Atomistic Simulation Study of Grain Boundary Segregation and Grain Boundary Migration in Ni-Cr Alloys
Abstract
1. Introduction
2. Methods and Models
2.1. Methods
2.2. Grain Boundaries
3. Results and Discussion
3.1. Temperature and Composition-Dependent Cr Segregation at Ni Grain Boundary
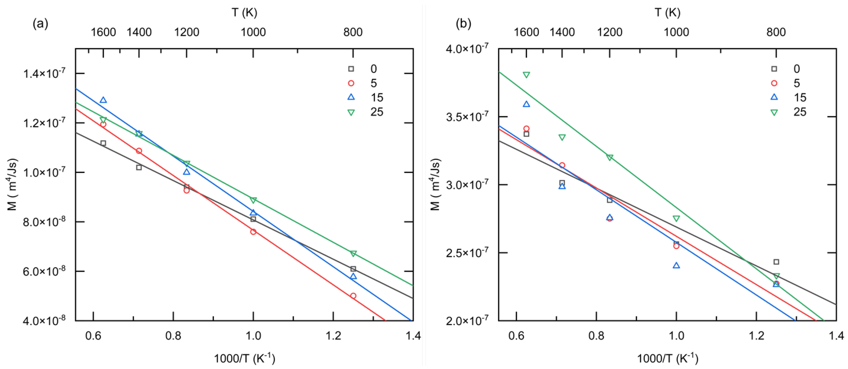
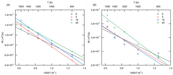
3.2. Effect of Segregation on Grain Boundary Migration
3.3. Analyzing the Effects of Grain Boundary Atom Diffusion and Lattice Distortion on Grain Boundary Migration
4. Conclusions
- Grain boundary segregation increases at decreased temperatures, with a more substantial segregation of Cr to the grain boundaries at lower temperatures. However, not all Cr segregates to the grain boundaries due to the high mutual solubility of Cr in the Ni-base, leading to a smaller tendency towards Cr segregation. This effect is more significant for LAGB.
- For the Σ5(310)[010] grain boundary, at a low temperature (800 K), the roughing period of the grain boundary migration is longer, and the grain boundary undergoes a long slow acceleration movement. Compared with pure nickel, all alloys have a longer roughing time, but this increase decreases with the upper Cr concentration of the alloy. At a higher temperature (1200 K), the coarsening period is shorter, the grain boundary migration starts earlier, and the influence of solute concentration is small. For all Σ101(200)[100] GB models, the roughening process of grain boundary is not found. The solute concentration in the bulk also affects the grain boundary mobility and is complex. And the behavior of the two kinds of grain boundaries is opposite.
- For Σ5(310)[010] grain boundary, Cr segregation can decrease Ni self-propagation to impede grain boundary movement, while there is no such phenomenon at small angle grain boundaries. The distribution of segregated Cr atoms on grain boundaries is relatively uniform, and the lattice distortion increases with the total Cr concentration in the system.
Author Contributions
Funding
Data Availability Statement
Conflicts of Interest
References
- Ghaffari, Y.; Daub, K.; Long, F.; Persaud, S.Y. Intergranular oxidation behaviour of Ni-Cr-Al model alloys in 480 °C hydrogenated steam. Corros. Sci. 2024, 226, 111678. [Google Scholar] [CrossRef]
- Wang, X.; Liu, Z.; Cheng, K.; Kong, Y. Chlorine-induced high-temperature corrosion characteristics of Ni-Cr alloy cladding layer and Ni-Cr-Mo alloy cladding layer. Corros. Sci. 2023, 216, 111102. [Google Scholar] [CrossRef]
- Keskar, N.; Krishna, K.V.M.; Gupta, C.; Singh, J.B.; Tewari, R. The effect of Cr content on the microstructural and textural evolution and the mechanical properties of Ni-Cr binary alloys. Mater. Today Commun. 2022, 33, 104831. [Google Scholar] [CrossRef]
- Li, X.Z.; Li, H.C.; Wang, Y.T.; Li, B. Investigations on the behavior of laser cladding Ni-Cr-Mo alloy coating on TP347H stainless steel tube in HCl rich environment. Surf. Coat. Technol. 2013, 232, 627–639. [Google Scholar] [CrossRef]
- Theska, F.; Stanojevic, A.; Oberwinkler, B.; Primig, S. Microstructure-property relationships in directly aged Alloy 718 turbine disks. Mater. Sci. Eng. A 2020, 776, 138967. [Google Scholar] [CrossRef]
- Dong, H.; Yang, J.; Xia, Y.; Xu, X.; Li, P.; Dong, C.; Zheng, L. Effect of Cr content in Ni-based amorphous filler on microstructure and shear strength of K4169 nickel-based alloy brazed joint. J. Mater. Process. Technol. 2021, 290, 116975. [Google Scholar] [CrossRef]
