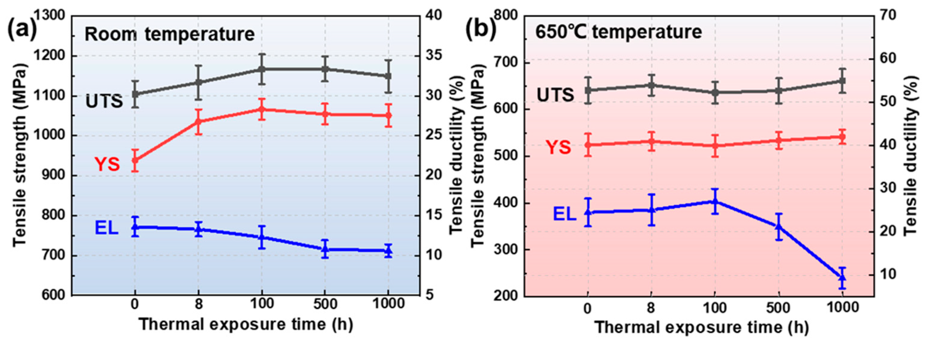
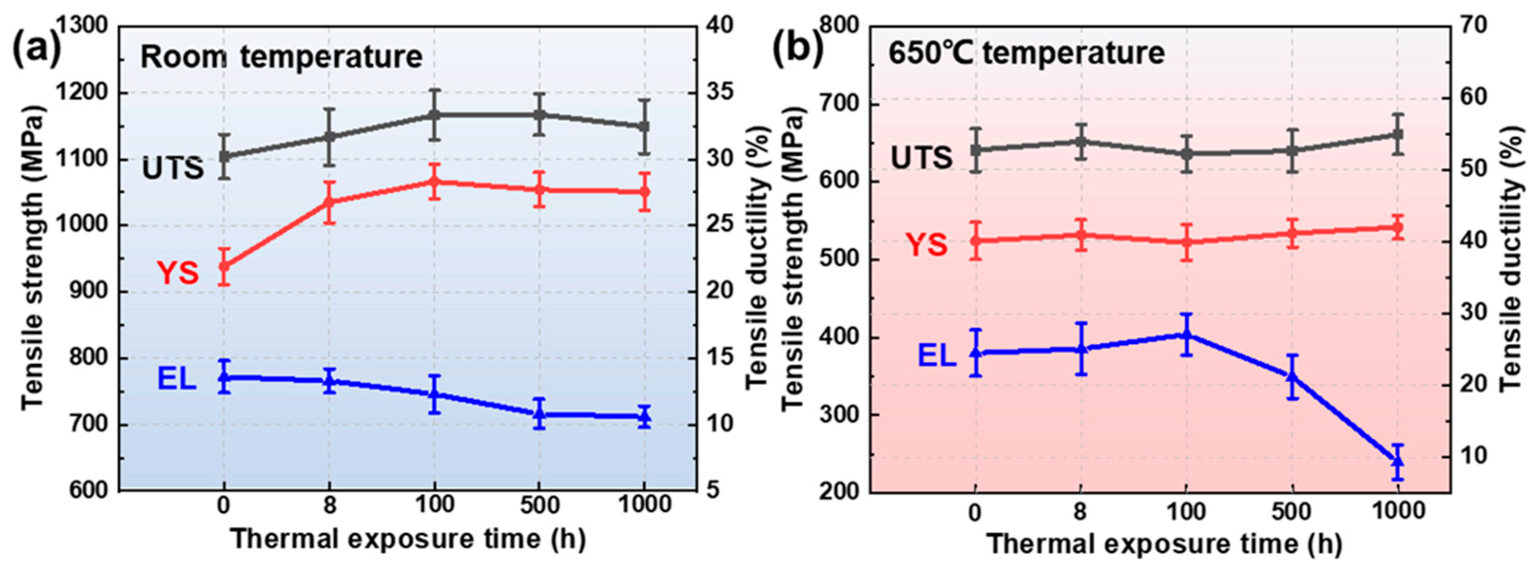
3.5. Mechanical Property
4. Conclusions
- After solid solution and aging heat treatment of Ti65 alloy, the initial lamellae microstructure contains precipitated (Ti, Zr)6Si3 silicides at the α/β phase boundary, as well as diffusely precipitated α2 ordered phases within the matrix. The dual-phase precipitation strengthening resulted in the initial state Ti65 alloy exhibiting favorable room temperature properties (YS = 928 MPa, UTS = 1083 MPa, EI = 13.6%), as well as good high-temperature properties (YS = 524 MPa, UTS = 641 MPa, EI = 24.5%).
