Activity Calculation and Vacuum Separation Theoretical Research concerning Ag–Cu, Ag–Sb and Cu–Sb Binary Alloys
Abstract
1. Introduction
2. Method
2.1. Model Induction
2.1.1. MIVM, M-MIVM and Wilson Equation
2.1.2. Miedema Model
2.1.3. RSM and SRSM
2.2. Vacuum-Related Theoretical Knowledge
2.2.1. Separation Coefficient
2.2.2. Vapor–Liquid Equilibrium (VLE)
3. Analysis of Activity and Vacuum Foundation Separation
3.1. The Calculation and Testing of Predicted Activity
3.1.1. The Calculation of Predicted Activity and Comparison with Experimental Values
3.1.2. Testing Activity Data by Herington Test
3.2. Vacuum Separation Foundational Research Based on M-MIVM
3.2.1. Separation Coefficient
3.2.2. VLE
3.2.3. Testing VLE Data by Existing Experimental Values
4. Conclusions
- (1)
- The results of the deviations for the M-MIVM are the smallest, with an overall mean of the average standard deviation of 0.01501 and the average relative deviation of 3.97278%. In addition, the predicted values of the Cu–Ag binary alloy at 1423 K, Sb–Ag alloy at 1250 K and Sb–Cu alloy at 1375 K calculated from the M-MIVM are more reliable and pass the thermodynamic consistency test.
- (2)
- On the basis of the M-MIVM, this work launches the vacuum separation theoretical research on the Cu–Ag, Sb–Ag and Sb–Cu binary alloys. The Cu–Ag binary alloy is relatively harder to separate than other alloys, with the value of separation coefficient of 200~8 in the temperature scope from 1473 K to 1873 K.
- (3)
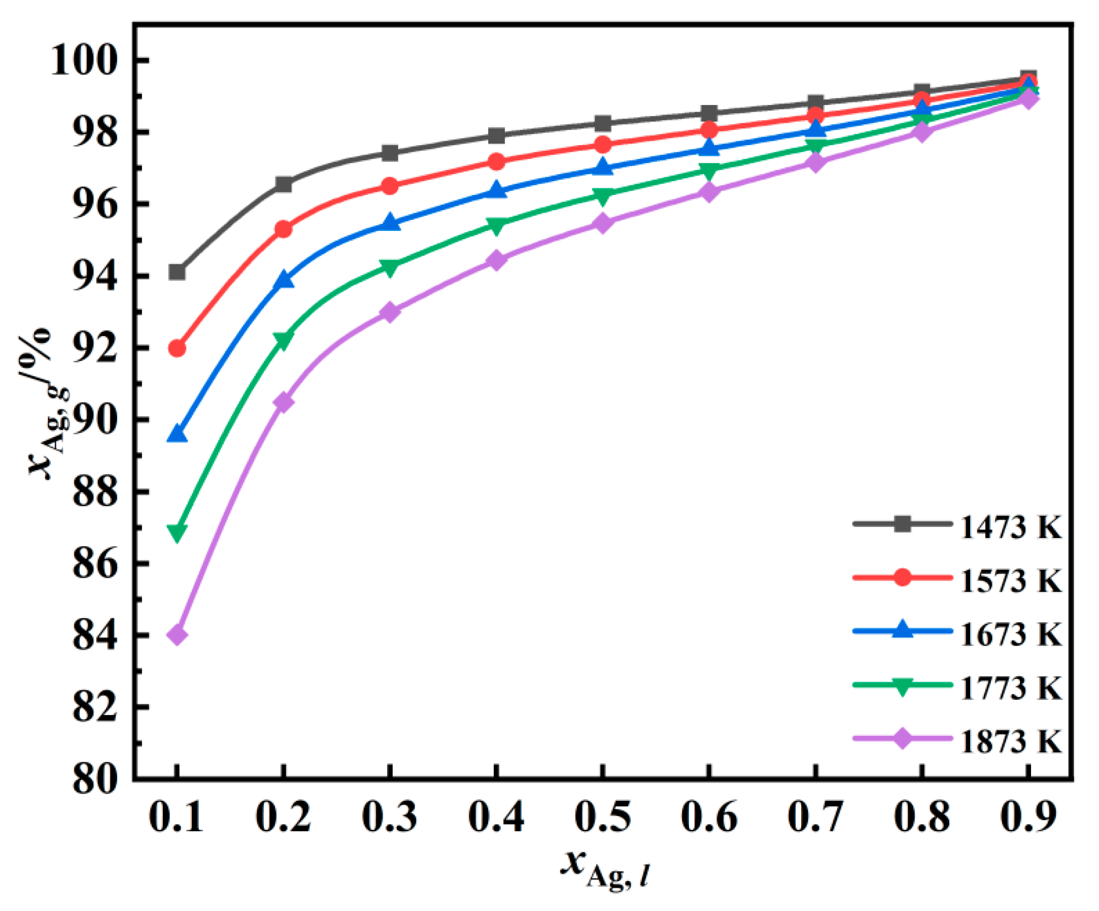
- The precise experimental conditions for the separation of the Cu–Ag, Sb–Ag and Sb–Cu binary alloys may be able to be determined according to the VLE. At 10 Pa and 1419 K, a Cu–Ag alloy could theoretically achieve a silver content of greater than 0.9999 in the gas phase. And there is 78.452% sliver in the gas phase by theoretical calculation with 0.0468 sliver in the liquid phase for the Ag–Cu binary alloy at 1573 K, which is in general agreement with the experiment.