- Meng, F.; Qiu, J.; Baker, I. The effects of chromium on the microstructure and tensile behavior of Fe30Ni20Mn35Al15. Mater. Sci. Eng. A 2013, 586, 45–52. [Google Scholar] [CrossRef]
- Xue, F.; Marquis, E.A. Role of diffusion-induced grain boundary migration in the oxidation response of a Ni-30 Cr alloy. Acta Mater. 2022, 240, 118343. [Google Scholar] [CrossRef]
- Ebner, A.S.; Jakob, S.; Clemens, H.; Pippan, R.; Maier-Kiener, V.; He, S.; Razumovskiy, V.I. Grain boundary segregation in Ni-base alloys: A combined atom probe tomography and first principles study. Acta Mater. 2021, 221, 117354. [Google Scholar] [CrossRef]
- Shi, Y.; Xue, H.; Tang, F.; Lu, X.; Ren, J.; Li, J. Effects of transition metal segregation on the thermodynamic stability and strength of Ni Σ11 [110](113) symmetrical tilt grain boundary. Vacuum 2023, 212, 112036. [Google Scholar] [CrossRef]
- Srivastav, A.K.; Chawake, N.; Murty, B.S. Grain-size-dependent non-monotonic lattice parameter variation in nanocrystalline W: The role of non-equilibrium grain boundary structure. Scr. Mater. 2015, 98, 20–23. [Google Scholar] [CrossRef]
- Al-Zuhairi, O.; Anuar, A.; Makinudin, A.H.A.; Bakar, A.S.A.; Azlan, M.N.; Supangat, A. Magnesium doped semipolar (11–22) p-type gallium nitride: Impact of dopant concentration variants towards grain size distributions and crystalline quality. Thin Solid Film. 2022, 741, 139003. [Google Scholar] [CrossRef]
- Yadav, N.; Parker, S.C.; Tewari, A. Genetic algorithm assisted multiscale modeling of grain boundary segregation of Al in ZnO and its correlation with nominal dopant concentration. J. Eur. Ceram. Soc. 2024, 4, 944–953. [Google Scholar] [CrossRef]
- Olmsted, D.L.; Holm, E.A.; Foiles, S.M. Survey of computed grain boundary properties in face-centered cubic metals-II: Grain boundary mobility. Acta Mater. 2009, 57, 3704–3713. [Google Scholar] [CrossRef]
- Brandon, D. 25 Year Perspective Defining grain boundaries: An historical perspective the development and limitations of coincident site lattice models. Mater. Sci. Technol. 2010, 26, 762–773. [Google Scholar] [CrossRef]
- Hu, C.; Dingreville, R.; Boyce, B.L. Computational modeling of grain boundary segregation: A review. Comput. Mater. Sci. 2024, 32, 112596. [Google Scholar] [CrossRef]
- Zhang, X.; Zhang, L.; Zhang, Z.; Huang, X. Effect of solute atoms segregation on Al grain boundary energy and mechanical properties by first-principles study. Mech. Mater. 2023, 185, 104775. [Google Scholar] [CrossRef]
- Lu, P.; Abdeljawad, F.; Rodriguez, M.; Chandross, M.; Adams, D.P.; Boyce, B.L.; Clark, B.G.; Argibay, N. On the thermal stability and grain boundary segregation in nanocrystalline PtAu alloys. Materialia 2019, 6, 100298. [Google Scholar] [CrossRef]
- Wu, C.; Zhan, L.; Liu, Q.; Liu, H.; Wang, J.; Liu, W.; Yao, S.; Ma, Y. Grain boundary segregation for enhancing the thermal stability of alumina-mullite diphasic fibers by La2O3 addition. J. Eur. Ceram. Soc. 2023, 43, 7012–7022. [Google Scholar] [CrossRef]
- Yang, M.; Zhou, J.; Huang, H.; Cao, S.; Hu, Q.-M.; Li, W.; Chen, Q.; Qiao, Y.; Wang, H. High-throughput first-principles investigation on grain boundary segregation of alloying elements in ferritic steel. J. Mater. Res. Technol. 2023, 26, 2140–2150. [Google Scholar] [CrossRef]
- Sathiaraj, G.D.; Bhattacharjee, P.P.; Tsai, C.-W.; Yeh, J.-W. Effect of heavy cryo-rolling on the evolution of microstructure and texture during annealing of equiatomic CoCrFeMnNi high entropy alloy. Intermetallics 2016, 69, 1–9. [Google Scholar] [CrossRef]
