Molecular Dynamics Study of Temperature Dependence of Grain Boundaries (100) in Pure Aluminum with Application of Machine Learning
Abstract
1. Introduction
2. Materials and Methods
3. Results
3.1. Influence of Temperature on GB Energy
3.2. Description of the GB Energy Function in the Form of Feed-Forward Neural Network
4. Discussion
5. Conclusions
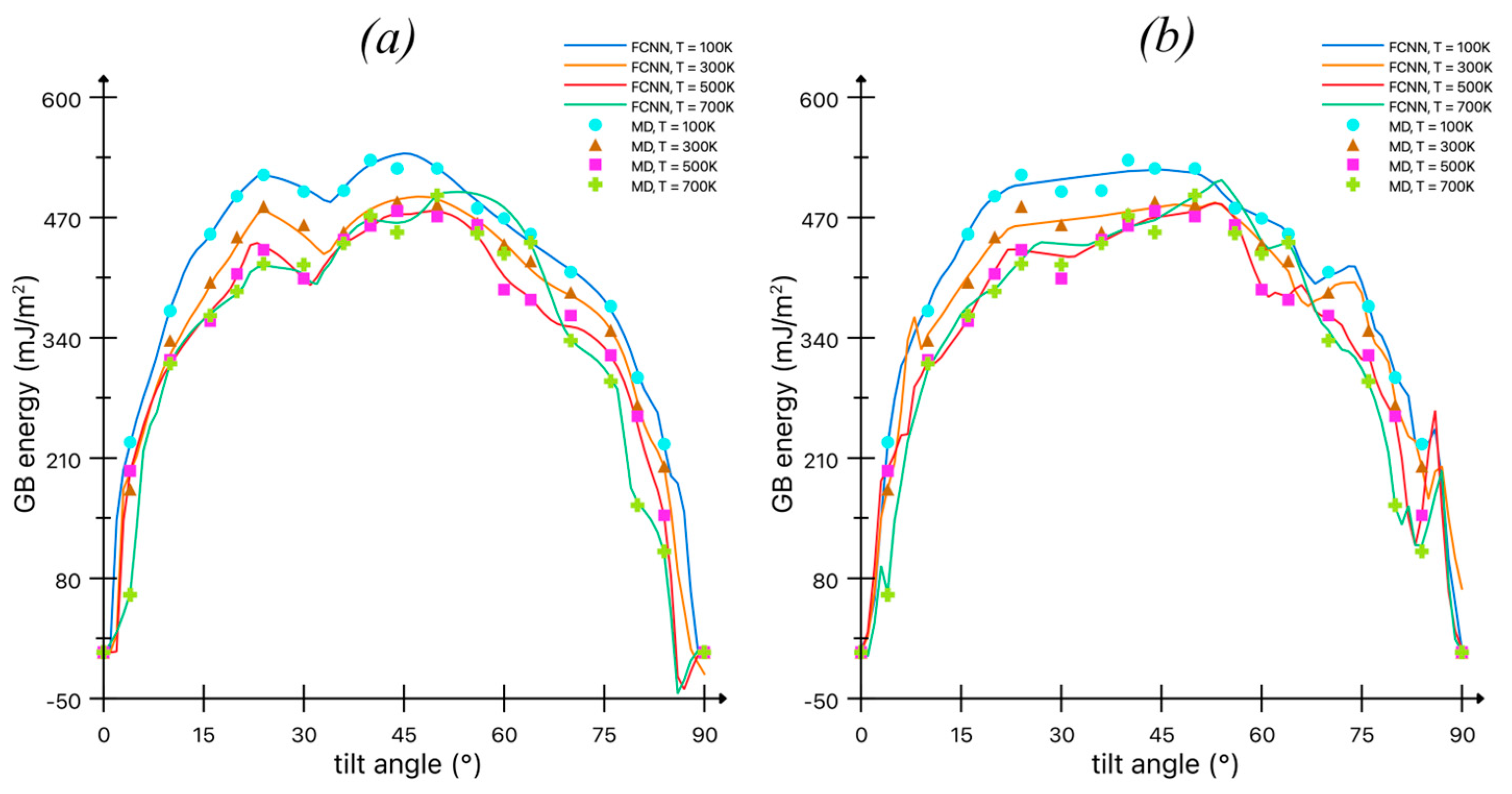
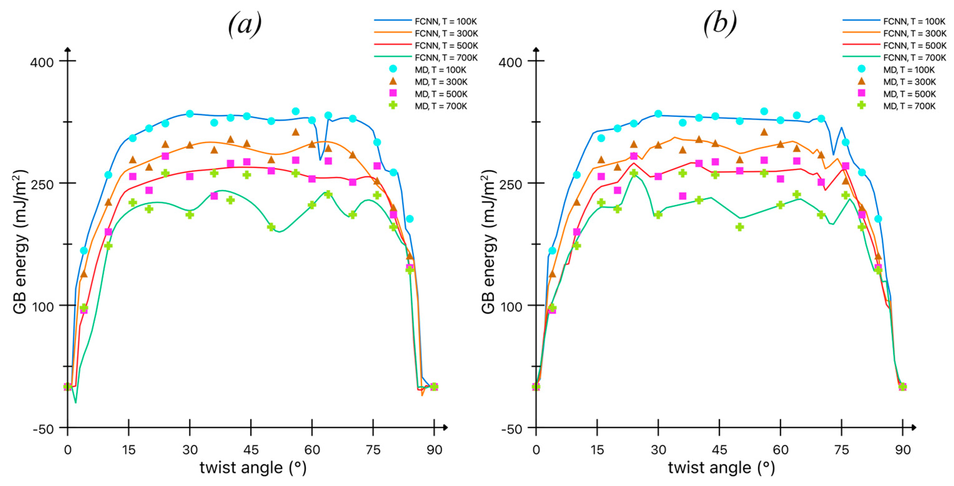
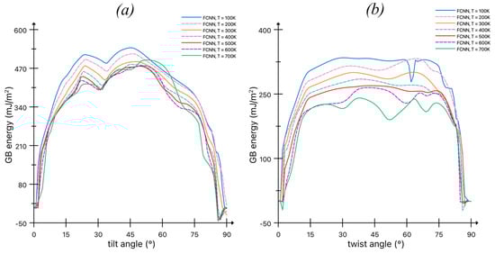
- As the results show, the average energies calculated from all obtained energy states of the GB with fixed grain misorientation at the MD modelling stage of maintaining the bicrystalline system at constant temperature and minimum stress growth with increasing temperature. At the same time, the minimum energies obtained at this MD stage decrease with increasing temperature, which is in agreement with the results of other studies. Both direct measurements of the GB energy based on atomistic modelling and measurements of the relative GB energy based on experiment.
- The obtained energy spread shows the level of decrease in the minimum GB energy with increasing temperature and the level of total energy change with taking into account the increase in the average energy of the boundaries. It is shown that the energy spread is generally larger for the twist GBs, with the maximum energy growth observed in the region of high-angle boundaries. The level of energy change with increasing temperature is smaller for the tilt GBs; the energy spread shifts towards low-angle boundaries, which may be due to a rather large number of special high-angle boundaries. The decrease in the minimum energy is compared with the results of other works and is in reasonable agreement, and the average energy decrease is about 20%.