- (4)
- The M-MIVM is the optimal model for further predicting the activity of the Ag–Cu–Sb ternary alloy, according to above activity conclusion, combining analysis of the derivation process of the excess Gibbs free energy and a comparison between the theoretical values and experimental data in the VLE.
- (5)
- These results mentioned above can guide research on the activity of the Ag–Cu–Sb ternary alloy and its subsystems in vacuum separation experiments and industrial production. The activity of the Ag–Cu–Sb ternary alloy will be investigated based on the parameters of its binary alloys calculated from the M-MIVM.
Author Contributions
Funding
Data Availability Statement
Conflicts of Interest
References
- Zhang, C.Q.; Li, S.Z.; Liu, L.H.; Feng, X.D.; Liu, G. Silver-catalyzed and silver-promoted reactions of isocyanides. Eur. J. Org. Chem. 2023, 26, e202300323. [Google Scholar] [CrossRef]
- Rautio, T.; Torbati-Sarraf, H.; Allam, T.; Järvenpää, A.; Hamada, A. Enhancement of electrical conductivity and corrosion resistance by gold-nickel coating of additively manufactured AlSi10Mg alloy. J. Mater. Res. Technol. 2022, 17, 521–536. [Google Scholar] [CrossRef]
- Quintana, C.; Cifuentes, M.P.; Humphrey, M.G. Transition metal complex/gold nanoparticle hybrid materials. Chem. Soc. Rev. 2020, 49, 2316–2341. [Google Scholar] [CrossRef] [PubMed]
- Zhan, H.J.; Guo, J.Y.; Shen, J.L.; Wang, X.R.; Fan, Z.H.; Guo, B.; Liu, W. Synthesis of Silver Flakes and Their Application as Conductive Filler for Low-Curing-Temperature Silver Pastes. J. Electron. Mater. 2019, 48, 2745–2753. [Google Scholar] [CrossRef]
- Dong, Z.L.; Jiang, T.; Xu, B.; Yang, J.K.; Chen, Y.Z.; Li, Q.; Yang, Y.B. Comprehensive recoveries of selenium, copper, gold, silver and lead from a copper anode slime with a clean and economical hydrometallurgical process. Chem. Eng. J. 2020, 393, 124762. [Google Scholar] [CrossRef]
- Xu, B.; Yang, Y.B.; Li, Q.; Yin, W.; Jiang, T.; Li, G.H. Thiosulfate leaching of Au, Ag and Pd from a high Sn, Pb and Sb bearing decopperized anode slime. Hydrometallurgy 2016, 164, 278–287. [Google Scholar] [CrossRef]
- Xing, W.D.; Lee, M.S. Development of a hydrometallurgical process for the recovery of gold and silver powders from anode slime containing copper, nickel, tin, and zinc. Gold Bull. 2019, 52, 69–77. [Google Scholar] [CrossRef]
- Xiao, L.; Wang, Y.L.; Yu, Y.; Fu, G.Y.; Han, P.W.; Sun, Z.H.I.; Ye, S.F. An environmentally friendly process to selectively recover silver from copper anode slime. J. Clean. Prod. 2018, 187, 708–716. [Google Scholar] [CrossRef]
- You, Y.J.; Xu, J.J.; Kong, L.X.; Xu, B.Q.; Yang, B. Kinetics study of Pb evaporation from pure Pb and Pb-Ag alloy in vacuum evaporation process. J. Mater. Res. Technol. 2021, 15, 7012–7021. [Google Scholar] [CrossRef]
