Introducing Auxetic Behavior to Syntactic Foams
Abstract
1. Introduction
2. Material and Methods
2.1. Design
2.2. Fabrication
3. Experimental Results
4. Results of Computational Simulations and Discussion
4.1. Computational Model
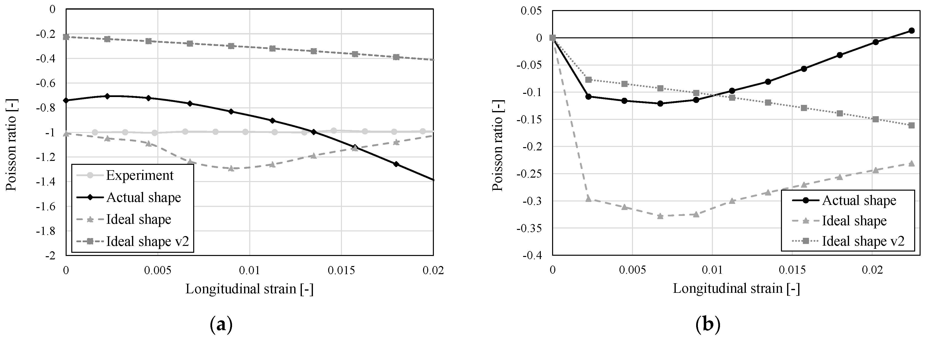
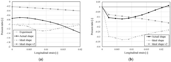
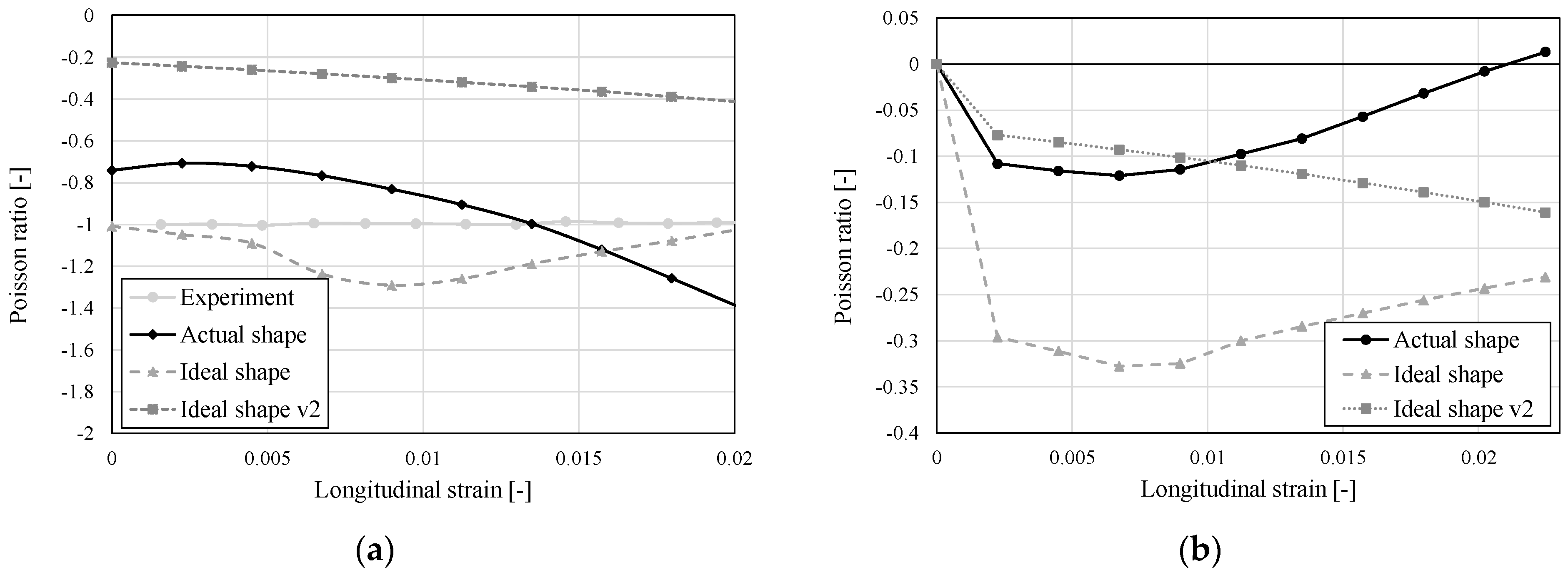
4.2. Computational Results and Validation
5. Conclusions
Author Contributions
Funding
Data Availability Statement
Acknowledgments
Conflicts of Interest
References
- Gupta, N.; Rohatgi, P.K. Metal Matrix Syntactic Foams, Processing, Microstructure, Properties and Applications; DEStech Publication: Lancaster, PA, USA, 2015. [Google Scholar]
- Kroupová, I.; Gawronová, M.; Lichý, P.; Merta, V.; Radkovský, F.; Janovská, K.; Nguyenová, I.; Beno, J.; Obzina, T.; Vasková, I.; et al. Preparation of Cast Metallic Foams with Irregular and Regular Inner Structure. Materials 2021, 14, 6989. [Google Scholar] [CrossRef] [PubMed]
- Kroupová, I.; Bašistová, M.; Lichý, P.; Merta, V.; Radkovský, F.; Jezierski, J. Technology of Production of Mold Filling Material for Specific Purposes in the Field of Metallic Foam Casting. Arch. Metall. Mater. 2023, 68, 757–763. [Google Scholar] [CrossRef]
- Kincses, D.B.; Károly, D.; Bukor, C. Production and testing of syntactic metal foams with graded filler volume. Mater. Today Proc. 2021, 45, 4225–4228. [Google Scholar] [CrossRef]
- Afolabi, L.O.; Ariff, Z.M.; Hashim, S.F.S.; Alomayri, T.; Mahzana, S.; Kamarudin, K.-A.; Muhammad, I.D. Syntactic foams formulations, production techniques, and industry applications: A review. J. Mater. Res. Technol. 2020, 9, 10698–10718. [Google Scholar] [CrossRef]
- Saroj, S.; Ollas, A.V. Cement—Hollow Glass Microballoons Syntactic Foams: Preparation and Compressive Properties. Mater. Today Proc. 2023, 74, 240–243. [Google Scholar] [CrossRef]
- Li, G.; Muthyala, V.D. A cement-based syntactic foam. Mater. Sci. Eng. A 2008, 478, 77–86. [Google Scholar] [CrossRef]
- Bas, H.K.; Jin, W.; Gupta, N. Chemical stability of hollow glass microspheres in cementitious syntactic foams. Cem. Concr. Compos. 2021, 118, 103928. [Google Scholar] [CrossRef]
- Hajimohammadi, A.; Ngo, T.; Provis, J.L.; Kim, T.; Vongsvivut, J. High strength/density ratio in a syntactic foam made from one-part mix geopolymer and cenospheres. Compos. Part B Eng. 2019, 173, 106908. [Google Scholar] [CrossRef]
- Evans, K.E.; Caddock, B.D. Microporous materials with negative Poisson’s ratios. II. Mechanisms and interpretation. J. Phys. D Appl. Phys. 1989, 22, 1883. [Google Scholar] [CrossRef]
