Tribological Behavior Analysis of Valve Plate Pair Materials in Aircraft Piston Pumps and Friction Coefficient Prediction Using Machine Learning
Abstract
1. Introduction
2. Experimental and Methodology
2.1. Experimental Design
- Experimental Equipment
- Sample Parameters
- Experimental process
2.2. ML Research Methods
2.2.1. Database Construction and Data Preprocessing
2.2.2. Introduction of Prediction Models
- RFR Model
- 2.
- BR Model
- 3.
- ETR Model
2.2.3. Evaluation Metrics for Prediction Models
3. Analysis of Experimental Results
3.1. Comparison of Friction Characteristics under Different Conditions
3.2. Friction Mechanism Analysis
4. ML Prediction Analysis
4.1. Comparison of Friction Characteristics under Different Conditions
4.2. Establishment of a COF Prediction Model
4.3. Study on the Importance of Features in Predicting COF
4.4. Model Validation and Evaluation
5. Conclusions
- Under constant V but different L conditions and constant L but varying V conditions, as L (or V) increased, COF initially decreased and then increased. After V reached 300 r/min, COF increased significantly. At an L of 120 N and a V of 500 r/min, COF was the lowest, with an average value of 0.019. At an L of 60 N and a V of 300 r/min, COF was relatively small, at 0.026.
- At a V of 300 r/min, abrasive wear was the dominant mechanism under L conditions of 30 N and 60 N, while adhesive wear occurred as V increased under 90 N and 120 N L conditions.
Author Contributions
Funding
Data Availability Statement
Acknowledgments
Conflicts of Interest
References
- Ye, S.; Zhang, J.; Xu, B.; Hou, L.; Xiang, J.; Tang, H. A Theoretical Dynamic Model to Study the Vibration Response Characteristics of an Axial Piston Pump. Mech. Syst. Signal Process. 2021, 150, 107237. [Google Scholar] [CrossRef]
- Chen, Y.; Zhang, J.; Xu, B.; Chao, Q.; Liu, G. Multi-Objective Optimization of Micron-Scale Surface Textures for the Cylinder/Valve Plate Interface in Axial Piston Pumps. Tribol. Int. 2019, 138, 316–329. [Google Scholar] [CrossRef]
- Chao, Q.; Shao, Y.; Liu, C.; Zhao, J. New analytical leakage models for tribological interfaces in axial piston pumps. P. I. Mech. Eng. C-J. Mec. 2023, 237, 4581–4592. [Google Scholar] [CrossRef]
- Hu, M. Study on Power Losses and Design Technology for the Surface Topography of Friction Pairs of Axial Piston Pump. Ph.D. Thesis, Zhejiang University, Hangzhou, China, 2017. [Google Scholar]
- Huang, J.; Yan, Z.; Quan, L.; Gao, Y. Characteristics of delivery pressure in the axial piston pump with combination of variable displacement and variable speed. P. I. Mech. Eng. I-J. Sys. 2015, 229, 599–613. [Google Scholar] [CrossRef]
- Mong, G.; Nafz, T. Swash Plate Pumps the Key to the Future. In Proceedings of the 10th International Fluid Power Conference, Dresden, Germany, 8–10 March 2016. [Google Scholar]