- Zhang, X.X.; Friedrich, S.; Friedrich, B. Separation behavior of arsenic and lead from antimony during vacuum distillation and zone refining. J. Mater. Res. Technol. 2020, 9, 4386–4398. [Google Scholar] [CrossRef]
- Khlebnikov, A.I. Modern industrial experience of application of vacuum distillation of silver for separation of gold-silver alloy. Tsvetnye Metally. 2014, 7, 25–28. [Google Scholar]
- Wang, S.P.; Zhao, J.Y.; Xu, B.Q.; Kong, L.X.; Jiang, W.L.; Yang, B. Theoretical research on vacuum separation of Au-Ag alloy. Trans. Nonferrous Met. Soc. China 2022, 32, 2719–2726. [Google Scholar] [CrossRef]
- Wang, S.P.; Chen, L.L.; Xu, B.Q.; Jiang, W.L.; Kong, L.X.; Yang, B.; Xiong, H.; Qu, C.; Zhang, T.; Zhang, S.H.; et al. Theoretical calculation and experimental investigation on vacuum gasification separation of Ag-Cu-Au ternary alloy. J. Alloys Compd. 2023, 948, 169685. [Google Scholar] [CrossRef]
- Yi, J.F.; Zha, G.Z.; Huang, D.X.; Kong, X.F.; Yang, B.; Liu, D.C.; Xu, B.Q. Effective separation and recovery of valuable metals from high value-added lead anode slime by sustainable vacuum distillation. J. Clean. Prod. 2021, 319, 128731. [Google Scholar] [CrossRef]
- Werner, J.; Seidel, T.; Jafar, R.; Heese, R.; Hasse, H.; Bortz, M. Multiplicities in thermodynamic activity coefficients. AIChE J. 2023, e18251. [Google Scholar] [CrossRef]
- Jiao, J.M.; Ma, W.H.; Sun, Y.; Tao, D.P.; Huang, X.; Wu, J.J.; Dai, Y.N. Application of molecular interaction volume model for predicting the Ca activity coefficients in Si-Ca binary and Si-Ca-Pb ternary alloys. Vacuum 2016, 128, 106–111. [Google Scholar] [CrossRef]
- Hou, W.Y.; Wang, J.R.; Li, H.S. Theoretical Investigation of Thermodynamic Properties of the Al-Si-Fe Ternary Alloy. ACS Omega 2024, 9, 6316–6324. [Google Scholar] [CrossRef] [PubMed]
- Yao, S.; Duan, S.C.; Guo, H.J.; Guo, J. Thermodynamic Properties Prediction of Fe-Al-Ti Alloys Based on Atom and Molecule Coexistence Theory. Phys. Met. Metallogr. 2022, 123, 1287–1298. [Google Scholar] [CrossRef]
- Oshakuade, O.M.; Awe, O.E. Computation of infinite dilute activity coefficients for Ga-X (X= In, Tl) and thermodynamic activities of all components in liquid Ga-In-Ti alloys. Phys. Chem. Liq. 2022, 60, 427–435. [Google Scholar] [CrossRef]
- Prausnitz, J.M.; Lichtenthaler, R.N.; Azevedo, E.G.D. Molecular Thermodynamics of Fluid-Phase Equilibria; Prentice-Hall: Upper Saddle River, NJ, USA, 1986. [Google Scholar]
- Dadmohammadi, Y.; Gebreyohannes, S.; Neely, B.J.; Gasem, K.A.M. Application of Modified NRTL Models for Binary LLE Phase Characterization. Ind. Eng. Chem. Res. 2018, 57, 7282–7290. [Google Scholar] [CrossRef]
- Seyf, J.Y.; Shojaeian, A. Vapor-liquid (azeotropic systems) and liquid-liquid equilibrium calculations using UNIFAC and NRTL-SAC activity coefficient models. Fluid Phase Equilibr. 2019, 494, 33–44. [Google Scholar] [CrossRef]