- Mishin, Y. Solute drag and dynamic phase transformations in moving grain boundaries. Acta Mater. 2019, 179, 383–395. [Google Scholar] [CrossRef]
- John, C.W. The Impurity-Drag Effect in Grain Boundary Motion. Acta Metall. 1962, 10, 789–798. [Google Scholar] [CrossRef]
- Koju, R.K.; Mishin, Y. Atomistic study of grain-boundary segregation and grain-boundary diffusion in Al-Mg alloys. Acta Mater. 2020, 201, 596–603. [Google Scholar] [CrossRef]
- Suzuki, A.; Mishin, Y. Interaction of Point Defects with Grain Boundaries in fcc Metals. Interface Sci. 2003, 11, 425–437. [Google Scholar] [CrossRef]
- Janssens, K.G.; Olmsted, D.; Holm, E.A.; Foiles, S.M.; Plimpton, S.J.; Derlet, P.M. Computing the mobility of grain boundaries. Nat. Mater. 2006, 5, 124–127. [Google Scholar] [CrossRef]
- Gottstein, G.; Molodov, D.A.; Shvindlerman, L.S. Grain Boundary Migration in Metals: Recent Developments. Interface Sci. 1998, 6, 7–22. [Google Scholar] [CrossRef]
- Koju, R.K.; Mishin, Y. Relationship between grain boundary segregation and grain boundary diffusion in Cu-Ag alloys. Phys. Rev. Mater. 2020, 4, 073403. [Google Scholar] [CrossRef]
- Liu, R.; Li, S.; Chen, L.; Li, J.; Kong, L. Investigation of edge dislocation mobility in Ni-Co solid solutions by molecular dynamics simulation. Mater. Today Commun. 2024, 38, 107779. [Google Scholar] [CrossRef]
- Baruffi, C.; Curtin, W.A. Theory of spontaneous grain boundary roughening in high entropy alloys. Acta Mater. 2022, 234, 118011. [Google Scholar] [CrossRef]
- Olmsted, D.L.; Foiles, S.M.; Holm, E.A. Grain boundary interface roughening transition and its effect on grain boundary mobility for non-faceting boundaries. Scr. Mater. 2007, 57, 1161–1164. [Google Scholar] [CrossRef]
- Utt, D.; Stukowski, A.; Albe, K. Grain boundary structure and mobility in high-entropy alloys: A comparative molecular dynamics study on a Σ11 symmetrical tilt grain boundary in face-centered cubic CuNiCoFe. Acta Mater. 2020, 186, 11–19. [Google Scholar] [CrossRef]
- Detor, A.J.; Schuh, C.A. Grain boundary segregation, chemical ordering and stability of nanocrystalline alloys: Atomistic computer simulations in the Ni–W system. Acta Mater. 2007, 55, 4221–4232. [Google Scholar] [CrossRef]
- Kirchheim, R. Reducing grain boundary, dislocation line and vacancy formation energies by solute segregation. Acta Mater. 2007, 55, 5129–5138. [Google Scholar] [CrossRef]
- Wu, C.; Lee, B.; Su, X. Modified embedded-atom interatomic potential for Fe-Ni, Cr-Ni and Fe-Cr-Ni systems. Calphad 2017, 57, 98–106. [Google Scholar] [CrossRef]
- Plimpton, S. Fast Parallel Algorithms for Short-Range Molecular Dynamics. J. Comput. Phys. 1995, 117, 1–19. [Google Scholar] [CrossRef]
- Stukowski, A. Visualization and Analysis Strategies for Atomistic Simulations. In Multiscale Materials Modeling for Nanomechanics; Weinberger, C., Tucker, G., Eds.; Springer Series in Materials Science; Springer: Cham, Switzerland, 2016; Volume 245. [Google Scholar] [CrossRef]
- Hirel, P. Atomsk: A tool for manipulating and converting atomic data files. Comput. Phys. Commun. 2015, 197, 212–219. [Google Scholar] [CrossRef]
- Schratt, A.; Mohles, V. Efficient calculation of the ECO driving force for atomistic simulations of grain boundary motion. Comput. Mater. Sci. 2020, 182, 109774. [Google Scholar] [CrossRef]
- Suzuki, A.; Mishin, Y. Atomic mechanisms of grain boundary diffusion: Low versus high temperatures. J. Mater. Sci. 2005, 40, 3155–3161. [Google Scholar] [CrossRef]