- (Ti, Zr)6Si3 silicides initially precipitate in the residual β-film between the α platelets, and the size and density increase with prolonged thermal exposure. After 500 h, the size and density of silicides at the α/β interface tend to stabilize. Simultaneously, the precipitation location of the elliptical silicides changes, initiating precipitation within the α platelets, with the size and quantity continuing to increase with the extension of the thermal exposure time. The precipitation and growth of silicides are controlled by the diffusion of the alloying elements.
- After thermal exposure at 650 °C, a large number of spherical α2 ordered phases were precipitated within the α matrix. The α2 ordered phases remained spherical but exhibited considerable coarsening as the thermal exposure time increased. Following 1000 h of thermal exposure, the α2 phase underwent Oswald ripening, resulting in a decrease in number density.
- The effect of thermal exposure on the mechanical properties of Ti65 alloy is closely related to the precipitation behavior of silicides and α2 ordered phase. With the increase in thermal exposure time, the precipitation of silicides and α2 ordered phases increases the room temperature strength and decreases the ductility. After prolonged thermal exposure, the room temperature ductility is slightly restored due to the decrease in α2 phase density within the α matrix.
Author Contributions
Funding
Data Availability Statement
Conflicts of Interest
References
- Banerjee, D.; Williams, J. Perspectives on titanium science and technology. Acta Mater. 2013, 61, 844–879. [Google Scholar] [CrossRef]
- Boyer, R.R. An overview on the use of titanium in the aerospace industry. Mater. Sci. Eng. A 1996, 213, 103–114. [Google Scholar] [CrossRef]
- Zhao, Q.Y.; Sun, Q.Y.; Xin, S.W.; Chen, Y.N.; Wu, C.; Wang, H.; Xu, J.W.; Wan, M.P.; Zeng, W.D.; Zhao, Y.Q. High-strength titanium alloys for aerospace engineering applications: A review on melting-forging process. Mater. Sci. Eng. A 2022, 845, 143260. [Google Scholar] [CrossRef]
- Gogia, A. High-temperature titanium alloys. Def. Sci. J. 2005, 55, 149–173. [Google Scholar] [CrossRef]
- Cai, J.M.; Mi, G.B.; Gao, F.; Huang, H.; Cao, J.X.; Huang, X.; Cao, C.X. Research and development of some advanced high temperature titanium alloys for aero-engine. J. Mater. Eng. 2016, 44, 1–10. [Google Scholar]
- Es-Souni, M. Creep deformation behavior of three high-temperature near α-Ti alloys: IMI 834, IMI 829, and IMI 685. Metall. Mater. Trans. A 2001, 32, 285–293. [Google Scholar] [CrossRef]
- Es-Souni, M. Primary, secondary and anelastic creep of a high temperature near α-Ti alloy Ti6242Si. Mater. Charact. 2000, 45, 153–164. [Google Scholar] [CrossRef]
- Niu, Y.; Hou, H.L.; Li, M.Q.; Li, Z.Q. High temperature deformation behavior of a near alpha Ti600 titanium alloy. Mater. Sci. Eng. A 2008, 492, 24–28. [Google Scholar] [CrossRef]
- Woodfield, A.; Postans, P.; Loretto, M.; Smallman, R. The effect of long-term high temperature exposure on the structure and properties of the titanium alloy Ti-5331S. Acta Metall. 1988, 36, 507–515. [Google Scholar] [CrossRef]