- Xu, J.J.; Kong, L.X.; Xu, B.Q.; Ren, J.Q.; Li, Y.F.; Li, L.; Liu, D.C.; Yang, B. Vacuum separation of zinc-silver alloy: Measurement and modeling of vapor-liquid equilibrium. Vacuum 2021, 189, 110245. [Google Scholar] [CrossRef]
- Hultgren, R.; Desai, P.D.; Hawkins, D.T.; Gleiser, M.; Kelley, K.K. Selected Values of the Thermodynamic Properties of Binary Alloys; American Society for Metals: Detroit, MI, USA, 1973. [Google Scholar]
- SGTE; Equilibria, P. Crystallographic and Termodynamic Data of Binary Alloys; New Series IV/19B, Landolt-börnstein-Group IV Physical Chemistry; Springer: Berlin/Heidelberg, Germany, 2002. [Google Scholar]
- Tao, D.P. A new model of thermodynamics of liquid mixtures and its application to liquid alloys. Thermochim. Acta 2000, 363, 105–113. [Google Scholar] [CrossRef]
- Dai, H.; Tao, D.P. Application of the modified molecular interaction volume model (M-MIVM) to vapor-liquid phase equilibrium of binary alloys in vacuum distillation. Vacuum 2019, 163, 342–351. [Google Scholar] [CrossRef]
- Tao, D.P. Prediction of the coordination numbers of liquid metals. Metall. Mater. Trans. B. 2005, 36, 3495–3497. [Google Scholar] [CrossRef]
- Das, N.; Mittra, J.; Murty, B.S.; Pabi, S.K.; Kulkarni, U.D.; Dey, G.K. Miedema model based on methodology to predict amorphous-forming-composition range in binary and ternary systems. J. Alloys Compd. 2013, 550, 483–495. [Google Scholar] [CrossRef]
- Miedema, A.R.; de Châtel, P.F.; de Boer, F.R. Cohesion in alloys-fundamentals of a semi-empirical model. Physica B+C 1980, 100, 1–28. [Google Scholar] [CrossRef]
- Hildebrand, J.H.; Scott, R.L. Regular Solution; Prentiss-Hall: Hoboken, NJ, USA, 1962. [Google Scholar]
- Hardy, H.K. “sub-regular solution” model and its application to some binary alloy systems. Acta. Metall. 1953, 1, 202–209. [Google Scholar] [CrossRef]
- Alcock, C.B.; PItkin, V.; Horrigan, M.K. Vapour Pressure Equations for the Metallic Elements: 298-2500K. Can. Metall. Q. 1984, 23, 309–313. [Google Scholar] [CrossRef]
- Dai, Y.N.; Yang, B. Vacuum Metallurgy of Nonferrous Metal Materials; Metallurgical Industry Press: Beijing, China, 2000. [Google Scholar]
- Wang, Y.N.; Kong, L.X.; Yang, B. Simulation prediction and experimental study of phase equilibria of Bi-Sb and Bi-Sb-Cd alloys in vacuum distillation. Vacuum 2023, 213, 112032. [Google Scholar] [CrossRef]
- Seyf, J.Y.; Flasafi, S.M.; Babaei, A.H. Development of the NRTL functional activity coefficient (NRTL-FAC) model using high quality and critically evaluated phase equilibria data. 1. Fluid Phase Equilibr. 2021, 541, 113088. [Google Scholar] [CrossRef]
- Wang, L.Y.; Zhao, H.; Han, L.J.; Wang, Y.F.; Xin, J.Y. Isobaric Vapor-Liquid Equilibrium of Binary Mixtures of 2-Methylpentanedioic Acid Dimethyl Ester and Dimethyl Adipate at 101.3, 50.0, 30.0, and 10.0 kPa. J. Chem. Eng. Data 2024, 69, 1613–1620. [Google Scholar] [CrossRef]
