Characterisation of Varying Iron Ores and Their Thermal Decomposition Kinetics Under HIsarna Ironmaking Conditions
Abstract
1. Introduction
2. Material Analysis
2.1. Composition Analysis
2.2. Morphological Analysis
2.3. Phase Distribution
3. Methods
3.1. TGA Experiments
3.2. Assessment of Reaction Kinetics of Thermal Decomposition
4. Results and Discussion
4.1. Thermal Decomposition
4.2. Kinetics of Goethite Decomposition
4.2.1. Influence of Ore Mineralogy
4.2.2. Influence of Particle Size
4.3. Kinetics of Hematite Decomposition
5. Conclusions
- The varying raw iron ores investigated in this study (elaborated in Section 2) differ from one another in morphology, mineralogy and chemical composition. However, after the pre-reduction in an argon atmosphere in the TGA experiments at 1773 K, the morphology of the pre-reduced magnetite phases appeared to be identical.
- The thermal decomposition of goethite ore occurs as a two-stage process. The mass loss in the individual goethite stages depends on the goethite content in the ore. For the particle size fraction of <63 μm, OreB shows two similar mass loss stages, with an observed mass loss of 0.56–0.67 wt.% in the first and 0.55–0.65 wt.% in the second stage. OreC shows stronger differences with a mass loss of 3.81 wt.%–4.10 wt.% in the first and 0.13–0.20 wt.% in the second stage.
- The proposed reaction mechanisms for goethite decomposition are a chemical reaction in the first stage and diffusion in the second stage (temperature intervals stated in Table 5). The order of reaction and dimension of diffusion partially varied and is difficult to prove due to the nature of the TGA. Therefore, the investigation of reaction order and diffusion dimension will be within the scope of future research. Due to the significant differences in weight loss in both decomposition stages between OreB and OreC, OreC shows higher activation energies in the first stage (77.86–134.47 kJ/mol) and OreB in the second stage (32.36–44.76 kJ/mol) for a particle size fraction < 63 μm.
