Investigation of Residual Stress Distribution and Fatigue of 7050-T7451 Alloy Hole Components with Laser Shock and Ultrasonic Extrusion
Abstract
1. Introduction
2. Materials and Methods
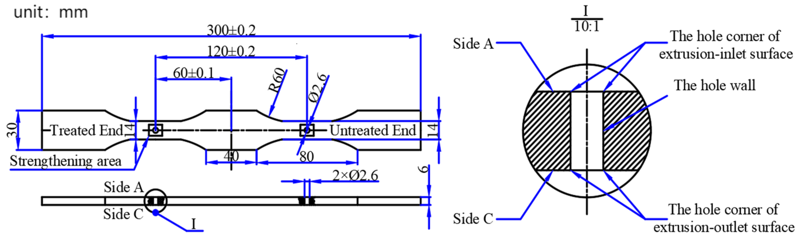
2.1. Specimens and Material Parameters
2.2. Establishment of LUE Finite Element Model
2.2.1. LUE-1: Finite Element Model Establishment
2.2.2. LUE-2: Finite Element Model Establishment
2.3. LUE-1 Test
2.4. Fatigue Test
3. Results and Analysis
3.1. Influence of Process Methods on Residual Stress Distribution in LUE
3.2. Influence of Peak Pressure on Residual Stress Distribution in LUE-1
3.3. Influence of Amplitude on Residual Stress Distribution in LUE-1
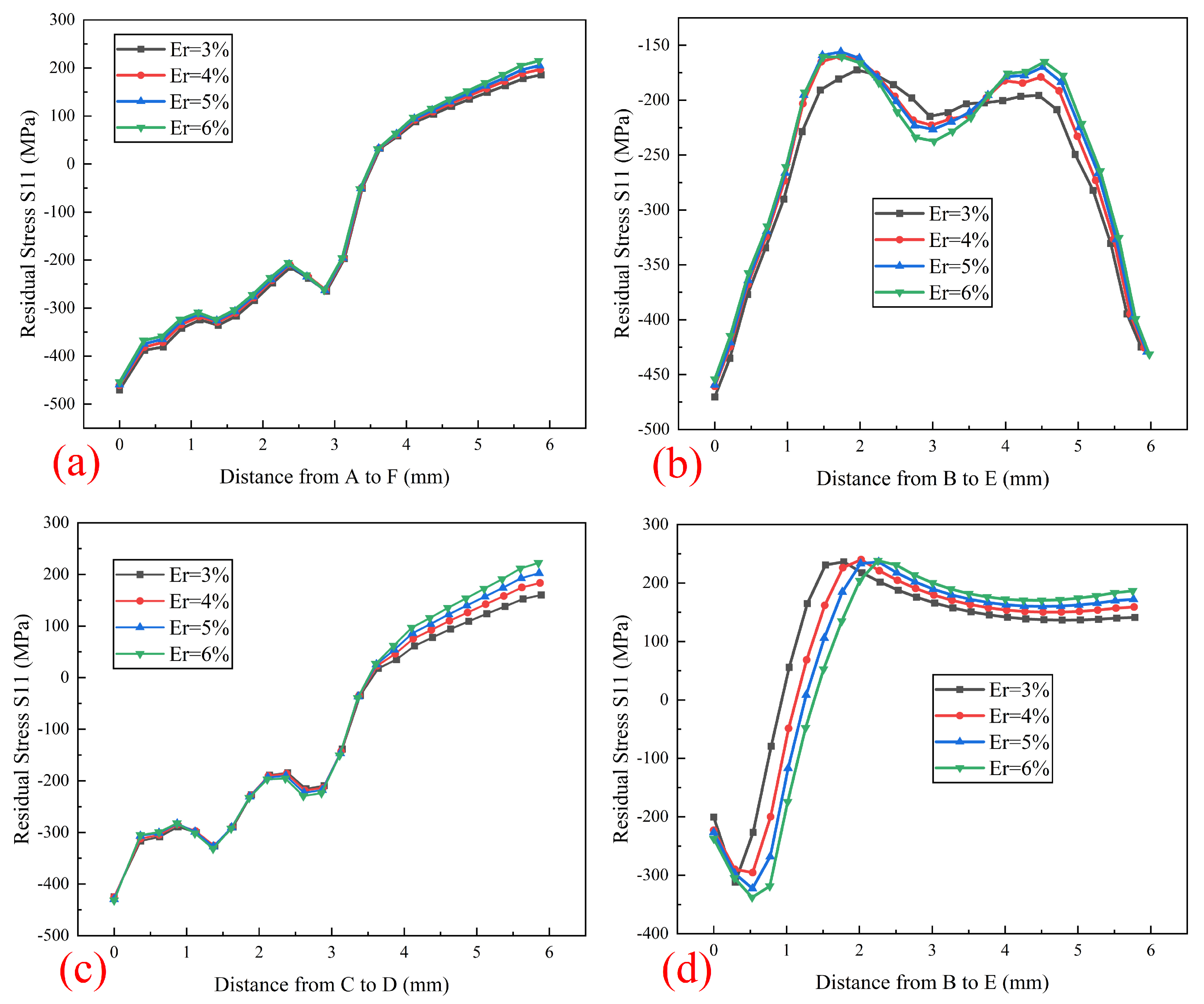
3.4. Influence of Extrusion Ratio on Residual Stress Distribution in LUE-1
3.5. Fatigue Test Results and Analysis
3.5.1. Comparison and Analysis of Fatigue Life
3.5.2. Macroscope Fractography
4. Discussion
5. Conclusions
Author Contributions
Funding
Data Availability Statement
Acknowledgments
Conflicts of Interest
References
- Chakherlou, T.; Aghdam, A.; Akbari, A.; Saeedi, K. Analysis of cold expanded fastener holes subjected to short time creep: Finite element modelling and fatigue tests. Mater. Des. 2010, 31, 2858–2866. [Google Scholar] [CrossRef]
- Zhang, X.; Chen, L.; Yu, X.; Zuo, L.; Zhou, Y. Effect of laser shock processing on fatigue life of fastener hole. Trans. Nonferrous Met. Soc. China 2014, 24, 969–974. [Google Scholar] [CrossRef]
- Chakherlou, T.; Vogwell, J. The effect of cold expansion on improving the fatigue life of fastener holes. Eng. Fail. Anal. 2003, 10, 13–24. [Google Scholar] [CrossRef]
- Liu, H.; Hu, D.; Wang, R.; Wang, X.; Jin, S.; Gu, Y. Experimental and numerical investigations on the influence of cold expansion on low cycle fatigue life of bolt holes in aeroengine superalloy disk at elevated temperature. Int. J. Fatigue 2020, 132, 105390. [Google Scholar] [CrossRef]
- Fu, Y.; Ge, E.; Su, H.; Xu, J.; Li, R. Cold expansion technology of connection holes in aircraft structures: A review and prospect. Chin. J. Aeronaut. 2015, 28, 961–973. [Google Scholar] [CrossRef]
- Zheng, G.; Cao, Z.; Wang, Y.; Talemi, R. Fatigue response of open hole plates: A finite element simulation investigating the influence of dynamic and static cold expansion processes. Finite Elem. Anal. Des. 2024, 230, 104085. [Google Scholar] [CrossRef]
- Shamdani, A.H.; Khoddam, S. A comparative numerical study of combined cold expansion and local torsion on fastener holes. Fatigue Fract. Eng. Mater. Struct. 2012, 35, 918–928. [Google Scholar] [CrossRef]