- Liu, F.S. Study on the Evaporative Discipline of Silver in Copper-Silver Alloys by Vacuum Distillation; Kunming University of Science and Technology: Kunming, China, 2017. [Google Scholar]
- Chen, Y.H.; Yang, H.W. Separation of Antimony from Copper in Vacuum Distillation. IOP Conf. Ser. Earth Environ. Sci. 2019, 252, 022035. [Google Scholar] [CrossRef]







| i | Vmi (10−6 m3/mol) | Tmi/K | ∆Hmi (kJ/mol) | r0i | rmi |
|---|---|---|---|---|---|
| Ag | 11.64(1 + 0.98 × 10−4 × (T − Tmi)) | 1234 | 11.09 | 2.46 | 2.89 |
| Cu | 7.99(1 + 1.00 × 10−4 × (T − Tmi)) | 1356 | 13.00 | 2.15 | 2.56 |
| Sb | 18.87(1 + 1.3 × 10−4 × (T − Tmi)) | 904 | 39.70 | 2.57 | 3.14 |
| i | Property | ||||
|---|---|---|---|---|---|
| Ag | Transition metal | 4.45 | 1.39 | 0.07 | 0.15 |
| Cu | Transition metal | 4.55 | 1.47 | 0.07 | 0.3 |
| Sb | Non-transition metal | 4.40 | 1.26 | 0.04 | 2.3 |
| i | Temperature Range, K | ||||
|---|---|---|---|---|---|
| Ag | −14,400.00 | −0.85 | 0.00 | 11.70 | 1234–2420 |
| Cu | −17,520.00 | −1.21 | 0.00 | 13.21 | 1356–2843 |
| Sb | −6500.00 | 0.00 | 0.00 | 6.37 | 904–1948 |
| System i–j | Cu–Ag | Cu–Ag | Sb–Ag | Sb–Ag | Sb–Cu | Sb–Cu | Overall Mean () | |
|---|---|---|---|---|---|---|---|---|
| Model and Parameter (±) | ||||||||
| Temperature/K | 1400 | 1423 | 1250 | 1300 | 1190 | 1375 | ― | |
| MIVM | 0.00183 | 0.00557 | 0.08109 | 0.08616 | 0.05588 | 0.04337 | 0.04811 | |
| 0.00185 | 0.00546 | 0.07082 | 0.05723 | 0.09332 | 0.07473 | |||
| /% | 0.29677 | 0.67817 | 20.84227 | 20.06200 | 23.88805 | 15.58372 | 15.21472 | |
| % | 0.29570 | 0.93796 | 27.71771 | 24.22359 | 26.93817 | 21.11248 | ||
| M-MIVM | 0.01777 | 0.00304 | 0.01396 | 0.01932 | 0.01335 | 0.01156 | 0.01501 | |
| 0.01375 | 0.00295 | 0.01981 | 0.02119 | 0.03307 | 0.01038 | |||
| /% | 3.37258 | 0.38438 | 3.77585 | 5.48706 | 9.23449 | 2.62595 | 3.97278 | |
| % | 2.69677 | 0.51095 | 4.22243 | 5.01305 | 7.88977 | 2.46013 | ||
| Wilson equation | 0.01332 | 0.00424 | 0.02886 | 0.03808 | 0.06750 | 0.02807 | 0.03171 | |
| 0.01358 | 0.00415 | 0.05475 | 0.04193 | 0.04837 | 0.03770 | |||
| /% | 2.61367 | 0.69341 | 10.83764 | 11.55478 | 16.32505 | 8.37948 | 8.71565 | |
| % | 2.64407 | 0.57929 | 13.15704 | 12.06339 | 11.58937 | 14.15068 | ||
| Miedema model | 0.09956 | 0.10500 | 0.06127 | 0.07419 | 0.03573 | 0.02209 | 0.07970 | |
| 0.09754 | 0.10278 | 0.09335 | 0.07176 | 0.10818 | 0.08499 | |||
| /% | 18.38577 | 18.80675 | 19.16126 | 20.75625 | 14.49344 | 6.92024 | 19.92938 | |
| % | 17.99045 | 18.39257 | 23.41028 | 21.11154 | 32.23751 | 27.48654 | ||
| RSE | 0.00028 | 0.00691 | 0.07727 | 0.07100 | 0.11520 | 0.09337 | 0.06783 | |
| 0.00028 | 0.00702 | 0.11246 | 0.11789 | 0.11666 | 0.09560 | |||
| /% | 0.03924 | 1.01096 | 25.28264 | 28.82336 | 41.28900 | 29.47973 | 22.83921 | |
| % | 0.03924 | 1.14580 | 26.73625 | 26.73810 | 53.07023 | 40.41595 | ||