- Momoh, E.M.; Jayansinghe, A.; Hajsadeghi, M.; Vinai, R.; Evans, K.E.; Kripakaran, P.; Orr, J. A state-of-the-art review on the application of auxetic materials in cementitious composites. Thin-Walled Struct. 2024, 196, 111447. [Google Scholar] [CrossRef]
- Novak, N.; Mauko, A.; Ulbin, M.; Krstulović-Opara, L.; Ren, Z.; Vesenjak, M. Development and characterisation of novel three-dimensional axisymmetric chiral auxetic structures. J. Mater. Res. Technol. 2022, 17, 2701–2713. [Google Scholar] [CrossRef]
- Novak, N.; Vesenjak, M.; Ren, Z. Auxetic cellular materials—A Review. J. Mech. Eng. 2016, 62, 485–493. [Google Scholar] [CrossRef]
- Franzosi, P.; Colamartino, I.; Giustina, A.; Anghileri, M.; Boniardi, M. Crashworthiness of Additively Manufactured Auxetic Lattices: Repeated Impacts and Penetration Resistance. Materials 2024, 17, 186. [Google Scholar] [CrossRef] [PubMed]
- Li, Z.Y.; Wang, X.T.; Ma, L.; Wu, L.Z.; Wang, L. Auxetic and failure characteristics of composite stacked origami cellular materials under compression. Thin-Walled Struct. 2023, 184, 110453. [Google Scholar] [CrossRef]
- Wang, J.; Zhu, Y.; Cai, X.; Wen, Y.; Wang, P. Hysteresis behavior of Auxetic Perforated Steel Plate Shear Walls with elliptical and peanut-shaped cutouts. J. Build. Eng. 2023, 79, 107875. [Google Scholar] [CrossRef]
- Li, T.; Liu, F.; Wang, L. Enhancing indentation and impact resistance in auxetic composite materials. Compos. Part B Eng. 2020, 198, 108229. [Google Scholar] [CrossRef]
- Nečemer, B.; Vuherer, T.; Glodež, S.; Kramberger, J. Fatigue behaviour of re-entrant auxetic structures made of the aluminium alloy AA7075-T651. Thin-Wall. Struct. 2022, 180, 109917. [Google Scholar] [CrossRef]
- Xue, Y.; Wang, W.; Han, F. Enhanced compressive mechanical properties of aluminum based auxetic lattice structures filled with polymers. Compos. Part B Eng. 2019, 171, 183–191. [Google Scholar] [CrossRef]
- Novak, N.; Al-Rifaie, H.; Airoldi, A.; Krstulović-Opara, L.; Łodygowski, T.; Ren, Z.; Vesenjak, M. Quasi-static and impact behaviour of foam-filled graded auxetic panel. Int. J. Impact Eng. 2023, 178, 104606. [Google Scholar] [CrossRef]
- Park, E.B.; Jeong, Y.C.; Kang, K. A novel auxetic sandwich panel for use in structural applications: Fabrication and parametric study. Mater. Today Commun. 2023, 34, 105383. [Google Scholar] [CrossRef]
- Evans, K.E.; Nkansah, M.A.; Hutchinson, I.J.; Rogers, S.C. Molecular network design. Nature 1991, 353, 124. [Google Scholar] [CrossRef]