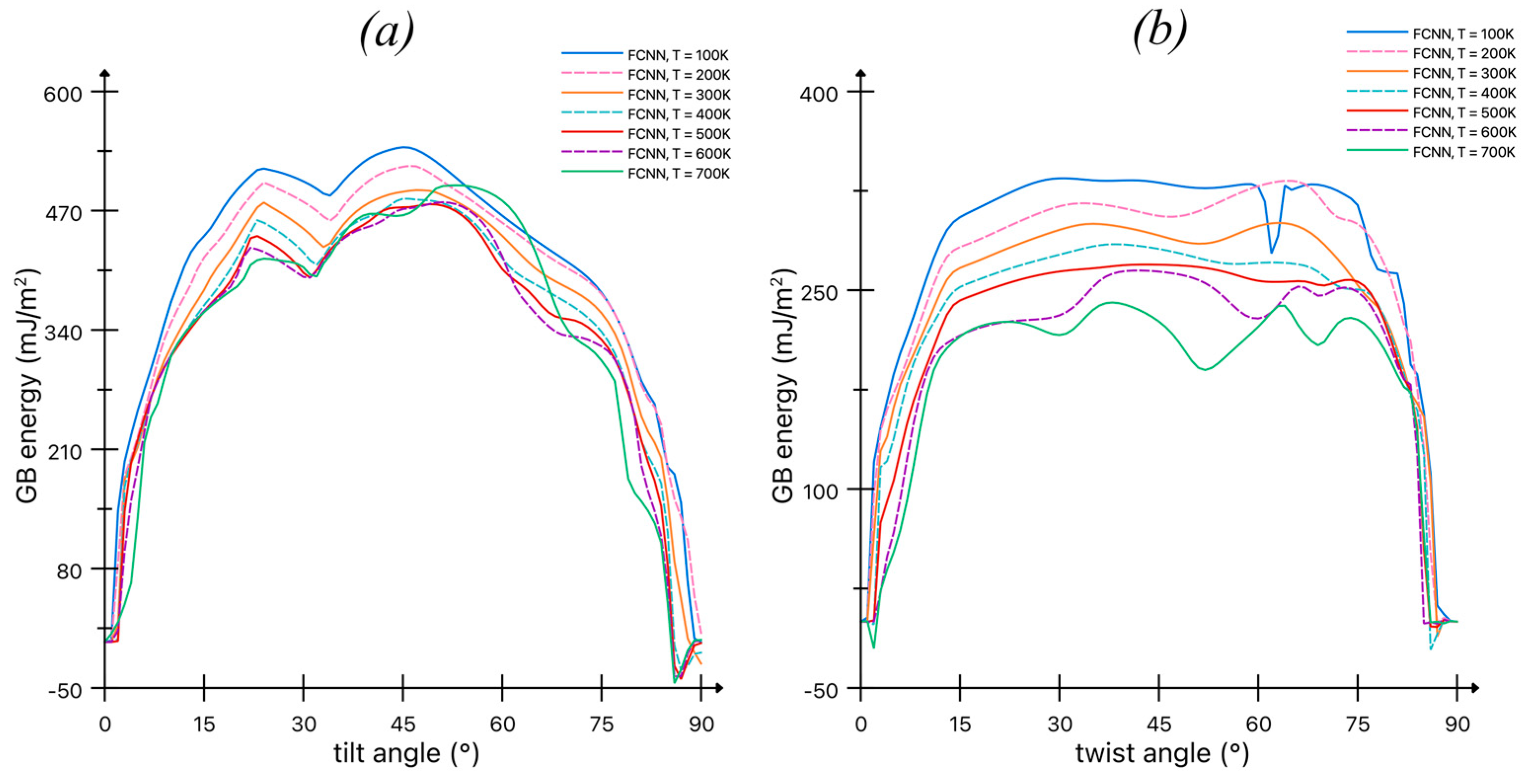
- Using the example of a trained FCNN with non-linear Swish activation functions in hidden layers, it is shown that the prediction of GB energies using this FCNN is more physically reasonable. Such a network reproduces more adequate point-to-point interpolation of GB energies obtained from MD simulations, which is particularly strong for tilt boundaries. The trained FCNN is able to describe GB energies for intermediate temperatures in a continuous range from 100 to 700 K, as shown for several temperatures missing in the dataset: 200, 400, and 600 K.