- An increase in particle size has no influence on the reaction mechanisms of goethite thermal decomposition. However, the activation energy remains similar for OreB in the first stage (56.44 → 56.26 kJ/mol) but decreases in the second stage (33.38 → 24.43 kJ/mol). The reason for the change in activation energy is proposed to be the difference in mineralogy between the two particle size fractions. The larger fraction of OreB contains higher amounts of crystal water, possibly leading to an easier release in the second decomposition stage. For OreC, however, the activation energy decreases in both stages (77.86 → 69.90 kJ/mol and 8.46 → 3.32 kJ/mol) with increasing particle size, despite a similar level of crystalline water, arguing for the influence of particle size on the activation energy.
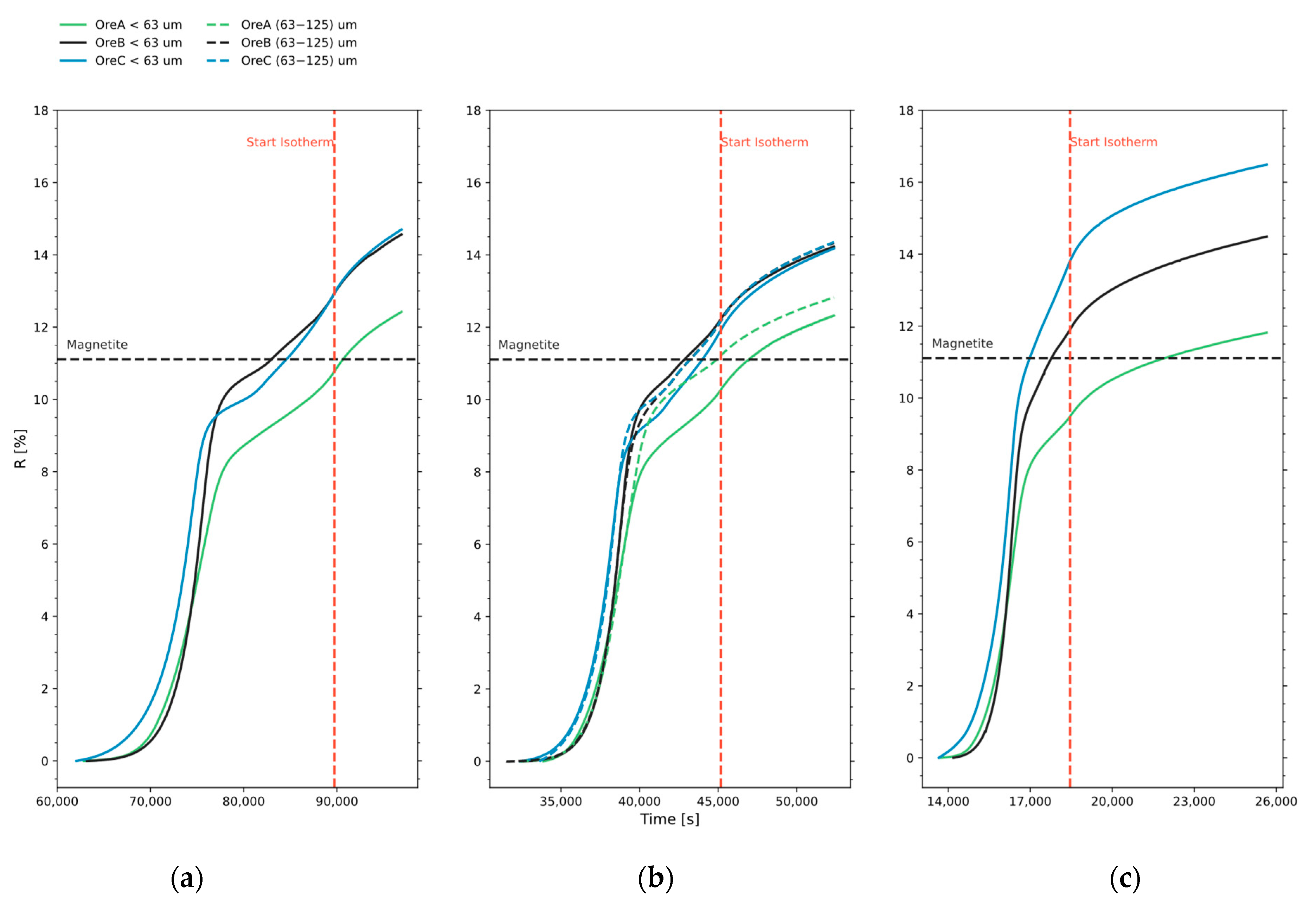
- Hematite thermal decomposition also occurs as a two-stage process, with the first stage initiating between 1311 and 1419 K and the second stage between 1676 and 1742 K, depending on ore composition and heating rate. A significant amount of decomposition takes place in the first stage. The order of highest average total reduction degree for the size fraction < 63 μm is OreC (14.18–16.49%) > OreB (14.23–14.57%) > OreA (11.82–12.42%). At the same heating rate, an increase in particle size leads to no significant increase in the degree of reduction for all ores.
- The proposed first stage of hematite decomposition is chemical reaction controlled, while the order of the reaction rate depends on the heating rate and ore type. Again, due the nature of the TGA, the order of the reaction is difficult to prove and will be within the scope of future research. No influence of the particle size on the reaction mechanism was observed. The lowest activation energy for the < 63 μm size fraction was found for OreC (424.31–505.47) kJ/mol. A higher activation energy was determined for OreA (545.47–667.45) kJ/mol and OreB (654.98–831.54) kJ/mol. For OreA and OreC the activation energy increases and for OreB it decreases with an increase in particle size.