- Liu, Y.; Liu, J.; Shao, X. Study on the residual stress fields, surface quality, and fatigue performance of cold expansion hole. Mater. Manuf. Process. 2011, 26, 294–303. [Google Scholar] [CrossRef]
- Liu, Y.; Geng, D.; Shao, Z.; Zhou, Z.; Jiang, X.; Zhang, D. A study on strengthening and machining integrated ultrasonic peening drilling of Ti-6Al-4V. Mater. Des. 2021, 212, 110238. [Google Scholar] [CrossRef]
- Han, G.; Wan, W.; Zhang, Z.; Xu, L.; Liu, F.; Zhang, H. Experimental investigation into effects of different ultrasonic vibration modes in micro-extrusion process. J. Manuf. Process. 2021, 67, 427–437. [Google Scholar] [CrossRef]
- Mousavi, S.A.; Feizi, H.; Madoliat, R. Investigations on the effects of ultrasonic vibrations in the extrusion process. J. Mater. Process. Technol. 2007, 187–188, 657–661. [Google Scholar] [CrossRef]
- Deng, W.; Wang, C.; Lu, H.; Meng, X.; Wang, Z.; Lv, J.; Luo, K.; Lu, J. Progressive developments, challenges and future trends in laser shock peening of metallic materials and alloys: A comprehensive review. Int. J. Mach. Tools Manuf. 2023, 191, 104061. [Google Scholar] [CrossRef]
- Thiruneelakandan, R.; Balamurugan, R.; Prakasam, R. Improvised surface property of Al-7075 alloy by laser shock peening technique. Mater. Today Proc. 2023, 92, 1597–1601. [Google Scholar] [CrossRef]
- Zheng, X.; Luo, P.; Yue, G.; Hu, Y. Analysis of microstructure and high-temperature tensile properties of 2060 Al-Li alloy strengthened by laser shock peening. J. Alloys Compd. 2021, 860, 158539. [Google Scholar] [CrossRef]
- Sun, R.; Che, Z.; Cao, Z.; Zhang, H.; Zou, S.; Wu, J.; Guo, W. Effect of laser shock peening on high cycle fatigue failure of bolt connected AA2024-T351 hole structures. Eng. Fail. Anal. 2022, 141, 106625. [Google Scholar] [CrossRef]
- Kashaev, N.; Ventzke, V.; Horstmann, M.; Chupakhin, S.; Riekehr, S.; Falck, R.; Maawad, E.; Staron, P.; Schell, N.; Huber, N. Effects of laser shock peening on the microstructure and fatigue crack propagation behaviour of thin AA2024 specimens. Int. J. Fatigue 2017, 98, 223–233. [Google Scholar] [CrossRef]
- Gu, C.; Su, M.; Tian, Z.; Zhao, J.; Wang, Y. Multi-scale simulation study on the evolution of stress waves and dislocations in Ti alloy during laser shock peening processing. Opt. Laser Technol. 2023, 165, 109629. [Google Scholar] [CrossRef]
- Jiang, Y.; Wang, S.; Jiang, W.; Gan, X.; Hua, C.; Qi, H.; Zhao, Y.; Huang, J. Fatigue life and fracture evolution of small-hole specimens by laser shock processing. Opt. Laser Technol. 2020, 131, 106423. [Google Scholar] [CrossRef]