- Ou, X.; Wang, T.; Fang, X. Research Status of the High Speed Aircraft Piston Pump. Chin. Hydraul. Pneum. 2018, 2, 1–8. [Google Scholar]
- Chen, J.; Li, Y.; Miao, L.; Huang, J. Research of High Pressure and High Speed Hydraulic Pump for Civil Aircraft. J. Hydraul. Pneum. Seals 2019, 39, 32–35. [Google Scholar]
- Guo, S.; Chen, J.; Lu, Y.; Wang, Y.; Dong, H. Hydraulic Piston Pump in Civil Aircraft: Current Status, Future Directions and Critical Technologies. J. Chin. J. Aeronaut. 2019, 33, 16–30. [Google Scholar] [CrossRef]
- Wang, Z.; Wu, Y.; Huang, J. A study on the high–speed tribological performance of port plates in axial piston pumps. Chin. Hydraul. Pneum. 2019, 8, 27–32. (In Chinese) [Google Scholar]
- Schenk, A. Predicting Lubrication Performance between the Slipper and Swashplate in Axial Piston Hydraulic Machines. Ph.D. Thesis, Purdue University, West Lafayette, IN, USA, 2014. [Google Scholar]
- Zhang, J.; Chen, Y.; Xu, B.; Chao, Q.; Zhu, Y.; Huang, X. Effect of surface texture on wear reduction of the tilting cylinder and the valve plate for a high–speed electro–hydrostatic actuator pump. Wear 2018, 414, 68–78. [Google Scholar] [CrossRef]
- Jiao, W.; Liu, W.; Zhu, Z.; Xia, Y.; Ma, H.; Xia, S. Effect of Loading Pressure on Tribological Properties for Valve Plate Pair during the Running-In Process. Tribol. Trans. 2024, 67, 247–258. [Google Scholar] [CrossRef]
- Huang, J.; Dong, Z.; Wang, Z.; Niu, L. Tribological Properties of Cylinder Block/Valve Plate Interface of Axial Piston Pump on the Tribometer. Chin. J. Mech. Eng. 2021, 34, 122–138. [Google Scholar] [CrossRef]
- Li, S.; Bao, S.; Yang, P.; Li, Y. Experimental Study on Wear of Friction Pair Materials of Axial Piston Pump Valve Plate. J. Hydraul. Pneum. Seals 2021, 41, 1–3+8. [Google Scholar]
- Fu, J.; Lyu, D.; Kang, J.; Li, Y.; Zhao, J. Tribological characteristics of hard-to-hard matching materials of cylinder block/valve plate interface in electro-hydrostatic actuator pumps. P. I. Mech. Eng. C-J. Mec. 2024, 238, 2393–2406. [Google Scholar] [CrossRef]
- Huang, J.; Zhang, Q.; Zhou, W.; Wang, T. Study on wear characteristics of friction pair in high pressure and high-speed axial piston pump. In Proceedings of the CSAA/IET International Conference on Aircraft Utility Systems, Nanchang, China, 17–20 August 2022. [Google Scholar]
- Milojević, S.; Savić, S.; Marić, D.; Stopka, O.; Krstić, B.; Stojanović, B. Correlation between emission and combustion characteristics with the compression ratio and fuel injection timing in tribologically optimized diesel engine. Tehnički Vjesnik 2022, 29, 1210–1219. [Google Scholar]
- Xu, L.; Lu, Y.; Liu, Q.; Lin, L.; Mu, J. Experimental study on frictional pairs of piston pumps. J. Fail. Anal. Prev. 2022, 22, 738–749. [Google Scholar] [CrossRef]
- Ren, X.; Zhang, G.; Xu, H.; Sun, F.; Kang, Y.; Wang, M.; Niu, J. Research on Wear Resistance of ZCuPb20Sn5 Alloy. J. Tribol. 2020, 40, 467–476. [Google Scholar]