Supplementary Materials
Author Contributions
Funding
Data Availability Statement
Acknowledgments
Conflicts of Interest
References
- Worldsteel Association. Climate Change and the Production of Iron and Steel; Worldsteel Association: Brussels, Belgium, 2021. [Google Scholar]
- Worldsteel Association. Sustainable Performance of Steel Industry 2003–2021; Worldsteel Association: Brussels, Belgium, 2022. [Google Scholar]
- Worldsteel Association. 2022 World Steel in Figures; Worldsteel Association: Brussels, Belgium, 2022. [Google Scholar]
- Yang, Y.; Raipala, K.; Holappa, L. Ironmaking. In Treatise on Process Metallurgy; Elsevier Ltd.: Amsterdam, The Netherlands, 2014; Volume 3, pp. 2–88. [Google Scholar] [CrossRef]
- Biwas, A.K. Principles of Blast Furnace Ironmaking: Theory and Practice; Cootha Publishing House: Brisbane, Australia, 1981. [Google Scholar]
- Naito, M.; Takeda, K.; Matsui, Y. Ironmaking Technology for the Last 100 Years: Deployment to Advanced Technologies from Introduction of Technological Know-how, and Evolution to Next-generation Process. ISIJ Int. 2015, 55, 7–35. [Google Scholar] [CrossRef]
- Meijer, K.; Guenther, C.; Dry, R.J. HIsarna Pilot Plant Project; METEC InSteelCon 2011: Düsseldorf, Germany, 2011. [Google Scholar]
- Meijer, K.; Zeilstra, C.; Teerhuis, C.; Ouwehand, M.; van der Stel, J. Developments in Alternative Ironmaking. Trans. Indian Inst. Met. 2013, 66, 475–481. [Google Scholar] [CrossRef]
- Qu, Y.; Yang, Y.; Zou, Z.; Zeilstra, C.; Meijer, K.; Boom, R. Thermal decomposition behaviour of fine iron ore particles. ISIJ Int. 2014, 54, 2196–2205. [Google Scholar] [CrossRef]
- Chen, Z.; Zeilstra, C.; Van Der Stel, J.; Sietsma, J.; Yang, Y. Thermal Decomposition Reaction Kinetics of Hematite Ore. ISIJ Int. 2020, 60, 65–72. [Google Scholar] [CrossRef]
- Hanesch, M. Raman spectroscopy of iron oxides and (oxy)hydroxides at low laser power and possible applications in environmental magnetic studies. Geophys. J. Int. 2009, 177, 941–948. [Google Scholar] [CrossRef]
- Coats, A.W.; Redfern, J.P. Kinetic Parameters from Thermogravimetric Data. Nature 1964, 201, 68–69. [Google Scholar] [CrossRef]
- Pourghahramani, P.; Forssberg, E. Reduction kinetics of mechanically activated hematite concentrate with hydrogen gas using nonisothermal methods. Thermochim. Acta 2007, 454, 69–77. [Google Scholar] [CrossRef]
- Sun, S.S. A Study of Kinetics and Mechanisms of Iron Ore Reduction in Ore/Coal Composites. Ph.D. Thesis, McMaster University, Hamilton, ON, Canada, 1997. [Google Scholar]
- Otsuka, R. Recent studies on the decomposition of the dolomite group by thermal analysis. Thermochim. Acta 1986, 100, 69–80. [Google Scholar] [CrossRef]
- Diamandescu, L.; Mihàilà-Tàràbàşanu, D.; Feder, M. On the solid phase transformation goethite → hematite. Mater. Lett. 1993, 17, 309–311. [Google Scholar] [CrossRef]
- Walter, D.; Buxbaum, G.; Laqua, W. The Mechanism of the Thermal Transformation From Goethite to Hematite. J. Therm. Anal. Calorim. 2001, 63, 733–748. [Google Scholar] [CrossRef]