Funding
Data Availability Statement
Conflicts of Interest
References
- Salama, H.; Kundin, J.; Shchyglo, O.; Mohles, V.; Marquardt, K.; Steinbach, I. Role of inclination dependence of grain boundary energy on the microstructure evolution during grain growth. Acta Mater. 2020, 188, 641–651. [Google Scholar] [CrossRef]
- Hallberg, H.; Bulatov, V.V. Modeling of grain growth under fully anisotropic grain boundary energy. Model. Simul. Mater. Sci. Eng. 2019, 27, 045002. [Google Scholar] [CrossRef]
- Liu, G.; Zhang, D.; Yao, C. Investigation of the grain refinement mechanism in machining Ti-6Al-4V: Experiments and simulations. J. Manuf. Process. 2023, 94, 479–496. [Google Scholar] [CrossRef]
- Wang, K.; Xu, Y.; Zhan, W.; Xu, J. The impact of structural units on the dislocation nucleation of bi-crystal copper grain boundary. Comput. Mater. Sci. 2023, 218, 111900. [Google Scholar] [CrossRef]
- Yin, Q.; Wang, Z.; Mishra, R.; Xia, Z. Atomic simulations of twist grain boundary structures and deformation behaviors in aluminum. AIP Adv. 2017, 7, 015040. [Google Scholar] [CrossRef]
- Burbery, N.J.; Das, R.; Ferguson, W.G. Modelling with variable atomic structure: Dislocation nucleation from symmetric tilt grain boundaries in aluminium. Comput. Mater. Sci. 2015, 101, 16–28. [Google Scholar] [CrossRef]
- Burbery, N.J.; Das, R.; Ferguson, W.G. Thermo-kinetic mechanisms for grain boundary structure multiplicity, thermal instability and defect interactions. Mater. Chem. Phys. 2016, 179, 254–265. [Google Scholar] [CrossRef]
- Zhang, L.; Lu, C.; Tieu, K. A review on atomistic simulation of grain boundary behaviors in face-centered cubic metals. Comput. Mater. Sci. 2016, 118, 180–191. [Google Scholar] [CrossRef]
- Lee, J.-L.; Wang, P.-T.; Lo, K.-C.; Shen, P.-K.; Tsou, N.-T.; Kakehi, K.; Murakami, H.; Tsai, C.-W.; Gorsse, S.; Yeh, A.-C. Effect of serrated grain boundary on tensile and creep properties of a precipitation strengthened high entropy alloy. Sci. Technol. Adv. Mater. 2023, 24, 2158043. [Google Scholar] [CrossRef]
- Li, X.; Guan, X.; Jia, Z.; Chen, P.; Fan, C.; Shi, F. Twin-Related Grain Boundary Engineering and Its Influence on Mechanical Properties of Face-Centered Cubic Metals: A Review. Metals 2023, 13, 155. [Google Scholar] [CrossRef]
- Dolzhenko, P.; Tikhonova, M.; Odnobokova, M.; Kaibyshev, R.; Belyakov, A. On Grain Boundary Engineering for a 316L Austenitic Stainless Steel. Metals 2022, 12, 2185. [Google Scholar] [CrossRef]
- Niño, J.D.; Johnson, O.K. Influence of grain boundary energy anisotropy on the evolution of grain boundary network structure during 3D anisotropic grain growth. Comput. Mater. Sci. 2023, 217, 111879. [Google Scholar] [CrossRef]
- Holm, E.A.; Rohrer, G.S.; Foiles, S.M.; Rollett, A.D.; Miller, H.M.; Olmsted, D.L. Validating computed grain boundary energies in fcc metals using the grain boundary character distribution. Acta Mater. 2011, 59, 5250–5256. [Google Scholar] [CrossRef]
- Ratanaphan, S.; Raabe, D.; Sarochawikasit, R.; Olmsted, D.L.; Rohrer, G.S.; Tu, K.N. Grain boundary character distribution in electroplated nanotwinned copper. J. Mater. Sci. 2017, 52, 4070–4085. [Google Scholar] [CrossRef]