- Whitty, J.P.M.; Nazare, F.; Alderson, A. Modelling the effects of density variations on the in-plane Poisson’s ratios and Young’s moduli of periodic conventional and re-entrant honeycombs—Part 1: Rib thickness variations. Cell. Polym. 2002, 21, 69–98. [Google Scholar]
- Xiao, P.; Bin, L.; Vescovini, R.; Zheng, S. Optimal design of composite sandwich panel with auxetic reentrant honeycomb using asymptotic equivalent model and PSO algorithm. Compos. Struct. 2024, 328, 117761. [Google Scholar] [CrossRef]
- Fiedler, T.; Movahedi, N.; York, L.; Broxtermann, S. Functionally-Graded Metallic Syntactic Foams Produced via Particle Pre-Compaction. Metals 2020, 10, 314. [Google Scholar] [CrossRef]
- Movahedi, N.; Murch, G.E.; Belova, I.V.; Fiedler, T. Manufacturing and compressive properties of sandwich foam tubes containing metal syntactic foam. Comp. Struct. 2023, 316, 117012. [Google Scholar] [CrossRef]
- Available online: https://www.matweb.com/search/datasheet_print.aspx?matguid=d524d6bf305c4ce99414cabd1c7ed070 (accessed on 20 March 2024).
- Movahedi, N.; Belova, I.V.; Murch, G.E.; Fiedler, T. Functionally Graded Syntactic Foams with Layers of Dissimilar Metallic Matrices. J. Mater. Eng. Perform. 2022, 31, 1058–1065. [Google Scholar] [CrossRef]
- Available online: https://prepomax.fs.um.si (accessed on 20 March 2024).












Disclaimer/Publisher’s Note: The statements, opinions and data contained in all publications are solely those of the individual author(s) and contributor(s) and not of MDPI and/or the editor(s). MDPI and/or the editor(s) disclaim responsibility for any injury to people or property resulting from any ideas, methods, instructions or products referred to in the content. |
© 2024 by the authors. Licensee MDPI, Basel, Switzerland. This article is an open access article distributed under the terms and conditions of the Creative Commons Attribution (CC BY) license (https://creativecommons.org/licenses/by/4.0/).
Share and Cite
Novak, N.; Kolar, M.; Movahedi, N.; Vesenjak, M.; Ren, Z.; Fiedler, T. Introducing Auxetic Behavior to Syntactic Foams. Metals 2024, 14, 387. https://doi.org/10.3390/met14040387
Novak N, Kolar M, Movahedi N, Vesenjak M, Ren Z, Fiedler T. Introducing Auxetic Behavior to Syntactic Foams. Metals. 2024; 14(4):387. https://doi.org/10.3390/met14040387
Chicago/Turabian StyleNovak, Nejc, Miha Kolar, Nima Movahedi, Matej Vesenjak, Zoran Ren, and Thomas Fiedler. 2024. "Introducing Auxetic Behavior to Syntactic Foams" Metals 14, no. 4: 387. https://doi.org/10.3390/met14040387
APA StyleNovak, N., Kolar, M., Movahedi, N., Vesenjak, M., Ren, Z., & Fiedler, T. (2024). Introducing Auxetic Behavior to Syntactic Foams. Metals, 14(4), 387. https://doi.org/10.3390/met14040387