- Nosonovsky, M.; Aglikov, A. Triboinformatics: Machine learning methods for frictional instabilities. In Proceedings of the International Workshop “Interplay of Mechanics, Tribology, and Materials Science”, Samarkand, Uzbekistan, 4–6 September 2023. [Google Scholar]
- Carleo, G.; Cirac, I.; Cranmer, K.; Daudet, L.; Schuld, M.; Tishby, N.; Vogt-Maranto, L.; Zdeborová, L. Machine learning and the physical sciences. Rev. Mod. Phys. 2019, 91, 045002. [Google Scholar] [CrossRef]
- Biehl, M.; Mietzner, A. Statistical mechanics of unsupervised learning. Europhys. Lett. 1993, 24, 421. [Google Scholar] [CrossRef]
- Hasan, M.; Nosonovsky, M. Triboinformatics: Machine learning algorithms and data topology methods for tribology. Surf. Innov. 2022, 10, 229–242. [Google Scholar] [CrossRef]
- Monareng, K.; Maphanga, R.; Ntoahae, P. Machine learning models for predicting density of sodium-ion battery materials. In Proceedings of the MATEC Web of Conferences, Cape Town, South Africa, 15 December 2023. [Google Scholar]
- Kordijazi, A.; Roshan, H.; Dhingra, A.; Povolo, M.; Rohatgi, P.; Nosonovsky, M. Machine-learning methods to predict the wetting properties of iron-based composites. Surf. Innov. 2020, 9, 111–119. [Google Scholar] [CrossRef]
- Prasanth, I.; Jeevanandam, P.; Selvaraju, P.; Sathish, K.; Hasane Ahammad, S.; Sujatha, P.; Kaarthik, M.; Mayakannan, S.; Sasikumar, B. Study of friction and wear behavior of graphene-reinforced AA7075 nanocomposites by machine learning. J. Nanomater. 2023, 2023, 15. [Google Scholar] [CrossRef]
- Kolev, M.; Drenchev, L.; Petkov, V. Fabrication, experimental investigation and prediction of wear behavior of open-cell AlSi10Mg-SiC composite materials. Metals 2023, 13, 814. [Google Scholar] [CrossRef]
- Verma, S.; Misra, J.; Popli, D. Modeling of friction stir welding of aviation grade aluminium alloy using machine learning approaches. Int. J. Model. Simul. 2022, 42, 1–8. [Google Scholar] [CrossRef]
- Naderpour, H.; Rafiean, A.; Fakharian, P. Compressive strength prediction of environmentally friendly concrete using artificial neural networks. J. Build. Eng. 2018, 16, 213–219. [Google Scholar] [CrossRef]
- Shen, K. Study on Friction and Wear Performance of Copper/Graphene Composite Materials Based on Machine Learning. Master’s Thesis, Donghua University, Shanghai, China, 2023. [Google Scholar]
- Pedregosa, F.; Varoquaux, G.; Gramfort, A.; Michel, V.; Thirion, B.; Grisel, O.; Blondel, M.; Prettenhofer, P.; Weiss, R.; Duchesnay, É. Scikit-learn: Machine Learning in Python. J. Mach. Learn. Res. 2011, 12, 2825–2830. [Google Scholar]
- Tiwari, D.; Agarwal, S.; Singh, S. Bagging Regressor with XGBoost Regressor as Base Estimator for Predictions in Indian Power-Energy Trading Market. In Proceedings of the 15th International Conference on Science, Technology and Management, New Delhi, India, 25 June 2023. [Google Scholar]