- Sutton, A.P.; Balluffi, R.W. Overview no. 61 On geometric criteria for low interfacial energy. Acta Metall. 1987, 35, 2177–2201. [Google Scholar] [CrossRef]
- Hasson, G.C.; Goux, C. Interfacial energies of tilt boundaries in aluminium. Experimental and theoretical determination. Scr. Metall. 1971, 5, 889–894. [Google Scholar] [CrossRef]
- Li, C.; Lu, S.; Vitos, L. Predicting grain boundary energies of complex alloys from ab initio calculations. Scr. Mater. 2021, 203, 114118. [Google Scholar] [CrossRef]
- Ratanaphan, S.; Sarochawikasit, R.; Kumanuvong, N.; Hayakawa, S.; Beladi, H.; Rohrer, G.S.; Okita, T. Atomistic simulations of grain boundary energies in austenitic steel. J. Mater. Sci. 2019, 54, 5570–5583. [Google Scholar] [CrossRef]
- Kim, H.-K.; Ko, W.-S.; Lee, H.-J.; Kim, S.G.; Lee, B.-J. An identification scheme of grain boundaries and construction of a grain boundary energy database. Scr. Mater. 2011, 64, 1152–1155. [Google Scholar] [CrossRef]
- Holm, E.A.; Olmsted, D.L.; Foiles, S.M. Comparing grain boundary energies in face-centered cubic metals: Al, Au, Cu and Ni. Scr. Mater. 2010, 63, 905–908. [Google Scholar] [CrossRef]
- Tschopp, M.A.; Coleman, S.P.; McDowell, D.L. Symmetric and asymmetric tilt grain boundary structure and energy in Cu and Al (and transferability to other fcc metals). Integr. Mater. Manuf. Innov. 2015, 4, 176–189. [Google Scholar] [CrossRef]
- Brink, T.; Langenohl, L.; Bishara, H.; Dehm, G. Universality of grain boundary phases in fcc metals: Case study on high-angle [111] symmetric tilt grain boundaries. Phys. Rev. B 2023, 107, 054103. [Google Scholar] [CrossRef]
- Han, J.; Vitek, V.; Srolovitz, D.J. Grain-boundary metastability and its statistical properties. Acta Mater. 2016, 104, 259–273. [Google Scholar] [CrossRef]
- Sarochawikasit, R.; Wang, C.; Kumam, P.; Beladi, H.; Okita, T.; Rohrer, G.S.; Ratanaphan, S. Grain boundary energy function for α iron. Materialia 2021, 19, 101186. [Google Scholar] [CrossRef]
- Bulatov, V.V.; Reed, R.W.; Kumar, M. Grain boundary energy function for fcc metals. Acta Mater. 2014, 65, 161–175. [Google Scholar] [CrossRef]
- Zheng, H.; Li, X.-G.; Tran, R.; Chen, C.; Horton, M.; Winston, D.; Persson, K.A.; Ong, S.P. Grain Boundary Properties of Elemental Metals. Acta Mater. 2020, 186, 40–49. [Google Scholar] [CrossRef]
- Ye, W.; Zheng, H.; Chen, C.; Ong, S.P. A Universal Machine Learning Model for Elemental Grain Boundary Energies. Scr. Mater. 2022, 218, 114803. [Google Scholar] [CrossRef]
- Kiyohara, S.; Oda, H.; Miyata, T.; Mizoguchi, T. Prediction of interface structures and energies via virtual screening. Sci. Adv. 2016, 2, e1600746. [Google Scholar] [CrossRef]
- Nishiyama, T.; Seko, A.; Tanaka, I. Application of machine learning potentials to predict grain boundary properties in fcc elemental metals. Phys. Rev. Mater. 2020, 4, 123607. [Google Scholar] [CrossRef]
- Borges, Y.; Huber, L.; Zapolsky, H.; Patte, R.; Demange, G. Insights from symmetry: Improving machine-learned models for grain boundary segregation. Comput. Mater. Sci. 2024, 22, 034004. [Google Scholar] [CrossRef]