- Sun, H.; Singh, C.V. Temperature dependence of grain boundary excess free volume. Scr. Mater. 2020, 178, 71–76. [Google Scholar] [CrossRef]
- Chang, L.-S.; Huang, K.-B. Temperature dependence of the grain boundary segregation of Bi in Ni polycrystals. Scr. Mater. 2004, 51, 551–555. [Google Scholar] [CrossRef]
- Frank, F. Grain Boundaries in Metals. Nature 1958, 181, 976–977. [Google Scholar] [CrossRef]
- Simonnin, P.; Schreiber, D.K.; Uberuaga, B.P.; Rosso, K.M. Atomic diffusion, segregation, and grain boundary migration in nickel-based alloys from molecular dynamics simulations. Mater. Today Commun. 2023, 35, 105768. [Google Scholar] [CrossRef]
- Nazrin, S.N.; Da Silva, M.P.; Li, M.S.; Marega, E., Jr. Activation energy and its fluctuations at grain boundaries of Er3+: BaTiO3 perovskite thin films: Effect of doping concentration and annealing temperature. Vacuum 2021, 194, 110562. [Google Scholar] [CrossRef]
- Chen, Q.; Wang, J.; Zhang, Y. Activation energy study of phosphorus-doped microcrystalline silicon thin films. Optik 2016, 127, 10437–10441. [Google Scholar] [CrossRef]
- Owen, L.R.; Jones, N.G. Quantifying local lattice distortions in alloys. Scr. Mater. 2020, 187, 428–433. [Google Scholar] [CrossRef]









| Temperature | Cr Concentration | Δμ | 
|---|---|---|
| 300 | 5 | 0.32 | 
| 15 | 0.36 | |
| 25 | 0.38 | |
| 600 | 5 | 0.215 | 
| 15 | 0.287 | |
| 25 | 0.3225 | |
| 900 | 5 | 0.115 | 
| 15 | 0.22 | |
| 25 | 0.275 | |
| 1200 | 5 | 0.01 | 
| 15 | 0.145 | |
| 25 | 0.22 | 
| 0 at%.Cr (Pure) | 5 at%.Cr | 15 at%.Cr | 25 at%.Cr | |
|---|---|---|---|---|
| Σ5(310)[010] | ||||
| QM(meV) | 64.76 | 61.26 | 49.86 | 42.43 | 
| M0(10−7 m4/Js) | 1.91 | 1.90 | 1.80 | 1.76 | 
| C(at%.) | 0 | 4.03 | 13.96 | 24.11 | 
| Σ101(200)[100] | ||||
| QM(meV) | 43.53 | 55.18 | 59.58 | 65.36 | 
| M0(10−7 m4/Js) | 4.43 | 4.92 | 5.09 | 5.96 | 
| C(at%.) | 0 | 3.02 | 12.06 | 21.80 | 
| Disclaimer/Publisher’s Note: The statements, opinions and data contained in all publications are solely those of the individual author(s) and contributor(s) and not of MDPI and/or the editor(s). MDPI and/or the editor(s) disclaim responsibility for any injury to people or property resulting from any ideas, methods, instructions or products referred to in the content. | 
© 2024 by the authors. Licensee MDPI, Basel, Switzerland. This article is an open access article distributed under the terms and conditions of the Creative Commons Attribution (CC BY) license (https://creativecommons.org/licenses/by/4.0/).
Share and Cite
Huang, P.; Xiao, Q.; Hu, W.; Huang, B.; Yuan, D. Atomistic Simulation Study of Grain Boundary Segregation and Grain Boundary Migration in Ni-Cr Alloys. Metals 2024, 14, 454. https://doi.org/10.3390/met14040454
Huang P, Xiao Q, Hu W, Huang B, Yuan D. Atomistic Simulation Study of Grain Boundary Segregation and Grain Boundary Migration in Ni-Cr Alloys. Metals. 2024; 14(4):454. https://doi.org/10.3390/met14040454
Chicago/Turabian StyleHuang, Pengwei, Qixin Xiao, Wangyu Hu, Bowen Huang, and Dingwang Yuan. 2024. "Atomistic Simulation Study of Grain Boundary Segregation and Grain Boundary Migration in Ni-Cr Alloys" Metals 14, no. 4: 454. https://doi.org/10.3390/met14040454
APA StyleHuang, P., Xiao, Q., Hu, W., Huang, B., & Yuan, D. (2024). Atomistic Simulation Study of Grain Boundary Segregation and Grain Boundary Migration in Ni-Cr Alloys. Metals, 14(4), 454. https://doi.org/10.3390/met14040454
 
        



 
       