- Zhang, W.J.; Song, X.Y.; Hui, S.X.; Ye, W.J.; Wang, Y.L.; Wang, W.Q. Tensile behavior at 700 °C in Ti–Al–Sn–Zr–Mo–Nb–W–Si alloy with a bi-modal microstructure. Mater. Sci. Eng. A 2014, 595, 159–164. [Google Scholar] [CrossRef]
- Li, J.; Xu, Y.Q.; Xiao, W.L.; Ma, C.L.; Huang, X. Development of Ti-Al-Ta-Nb-(Re) near-α high temperature titanium alloy: Microstructure, thermal stability and mechanical properties. J. Mater. Sci. Technol. 2022, 109, 1–11. [Google Scholar] [CrossRef]
- Zhang, S.Z.; Li, G.P.; Wang, Q.; Liu, Y.Y.; Yang, R. Effect of carbon on upper (α + β) phase field of Ti-5.6 Al-4.8 Sn-2.0 Zr-1Mo-0.34 Si-0.7 Nd titanium alloy. Mater. Sci. J. 2013, 20, 167–172. [Google Scholar]
- Ma, X.Z.; Chen, Z.Y.; Xiang, Z.L.; Zhang, S.W.; Liu, Y.Y.; Ding, X.X. Influence of quenching plus aging on microstructures and mechanical properties evolutions for Ti-Al-Sn-Zr-Mo-Si-Nb-Ta-Er-C near-α high temperature titanium alloys. Mater. Today Commun. 2024, 38, 108457. [Google Scholar] [CrossRef]
- Koike, J.; Egashira, K.; Maruyama, K.; Oikawa, H. High temperature strength of α TiAl alloys with a locally ordered structure. Mater. Sci. Eng. A 1996, 213, 98–102. [Google Scholar] [CrossRef]
- Yue, K.; Liu, J.; Zhang, H.; Yu, H.; Song, Y.; Hu, Q.; Wang, Q.; Yang, R. Precipitates and alloying elements distribution in near α titanium alloy Ti65. J. Mater. Sci. Technol. 2020, 36, 91–96. [Google Scholar] [CrossRef]
- Liu, X.H.; Zhang, X.Y.; Du, Y.X.; Li, S.Q.; Chen, H.S.; Li, K.E.; Zhao, D.X.; Chen, W. Insights into microstructural stability and embrittlement of TC25 high temperature titanium alloy subjected to thermal exposure. Mater. Charact. 2024, 210, 113820. [Google Scholar] [CrossRef]
- Sun, F.; Li, J.; Kou, H.; Tang, B.; Cai, J. Nano-precipitation and tensile properties of Ti60 alloy after exposure at 550 °C and 650 °C. Mater. Sci. Eng. A 2015, 626, 247–253. [Google Scholar] [CrossRef]
- Zhang, J.; Li, D. Preferred precipitation of ordered α2 phase at dislocations and boundaries in near-α titanium alloys. Mater. Sci. Eng. A 2003, 341, 229–235. [Google Scholar] [CrossRef]
- Ramachandra, C.; Singh, V. Silicide precipitation in alloy Ti-6Al-5Zr-0.5Mo-0.25Si. Metall. Trans. A 1982, 13, 771–775. [Google Scholar] [CrossRef]
- Zhong, X.Y.; Deng, T.S.; Xiao, W.L.; Liu, X.C.; Liu, Z.; Yang, Y.C.; Olanrewaju, A.O. Improving thermal stability and creep resistance by Sc addition in near-α high-temperature titanium alloy. J. Mater. Sci. Technol. 2024, 183, 1–11. [Google Scholar] [CrossRef]
- Zhao, E.; Sun, S.C.; Zhang, Y. Recent advances in silicon containing high temperature titanium alloys. J. Mater. Sci. Technol. 2021, 14, 3029–3042. [Google Scholar] [CrossRef]
- GB/T 228.1-2010; Metallic Materials-Tensile Testing-Part 1: Method of Test at Room Temperature. China Standards Press: Beijing, China, 2010.
- GB/T 4338-2006; Metallic Materials―Tensile Testing at Elevated Temperature. China Standards Press: Beijing, China, 2006.