- Jiang, Y.; Li, X.; Jiang, W.; Wan, Q.; Gan, X.; Zhao, Y.; Hua, C.; Li, X.; Zhang, J. Thickness effect in laser shock processing for test specimens with a small hole under smaller laser power density. Opt. Laser Technol. 2019, 114, 127–134. [Google Scholar] [CrossRef]
- Jiang, Y.; Wang, Y.; Sun, J.; Wu, G.; Jiang, W.; Liu, X.; Li, X. Study on the composite strengthening with laser shock processing and ultrasonic extrusion strengthening for small hole components. Int. J. Fatigue 2023, 177, 107908. [Google Scholar] [CrossRef]
- Tang, C.; Li, H.; Li, K. Data-driven fatigue life prediction of small-deep holes in a nickel-based superalloy after a cold expansion process. Int. J. Fatigue 2024, 181, 108159. [Google Scholar] [CrossRef]
- Achintha, M.; Nowell, D. Eigenstrain modelling of residual stresses generated by laser shock peening. J. Mater. Process. Technol. 2011, 211, 1091–1101. [Google Scholar] [CrossRef]
- Amarchinta, H.K.; Grandhi, R.V.; Clauer, A.H.; Langer, K.; Stargel, D.S. Simulation of residual stress induced by a laser peening process through inverse optimization of material models. J. Mater. Process. Technol. 2010, 210, 1997–2006. [Google Scholar] [CrossRef]
- Liu, F.; Su, H.; Liang, Y.; Xu, J. Fatigue performance on 7050 aluminum alloy by using ultrasonic vibration-assisted hole expansion strengthening. Int. J. Adv. Manuf. Technol. 2023, 128, 5153–5165. [Google Scholar] [CrossRef]
- Li, Q.; Xue, Q.; Hu, Q.; Song, T.; Wang, Y.; Li, S.; Fu, F. Cold Expansion Strengthening of 7050 Aluminum Alloy Hole: Structure, Residual Stress, and Fatigue Life. Int. J. Aerosp. Eng. 2022, 2022, 4057898. [Google Scholar] [CrossRef]
- Fu, S.; Wang, M.; Zuo, D.W. Prolonging fatigue life mechanism and test of coldworked hole. Aeronaut. Manuf. Technol. 1998, 1, 24–26. [Google Scholar]
- Ren, X.; Zhan, Q.; Yang, H.; Dai, F.; Cui, C.; Sun, G.; Ruan, L. The effects of residual stress on fatigue behavior and crack propagation from laser shock processing-worked hole. Mater. Des. 2013, 44, 149–154. [Google Scholar] [CrossRef]
- Zhang, Y.; Jian, X.; Xia, F. Effect of laser shock peening on surface integrity and tensile fatigue behavior of TB8 bolts. Eng. Fail. Anal. 2024, 157, 107968. [Google Scholar] [CrossRef]
- Karabin, M.; Barlat, F.; Schultz, R. Numerical and experimental study of the cold expansion process in 7085 plate using a modified split sleeve. J. Mater. Process. Technol. 2007, 189, 45–57. [Google Scholar] [CrossRef]
- Su, R.; Li, J.; Liu, W.; Xu, C.; Gao, L.; Liang, X.; Wu, D.; Huang, X.; Dong, H.; Ma, H. Investigation on fatigue failure of split-sleeve cold expansion holes of 7075-T651 aluminum alloy. Mater. Today Commun. 2023, 35, 106290. [Google Scholar] [CrossRef]

