| SRSE | 0.00028 | 0.00726 | 0.02815 | 0.04816 | 0.05041 | 0.01054 | 0.02891 | |
| 0.00028 | 0.00713 | 0.04922 | 0.07043 | 0.04300 | 0.03205 | |||
| /% | 0.03924 | 1.02258 | 13.74654 | 23.41977 | 14.24080 | 8.35729 | 10.43569 | |
| % | 0.03924 | 1.20000 | 11.68295 | 23.56618 | 21.22542 | 6.68830 | ||
| No | T/K | P/Pa | xAg,exp | yAg,exp | yAg,cal | Δymax a | y(MAD) |
|---|---|---|---|---|---|---|---|
| 1 | 1573 | 15~30 | 0.57446 | 0.91944 | 0.98247~0.98479 | 0.06534 | 4.75846~4.97882 |
| 2 | 1673 | 15~30 | 0.51283 | 0.92193 | 0.98016~0.98287 | 0.06095 | |
| 3 | 1773 | 15~30 | 0.45776 | 0.90619 | 0.97794~0.98097 | 0.07479 | |
| 4 | 1873 | 15~30 | 0.26084 | 0.93835 | 0.96451~0.98479 | 0.03130 | |
| 5 | 1973 | 15~30 | 0.00613 | 0.35774 | 0.33898~0.37431 | 0.01657 |
| No | T/K | P/Pa | xCu,exp | ySb,exp | ySb,cal | Δy a | y(MAD) |
|---|---|---|---|---|---|---|---|
| 1 | 1150 | 10 | 0.60660 | 0.99990 | 9.9999999384 × 10−1 | 9.99938 × 10−5 | 0.66400 |
| 2 | 1200 | 10 | 0.62130 | 0.99980 | 9.9999999110 × 10−1 | 0.00020 | |
| 3 | 1250 | 10 | 0.65250 | 0.99960 | 9.9999997968 × 10−1 | 0.00040 | |
| 4 | 1300 | 10 | 0.66710 | 0.99560 | 9.9999996942 × 10−1 | 0.00440 | |
| 5 | 1350 | 10 | 0.74360 | 0.97190 | 9.9999966354 × 10−1 | 0.02810 |
Disclaimer/Publisher’s Note: The statements, opinions and data contained in all publications are solely those of the individual author(s) and contributor(s) and not of MDPI and/or the editor(s). MDPI and/or the editor(s) disclaim responsibility for any injury to people or property resulting from any ideas, methods, instructions or products referred to in the content. |
© 2024 by the authors. Licensee MDPI, Basel, Switzerland. This article is an open access article distributed under the terms and conditions of the Creative Commons Attribution (CC BY) license (https://creativecommons.org/licenses/by/4.0/).
Share and Cite
Li, Q.; Tian, Y.; Kong, L.; Yang, B.; Xu, B.; Jiang, W.; Wang, L. Activity Calculation and Vacuum Separation Theoretical Research concerning Ag–Cu, Ag–Sb and Cu–Sb Binary Alloys. Metals 2024, 14, 603. https://doi.org/10.3390/met14050603
Li Q, Tian Y, Kong L, Yang B, Xu B, Jiang W, Wang L. Activity Calculation and Vacuum Separation Theoretical Research concerning Ag–Cu, Ag–Sb and Cu–Sb Binary Alloys. Metals. 2024; 14(5):603. https://doi.org/10.3390/met14050603
Chicago/Turabian StyleLi, Qingsong, Yang Tian, Lingxin Kong, Bin Yang, Baoqiang Xu, Wenlong Jiang, and Lipeng Wang. 2024. "Activity Calculation and Vacuum Separation Theoretical Research concerning Ag–Cu, Ag–Sb and Cu–Sb Binary Alloys" Metals 14, no. 5: 603. https://doi.org/10.3390/met14050603
APA StyleLi, Q., Tian, Y., Kong, L., Yang, B., Xu, B., Jiang, W., & Wang, L. (2024). Activity Calculation and Vacuum Separation Theoretical Research concerning Ag–Cu, Ag–Sb and Cu–Sb Binary Alloys. Metals, 14(5), 603. https://doi.org/10.3390/met14050603