- Huber, L.; Hadian, R.; Grabowski, B.; Neugebauer, J. A machine learning approach to model solute grain boundary segregation. Npj Comput. Mater. 2018, 4, 64. [Google Scholar] [CrossRef]
- Feng, B.; Wei, J.; Shibata, N.; Ikuhara, Y. Atomistic grain boundary migration in Al2O3. Int. J. Ceram. Eng. Sci. 2023, 5, e10169. [Google Scholar] [CrossRef]
- Kim, H.-K.; Kim, S.G.; Dong, W.; Steinbach, I.; Lee, B.-J. Phase-field modeling for 3D grain growth based on a grain boundary energy database. Model. Simul. Mater. Sci. Eng. 2014, 232, 112663. [Google Scholar] [CrossRef]
- Tucker, G.J.; McDowell, D.L. Non-equilibrium grain boundary structure and inelastic deformation using atomistic simulations. Int. J. Plast. 2011, 27, 841–857. [Google Scholar] [CrossRef]
- Burbery, N.J.; Das, R.; Ferguson, W.G. Transitional grain boundary structures and the influence on thermal, mechanical and energy properties from molecular dynamics simulations. Acta Mater. 2016, 108, 355–366. [Google Scholar] [CrossRef]
- Kelly, M.N.; Bojarski, S.A.; Rohrer, G.S. The Temperature Dependence of the Relative Grain-Boundary Energy of Yttria-doped Alumina. J. Am. Ceram. Soc. 2017, 100, 783–791. [Google Scholar] [CrossRef]
- Foiles, S.M. Temperature dependence of grain boundary free energy and elastic constants. Scr. Mater. 2010, 62, 231–234. [Google Scholar] [CrossRef]
- Hirel, P. Atomsk: A tool for manipulating and converting atomic data files. Comput. Phys. Commun. 2015, 197, 212–219. [Google Scholar] [CrossRef]
- Plimpton, S. Fast Parallel Algorithms for Short-Range Molecular Dynamics. J. Comput. Phys. 1995, 117, 1–19. [Google Scholar] [CrossRef]
- Apostol, F.; Mishin, Y. Interatomic potential for the Al-Cu system. Phys. Rev. B 2011, 83, 054116. [Google Scholar] [CrossRef]
- Mishin, Y.; Farkas, D.; Mehl, M.J.; Papaconstantopoulos, D.A. Interatomic potentials for monoatomic metals from experimental data and ab initio calculations. Phys. Rev. B 1999, 59, 3393. [Google Scholar] [CrossRef]
- Hirth, J.; Lothe, J. Theory of Dislocations, 2nd ed.; Wiley: New York, NY, USA, 1982. [Google Scholar]
- Zhang, L.; Gu, Y.; Xiang, Y. Energy of low angle grain boundaries based on continuum dislocation structure. Acta Mater. 2017, 126, 11–24. [Google Scholar] [CrossRef]
- Hashimoto, M.; Ishida, Y.; Yamamoto, R.; Doyama, M. Thermodynamic properties of coincidence boundaries in aluminum. Acta Metall. 1981, 29, 617–626. [Google Scholar] [CrossRef]
- He, K.; Zhang, X.; Ren, S.; Sun, J. Delving deep into rectifiers: Surpassing human-level performance on imagenet classification. In Proceedings of the 2015 IEEE International Conference on Computer Vision, Santiago, Chile, 7–13 December 2015; pp. 1026–1034. [Google Scholar]
- Ramachandran, P.; Zoph, B.; Le, Q.V. Searching for Activation Functions. arXiv 2017, arXiv:1710.05941. [Google Scholar]
- Kingma, D.P.; Ba, J. Adam: A method for stochastic optimization. arXiv 2017, arXiv:1412.6980. [Google Scholar]











| Temperature (K) | Bulk Energy on Atom (eV/Atom) |