- Singh, A.; Ramachandra, C. Characterization of silicides in high-temperature titanium alloys. J. Mater. Sci. 1997, 32, 229–234. [Google Scholar] [CrossRef]
- Sun, S.; Zhao, E.; Hu, C.; An, Y.; Chen, W. Precipitation behavior of silicide and synergetic strengthening mechanisms in TiB-reinforced high-temperature titanium matrix composites during multi-directional forging. J. Alloys Compd. 2021, 867, 159051. [Google Scholar] [CrossRef]
- Flower, H.; Swann, P.; West, D. Silicide precipitation in the Ti-Zr-Al-Si system. Metall. Mater. Trans. B 1971, 2, 3289–3297. [Google Scholar] [CrossRef]
- Pilchak, A.; Porter, W.; John, R. Room temperature fracture processes of a near-α titanium alloy following elevated temperature exposure. J. Mater. Sci. 2012, 47, 7235–7253. [Google Scholar] [CrossRef]
- Zhao, D.; Fan, J.K.; Zhang, Z.X.; Wang, J.; Wang, Q.J.; Chen, Z.Y.; Tang, B.; Kou, H.C.; Li, J.S. Influence of α+β solution treatments on Ti65 ultrathin sheets: Silicide precipitation, mechanical behaviour and novel {101¯1} twinning system. Trans. Nonferrous Metals Soc. China 2023, 33, 1098–1113. [Google Scholar] [CrossRef]
- Li, J.; Cai, J.M.; Xu, Y.Q.; Xiao, W.L.; Huang, X.; Ma, C.L. Influences of thermal exposure on the microstructural evolution and subsequent mechanical properties of a near-α high temperature titanium alloy. Mater. Sci. Eng. A 2020, 774, 138934. [Google Scholar] [CrossRef]
- Varlioglu, M.; Nash, P. The effect of increased zirconium content on the microstructure and mechanical properties of Ti-1100 alloy. Light Met. Age 2004, 62, 32–35. [Google Scholar]
- Fu, B.; Wang, H.; Zou, C.; Wei, Z. The influence of Zr content on microstructure and precipitation of silicide in as-cast near α titanium alloys. Mater. Charact. 2015, 99, 17–24. [Google Scholar] [CrossRef]
- Mi, G.B.; Chen, H.; Li, P.J.; Cao, C.X. Mechanism of graphene oxide promoting silicide precipitation in high-temperature titanium alloy. Mater. Today Commun. 2023, 37, 106932. [Google Scholar] [CrossRef]
- Radecka, A.; Coakley, J.; Vorontsov, V.; Martin, T.; Bagot, P.; Moody, M.; Rugg, D.; Dye, D. Precipitation of the ordered α2 phase in a near-α titanium alloy. Scr. Mater. 2016, 117, 81–85. [Google Scholar] [CrossRef]
- Lunt, D.; Busolo, T.; Xu, X.; da Fonseca, J.Q.; Preuss, M. Effect of nanoscale α2 precipitation on strain localisation in a two-phase Ti-alloy. Acta Mater. 2017, 129, 72–82. [Google Scholar] [CrossRef]
- Perez, M.; Dumont, M.; Acevedo-Reyes, D. Implementation of classical nucleation and growth theories for precipitation. Acta Metall. 2008, 56, 2119–2132. [Google Scholar] [CrossRef]
- Youssef, S.S.; Zheng, X.D.; Huang, S.S.; Ma, Y.J.; Qi, M.; Zheng, S.J.; Lei, J.F.; Yang, R. Precipitation behavior of α2 phase and its influence on mechanical properties of binary Ti-8Al alloy. J. Alloys Compd. 2021, 871, 159577. [Google Scholar] [CrossRef]
- Werz, T.; Baumann, M.; Wolfram, U.; Krill III, C.E. Particle tracking during Ostwald ripening using time-resolved laboratory X-ray microtomography. Mater. Charact. 2014, 90, 185–195. [Google Scholar] [CrossRef]
- Hardy, S.C.; Voorhees, P.W. Ostwald ripening in a system with a high volume fraction of coarsening phase. Metall. Mater. Trans. A 1988, 19, 2713–2721. [Google Scholar] [CrossRef]
- Jia, W.J.; Zeng, W.D.; Yu, H.Q. Effect of aging on the tensile properties and microstructures of a near-alpha titanium alloy. Mater. Des. 2014, 58, 108–115. [Google Scholar] [CrossRef]