- Polamuri, S.; Srinivas, K.; Mohan, A.K. Stock market prices prediction using random forest and extra tree regression. Int. J. Recent Technol. Eng. 2019, 8, 1224–1228. [Google Scholar] [CrossRef]
- Aziz, T.; Camana, M.; Garcia, C.; Hwang, T.; Koo, I. REM-Based Indoor Localization with an Extra-Trees Regressor. Electronics 2023, 12, 4350. [Google Scholar] [CrossRef]
- Géron, A. Hands-on Machine Learning with Scikit-Learn and TensorFlow Concepts, Tools, and Techniques to Build Intelligent Systems, 1st ed.; O’Reilly Media, Inc.: Sevastopol, CA, USA, 2017. [Google Scholar]
- LeCun, Y.; Bengio, Y.; Hinton, G. Deep learning. Nature 2015, 521, 436–444. [Google Scholar] [CrossRef]
- Kristipadu, R.T.; Lawrence, D. Development of machine learning based predictive analytical models for the surface interaction studies of tribological pairs. In AIP Conference Proceedings; AIP Publishing: New York, NY, USA, 2021; Volume 2336, pp. 1–10. [Google Scholar]
- Schneider, P.; Xhafa, F. Anomaly detection classification and CEP with ML methods. In Anomaly Detection and Complex Event Processing over IoT Data Streams; Academic Press: Cambridge, MA, USA, 2022; pp. 193–233. [Google Scholar]
- Ahmad, M.; Mourshed, M.; Rezgui, Y. Trees vs neurons: Comparison between random forest and ANN for high-resolution prediction of building energy consumption. Energy Build. 2017, 147, 77–89. [Google Scholar] [CrossRef]
- Klemme, F.; Amrouch, H. Scalable machine learning to estimate the impact of aging on circuits under workload dependency. IEEE Trans. Circuits Syst. Regul. Pap. 2022, 69, 2142–2155. [Google Scholar] [CrossRef]
- Parmar, J.; Patel, S.K.; Katkar, V.; Natesan, A. Graphene-based refractive index sensor using machine learning for detection of mycobacterium tuberculosis bacteria. IEEE Trans. Nanobiosci. 2022, 22, 92–98. [Google Scholar] [CrossRef] [PubMed]
- Abbas, A.; Huang, S.; Ballóková, B.; Sülleiová, K. Tribological effects of carbon nanotubes on magnesium alloy AZ31 and analyzing aging effects on CNTs/AZ31 composites fabricated by stir casting process. Tribol. Int. 2020, 142, 105982. [Google Scholar] [CrossRef]
- Aydin, F.; Sun, Y.; Emre, M. Influence of TiC content on mechanical, wear and corrosion properties of hot-pressed AZ91/TiC composites. J. Compos. Mater. 2020, 54, 141–152. [Google Scholar] [CrossRef]
- Aydin, F.; Sun, Y.; Emre, M. The effect of TiB2 content on wear and mechanical behavior of AZ91magnesium matrix composites produced by powder metallurgy. Powder Metall. Met. Ceram. 2019, 57, 564–572. [Google Scholar] [CrossRef]
- Nguyen, Q.; Sim, Y.; Gupta, M.; Lim, C. Tribology characteristics of magnesium alloy AZ31B and its composites. Tribol. Int. 2015, 82, 464–471. [Google Scholar] [CrossRef]
- Hu, C.; Wan, X.; Wu, K.; Xu, D.; Li, G.; Xu, G.; Misra, R. On the impacts of grain refinement and strain-induced deformation on three-body abrasive wear responses of 18Cr–8Ni austenitic stainless steel. Wear 2020, 446, 203181. [Google Scholar] [CrossRef]

