|---|---|
| 10 | −3.357 |
| 100 | −3.334 |
| 300 | −3.283 |
| 500 | −3.23 |
| 700 | −3.175 |
| Type of Grain Boundary | Type of Structural Unit | Temperature Range (K) | Energy Reduction (%) |
|---|---|---|---|
| Σ49 [22] | domino | 0–600 | 12.7 |
| pearl | 0–600 | 14.7 | |
| Σ19b [22] | pearl | 0–800 | 28 |
| domino 1 | 0–800 | 22 | |
| domino 2 | 0–800 | 26 | |
| Σ37c [22] | pearl 1 | 0–800 | 20 |
| pearl 2 | 0–800 | 21 | |
| pearl 3 | 0–800 | 26 | |
| domino | 0–800 | 20 | |
| Σ13b [22] | pearl | 0–800 | 29.5 |
| domino | 0–800 | 26 | |
| A | 0–800 | 25.1 | |
| Σ7 [22] | pearl | 0–1000 | 43.7 |
| domino | 0–1000 | 23 | |
| C | 0–1000 | 47 | |
| Σ5 [44] | type 1 | 0–400 | 14.4 |
| type 2 | 0–400 | 6.5 | |
| Σ11 [44] | - | 0–400 | 5 |
| Σ9 [34] | - | 0–300 | 10 |
| Parameters | FCNN 1 (PReLU Activation) | FCNN 2 (Swish Activation) |
|---|---|---|
| αprelu, β (PReLU or Swish parameter) | 4.0 | 0.1 |
| Number of hidden layers, l | 8 | 6 |
| Number of neurons per hidden layer, n | 15 | 15 |
| μ (initial Adam step) | 0.001 | 0.001 (pre-training); 0.0001 |
| Number of epochs | 6435 | 7335 (pre-training); 45 |
| Amount of training data (samples) | 610 (82.5%) | |
| Amount of validation data (samples) | 71 (10%) | |
| Amount of testing data (samples) | 35 (7.5%) | |
| Type of Dataset | Error Type | FCNN 1 (PReLU Activation), MAPE (%) | FCNN 2 (Swish Activation), MAPE (%) |
|---|---|---|---|
| Training | Average | 0.54 | 0.41 |
| Maximum | 6.43 | 6.24 | |
| Validation | Average | 1.49 | 1.43 |
| Maximum | 8.67 | 13 | |
| Test | Average | 1.51 | 1.07 |
| Maximum | 13.23 | 13.56 |
Disclaimer/Publisher’s Note: The statements, opinions and data contained in all publications are solely those of the individual author(s) and contributor(s) and not of MDPI and/or the editor(s). MDPI and/or the editor(s) disclaim responsibility for any injury to people or property resulting from any ideas, methods, instructions or products referred to in the content. |
© 2024 by the author. Licensee MDPI, Basel, Switzerland. This article is an open access article distributed under the terms and conditions of the Creative Commons Attribution (CC BY) license (https://creativecommons.org/licenses/by/4.0/).
Share and Cite
Fomin, E.V. Molecular Dynamics Study of Temperature Dependence of Grain Boundaries (100) in Pure Aluminum with Application of Machine Learning. Metals 2024, 14, 415. https://doi.org/10.3390/met14040415
Fomin EV. Molecular Dynamics Study of Temperature Dependence of Grain Boundaries (100) in Pure Aluminum with Application of Machine Learning. Metals. 2024; 14(4):415. https://doi.org/10.3390/met14040415
Chicago/Turabian StyleFomin, Evgenii V. 2024. "Molecular Dynamics Study of Temperature Dependence of Grain Boundaries (100) in Pure Aluminum with Application of Machine Learning" Metals 14, no. 4: 415. https://doi.org/10.3390/met14040415
APA StyleFomin, E. V. (2024). Molecular Dynamics Study of Temperature Dependence of Grain Boundaries (100) in Pure Aluminum with Application of Machine Learning. Metals, 14(4), 415. https://doi.org/10.3390/met14040415