- Xing, L.; Qu, Y.; Wang, C.; Shao, L.; Zou, Z.; Song, W. Kinetic Study on Thermal Decomposition Behavior of Hematite Ore Fines at High Temperature. Metall. Mater. Trans. B 2020, 51, 395–406. [Google Scholar] [CrossRef]
- Sun, Y.; Han, Y.; Wei, X.; Gao, P. Non-isothermal reduction kinetics of oolitic iron ore in ore/coal mixture. J. Therm. Anal. Calorim. 2016, 123, 703–715. [Google Scholar] [CrossRef]
- Pelino, M.; Toro, L.; Petroni, M.; Florindi, A.; Cantalini, C. Study of the kinetics of decomposition of goethitein vacuo and pore structure of product particles. J. Mater. Sci. 1989, 24, 409–412. [Google Scholar] [CrossRef]
- Beuria, P.C.; Biswal, S.K.; Mishra, B.K.; Roy, G.G. Study on kinetics of thermal decomposition of low LOI goethetic hematite iron ore. Int. J. Min. Sci. Technol. 2017, 27, 1031–1036. [Google Scholar] [CrossRef]













| OreA | OreB | OreC | ||||
|---|---|---|---|---|---|---|
| Fraction [μm] | <63 | 63–125 | <63 | 63–125 | <63 | 63–125 |
| MV [μm] | 50.74 | 103.6 | 44.22 | 100.2 | 22.79 | 115.9 |
| MN [μm] | 19.55 | 51.96 | 3.66 | 66.29 | 1.106 | 89.55 |
| MA [μm] | 39.41 | 84.86 | 25.52 | 87.58 | 6.80 | 105.5 |
| OreA | OreB | OreC | |||||
|---|---|---|---|---|---|---|---|
| Fraction [μm] | <63 | 63–125 | <63 | 63–125 | <63 | 63–125 | |
| Compound [wt.%] | Fe2O3 total-Fe | 85.93 60.10 | 91.50 64.00 | 88.07 61.60 | 85.07 59.50 | 81.21 56.80 | 82.92 58.00 |
| SiO2 | 5.18 | 2.96 | 4.96 | 5.83 | 6.84 | 5.30 | |
| Al2O3 | 2.24 | 1.44 | 3.81 | 4.78 | 3.52 | 3.00 | |
| MgO | 0.71 | 0.41 | 0.04 | 0.04 | 0.14 | 0.11 | |
| CaO | 1.99 | 1.23 | 0.05 | 0.05 | 0.11 | 0.07 | |
| TiO2 | 1.04 | 0.92 | 0.33 | 0.35 | 0.18 | 0.16 | |
| MnO | 1.20 | 0.60 | 0.03 | 0.03 | 1.07 | 1.24 | |
| total-C | 0.41 | 0.23 | 0.06 | 0.07 | 0.18 | 0.14 | |
| H2O(crystal) | - | - | 2.19 | 3.26 | 6.05 | 6.39 | |
| Rest | 0.37 | 0.21 | 0.25 | 0.31 | 0.26 | 0.26 | |
| Experimental Condition | Operating Parameter |
|---|---|
| Sample | Hematite fine ore, Goethite fine ore |
| Holding time (h) | 2 |
| Heating rate (K/min) | 1, 2, 5 |
| Particle size (μm) | <63, 63–125 |
| Temperature (K) | 298–1773 |
| Atmosphere | Ar |
| Reaction Model | f(α) | g(α) | ||
|---|---|---|---|---|
| Nucleation | Power law | P1 | 4α3/4 | α1/4 |
| P2 | 3α2/3 | α1/3 | ||
| P3 | 2α1/2 | α1/2 | ||
| P4 | 2/3α−1/2 | α3/2 | ||
| Avrami–Erofeev | A2 | 2(1 − α)[−ln(1 − α)]1/2 | [−ln(1 − α)]1/2 | |
| A3 | 3(1 − α)[−ln(1 − α)]2/3 | [−ln(1 − α)]1/3 | ||
| A4 | 4(1 − α)[−ln(1 − α)]3/4 | [−ln(1 − α)]1/4 | ||
| Diffusion | n-Dimensional Diffusion | D1 | 1/(2α) | α2 |
| D2 | [−ln(1 − α)]−1 | (1 − α)ln(1 − α)+ α | ||
| D3 | 3/2(1 − α)2/3[1 − (1 − α)1/3]−1 | [1 − (1 − α)1/3]2 | ||
| Geometrical Contraction | Contracting Area | R2 | 2 × (1 − α)1/2 | 1 − (1 − α)1/2 |
| Contracting Volume | R3 | 3 × (1 − α)2/3 | 1 − (1 − α)1/3 | |
| Reaction order | n-Order | F0 | 1 | a |
| F1 | 1 − α | −ln(1 − α) | ||
| F2 | (1 − α)2 | (1 − α)−1 − 1 | ||
| F3 | (1 − α)3 | [(1 − α)−2 − 1]/2 | ||
| OreA | OreB | OreC | ||||||||||
|---|---|---|---|---|---|---|---|---|---|---|---|---|
| Heating Rate [K/min] | Heating Rate [K/min] | Heating Rate [K/min] | ||||||||||