| Material | HAl61-4-3-1 | W9Mo3Cr4V |
|---|---|---|
| Density/g·cm−3 | 8.51 | 8.3 |
| Elastic modulus/GPa | 95 | 203 |
| Thermal conductivity/W·(m·K)−1 | 83 | 30.9 |
| Hardness | 60 HRC | 203 HV |
| Parameters | Values |
|---|---|
| Load/N | 10, 30, 60, 90, 120 |
| Rotate speed/r/min | 100, 200, 300, 500 |
| Radius/mm | 5, 9 |
| Test duration/min | 0~240 |
| Temperature/°C | 23.5 ± 1 |
| Humidity/% | 35 |
| Feature | Value | Unit |
|---|---|---|
| Load (F) | 10, 30, 60, 90, 120 | N |
| Rotation speed (V) | 100, 200, 300, 500 | r/min |
| Radius (R) | 5, 9 | mm |
| Test duration (T) | 2, 12, …, 240 | min |
| ML Models | Values | |||
|---|---|---|---|---|
| MAE | RMSE (Train) | RMSE (Test) | R2 | |
| RFR | 0.00587 | 0.003 | 0.011 | 0.93744 |
| BR | 0.00604 | 0.003 | 0.011 | 0.93398 |
| ETR | 0.00428 | 0.000 | 0.008 | 0.96321 |
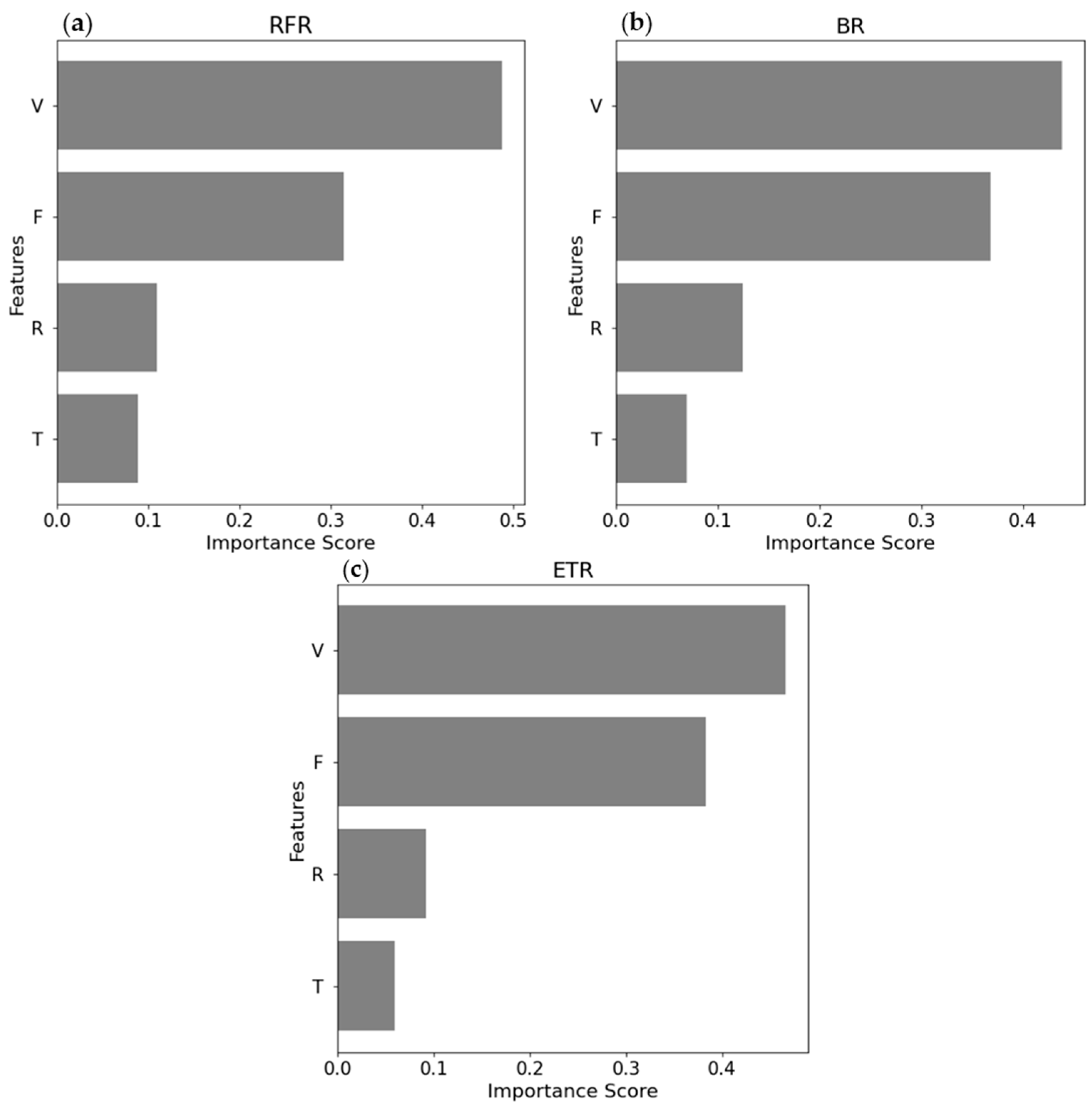
| Algorithms | Features | |||
|---|---|---|---|---|
| V | F | T | R | |
| RFR | 0.4471 | 0.3507 | 0.0734 | 0.1288 |
| BR | 0.4386 | 0.3678 | 0.0692 | 0.1245 |
| ETR | 0.427 | 0.3808 | 0.0518 | 0.1404 |
Disclaimer/Publisher’s Note: The statements, opinions and data contained in all publications are solely those of the individual author(s) and contributor(s) and not of MDPI and/or the editor(s). MDPI and/or the editor(s) disclaim responsibility for any injury to people or property resulting from any ideas, methods, instructions or products referred to in the content. |
© 2024 by the authors. Licensee MDPI, Basel, Switzerland. This article is an open access article distributed under the terms and conditions of the Creative Commons Attribution (CC BY) license (https://creativecommons.org/licenses/by/4.0/).
Share and Cite
Wang, Y.; Nie, R.; Liu, X.; Wang, S.; Li, Y. Tribological Behavior Analysis of Valve Plate Pair Materials in Aircraft Piston Pumps and Friction Coefficient Prediction Using Machine Learning. Metals 2024, 14, 701. https://doi.org/10.3390/met14060701
Wang Y, Nie R, Liu X, Wang S, Li Y. Tribological Behavior Analysis of Valve Plate Pair Materials in Aircraft Piston Pumps and Friction Coefficient Prediction Using Machine Learning. Metals. 2024; 14(6):701. https://doi.org/10.3390/met14060701
Chicago/Turabian StyleWang, Yongjie, Rui Nie, Xiaochao Liu, Shijie Wang, and Yunlong Li. 2024. "Tribological Behavior Analysis of Valve Plate Pair Materials in Aircraft Piston Pumps and Friction Coefficient Prediction Using Machine Learning" Metals 14, no. 6: 701. https://doi.org/10.3390/met14060701
APA StyleWang, Y., Nie, R., Liu, X., Wang, S., & Li, Y. (2024). Tribological Behavior Analysis of Valve Plate Pair Materials in Aircraft Piston Pumps and Friction Coefficient Prediction Using Machine Learning. Metals, 14(6), 701. https://doi.org/10.3390/met14060701