| Material | Density/(kg/m3) | Yield Strength/MPa | Poisson’s Ratio | Elastic Modulus/GPa |
|---|---|---|---|---|
| 7050-T7451 | 2830 | 441 | 0.33 | 69 |
| Plate No. | Si | Fe | Cu | Mn | Mg | Cr | Zr | Zn | Ti | Al |
|---|---|---|---|---|---|---|---|---|---|---|
| 7050 (wt%) | 0.12 | 0.15 | 2.0–2.6 | 0.10 | 1.9–2.6 | 0.04 | 0.08–0.15 | 5.7–6.7 | 0.06 | Remainder |
| Material | A | B | C | n |
|---|---|---|---|---|
| 7050-T7451 | 0.441 GPa | 0.177344 GPa | 0.02 | 0.33583 |
| Sample No. | Strengthening Process | P/GPa | Untreated End Life/N1 | Increased Life/N2 | Treated End Life N1 + N2 | Fatigue Life Gain N2/N1 |
|---|---|---|---|---|---|---|
| 1 | LSP | 2.6 | 65,468 | 72,519 | 137,987 | 110.77% |
| 2 | LSP | 2.6 | 67,145 | 79,594 | 146,739 | 118.54% |
| 3 | LSP | 4.5 | 67,855 | 131,374 | 199,229 | 193.61% |
| 4 | LUE-1 | 2.6 | 69,355 | 215,455 | 284,810 | 310.66% |
| 5 | LUE-1 | 2.6 | 68,539 | 211,457 | 279,996 | 308.52% |
Disclaimer/Publisher’s Note: The statements, opinions and data contained in all publications are solely those of the individual author(s) and contributor(s) and not of MDPI and/or the editor(s). MDPI and/or the editor(s) disclaim responsibility for any injury to people or property resulting from any ideas, methods, instructions or products referred to in the content. |
© 2024 by the authors. Licensee MDPI, Basel, Switzerland. This article is an open access article distributed under the terms and conditions of the Creative Commons Attribution (CC BY) license (https://creativecommons.org/licenses/by/4.0/).
Share and Cite
Jiang, Y.; Liu, X.; Wang, Y.; Cui, L.; Ji, G.; Liu, W. Investigation of Residual Stress Distribution and Fatigue of 7050-T7451 Alloy Hole Components with Laser Shock and Ultrasonic Extrusion. Metals 2024, 14, 597. https://doi.org/10.3390/met14050597
Jiang Y, Liu X, Wang Y, Cui L, Ji G, Liu W. Investigation of Residual Stress Distribution and Fatigue of 7050-T7451 Alloy Hole Components with Laser Shock and Ultrasonic Extrusion. Metals. 2024; 14(5):597. https://doi.org/10.3390/met14050597
Chicago/Turabian StyleJiang, Yinfang, Xiancheng Liu, Yangyang Wang, Lingling Cui, Guang Ji, and Wei Liu. 2024. "Investigation of Residual Stress Distribution and Fatigue of 7050-T7451 Alloy Hole Components with Laser Shock and Ultrasonic Extrusion" Metals 14, no. 5: 597. https://doi.org/10.3390/met14050597
APA StyleJiang, Y., Liu, X., Wang, Y., Cui, L., Ji, G., & Liu, W. (2024). Investigation of Residual Stress Distribution and Fatigue of 7050-T7451 Alloy Hole Components with Laser Shock and Ultrasonic Extrusion. Metals, 14(5), 597. https://doi.org/10.3390/met14050597