- Zhang, H.Z.; Lin, B.; Sun, Q.Q.; Liu, J.X.; Ning, B.; Wang, S. The mechanism for annealing-induced ductile to brittle transition in a high-temperature titanium alloy and its mitigation. Mater. Sci. Eng. A 2024, 898, 146370. [Google Scholar] [CrossRef]
- Sun, J.F.; Lu, H.F.; Zhang, H.M.; Luo, K.Y.; Lu, J.Z. Effect of thermal exposure on microstructure and mechanical properties of Ti65 high-temperature titanium alloy deposited by laser direct energy deposition. Mater. Sci. Eng. A 2024, 908, 146757. [Google Scholar] [CrossRef]
- Madsen, A.; Ghonem, H. Separating the effects of Ti3Al and silicide precipitates on the tensile and crack growth behavior at room temperature and 593 °C in a near-alpha titanium alloy. J. Mater. Eng. Perform. 1995, 4, 301–307. [Google Scholar] [CrossRef]
- Lütjering, G.; Weissmann, S. Mechanical properties of age-hardened titanium-aluminum alloys. Acta Metall. 1970, 18, 785–795. [Google Scholar] [CrossRef]
- Cai, J.M.; Huang, X.; Cao, C.X.; Ji-Min, M.A. Microstructural evolution of near-α titanium alloy during long-term high temperature exposure and its influence on thermal stability. J. Aeronaut. Mater. 2010, 30, 11–18. [Google Scholar]
- Christoph, L.; Manfred, P. Influence of long-term annealing on tensile properties and fracture of near α-titanium alloy Ti-6Al-2.75Sn-4Zr-0.4Mo. Metal. Mater. Trans. A 1996, 27, 1709–1717. [Google Scholar]
- Sastry, S.; Lipsitt, H. Ordering transformations and mechanical properties of Ti3Ai and Ti3Al-Nb alloys. Metall. Trans. A 1977, 8, 1543. [Google Scholar] [CrossRef]
- Yu, T.; Wang, L.; Zhao, Y.Q.; Liu, Y. Effects of thermal exposure on cyclic deformation and fracture behavior of Ti600 titanium alloy. Int. J. Fatigue 2012, 35, 31–36. [Google Scholar] [CrossRef]







Disclaimer/Publisher’s Note: The statements, opinions and data contained in all publications are solely those of the individual author(s) and contributor(s) and not of MDPI and/or the editor(s). MDPI and/or the editor(s) disclaim responsibility for any injury to people or property resulting from any ideas, methods, instructions or products referred to in the content. |
© 2024 by the authors. Licensee MDPI, Basel, Switzerland. This article is an open access article distributed under the terms and conditions of the Creative Commons Attribution (CC BY) license (https://creativecommons.org/licenses/by/4.0/).
Share and Cite
Li, J.; Jiang, W.; Xia, C.; Deng, Y.; Gao, Y.; Yang, C. Microstructural Evolution and Subsequent Mechanical Properties of Ti65 Titanium Alloy during Long-Term Thermal Exposure. Metals 2024, 14, 854. https://doi.org/10.3390/met14080854
Li J, Jiang W, Xia C, Deng Y, Gao Y, Yang C. Microstructural Evolution and Subsequent Mechanical Properties of Ti65 Titanium Alloy during Long-Term Thermal Exposure. Metals. 2024; 14(8):854. https://doi.org/10.3390/met14080854
Chicago/Turabian StyleLi, Juan, Wentao Jiang, Chunlin Xia, Yuting Deng, Yue Gao, and Changyi Yang. 2024. "Microstructural Evolution and Subsequent Mechanical Properties of Ti65 Titanium Alloy during Long-Term Thermal Exposure" Metals 14, no. 8: 854. https://doi.org/10.3390/met14080854
APA StyleLi, J., Jiang, W., Xia, C., Deng, Y., Gao, Y., & Yang, C. (2024). Microstructural Evolution and Subsequent Mechanical Properties of Ti65 Titanium Alloy during Long-Term Thermal Exposure. Metals, 14(8), 854. https://doi.org/10.3390/met14080854