| 1 | 2 | 5 | 1 | 2 | 5 | 1 | 2 | 5 | ||||
| Stage I (Carbonate decomposition) | Start_T [K] | 743 | 719 | 796 | Stage I (Goethite decomposition) | Start_T [K] | 385 | 420 | 436 | 395 | 429 | 502 |
| End_T [K] | 1053 | 1047 | 1125 | End_T [K] | 595 | 616 | 631 | 616 | 647 | 680 | ||
| Mass loss [%] | 1.38 | 1.38 | 1.43 | Mass loss [%] | 0.67 | 0.56 | 0.65 | 4.10 | 4.06 | 3.81 | ||
| Stage II (Hematite decomposition) | Start_T [K] | 1325 | 1397 | 1382 | Stage II (Goethite decomposition) | Start_T [K] | 600 | 623 | 634 | 621 | 670 | 687 |
| End_T [K] | 1687 | 1625 | 1724 | End_T [K] | 834 | 871 | 918 | 793 | 784 | 830 | ||
| Mass loss [%] | 2.28 | 1.95 | 2.24 | Mass loss [%] | 0.55 | 0.62 | 0.65 | 0.20 | 0.13 | 0.14 | ||
| Stage III (Hematite decomposition) | Start_T [K] | 1699 | 1708 | 1726 | Stage III (Hematite decomposition) | Start_T [K] | 1331 | 1353 | 1419 | 1312 | 1375 | 1376 |
| End_T [K] | - | - | - | End_T [K] | 1625 | 1647 | 1671 | 1588 | 1623 | 1695 | ||
| Mass loss [%] | 0.26 | 0.23 | 0.06 | Mass loss [%] | 2.66 | 2.55 | 2.23 | 2.37 | 2.26 | 2.09 | ||
| Stage IV (Hematite decomposition) | Start_T [K] | 1721 | 1720 | 1742 | 1676 | 1708 | 1705 | |||||
| End_T [K] | - | - | - | - | - | - | ||||||
| Mass loss [%] | 0.18 | 0.13 | 0.05 | 0.38 | 0.14 | 0.06 | ||||||
| Experiments | Stage I | Stage II | |||
|---|---|---|---|---|---|
| Ore | Heating Rate [K/min] | Model | Rate Constant | Model | Rate Constant |
| OreB | 1 | F3 | D3 | ||
| OreB | 2 | F3 | D2 | ||
| OreB | 5 | F3 | D2 | ||
| OreC | 1 | D3 | D3 | ||
| OreC | 2 | F2 | D2 | ||
| OreC | 5 | F3 | D2 | ||
| Stage I | ||||
|---|---|---|---|---|
| Ore | Heating Rate [K/min] | R2 | Model | Rate Constant |
| OreB | 2 | 0.9653 | F3 | |
| OreC | 2 | 0.9657 | F2 | |
| Stage II | ||||
| Ore | Heating rate [K/min] | R2 | Model | Rate constant |
| OreB | 2 | 0.9461 | D2 | |
| OreC | 2 | 0.9043 | D2 | |
| Ore | Heating Rate [K/min] | Model | Rate Constant |
|---|---|---|---|
| A | 1 | F3 | |
| A | 2 | F3 | |
| A | 5 | F3 | |
| B | 1 | F2 | |
| B | 2 | F2 | |
| B | 5 | F3 | |
| C | 1 | F2 | |
| C | 2 | F2 | |
| C | 5 | F1 |
| Ore | Heating Rate [K/min] | R2 | Model | Rate Constant |
|---|---|---|---|---|
| A | 2 | 0.9910 | F3 | |
| B | 2 | 0.9899 | F2 | |
| C | 2 | 0.9773 | F2 |
Disclaimer/Publisher’s Note: The statements, opinions and data contained in all publications are solely those of the individual author(s) and contributor(s) and not of MDPI and/or the editor(s). MDPI and/or the editor(s) disclaim responsibility for any injury to people or property resulting from any ideas, methods, instructions or products referred to in the content. |
© 2024 by the authors. Licensee MDPI, Basel, Switzerland. This article is an open access article distributed under the terms and conditions of the Creative Commons Attribution (CC BY) license (https://creativecommons.org/licenses/by/4.0/).
Share and Cite
Leerhoff, P.; Brouwer, J.C.; Armaki, A.M.; Zeilstra, C.; Meijer, K.; van der Stel, J.; Abrahami, S.T.; Dogan, N.; Yang, Y. Characterisation of Varying Iron Ores and Their Thermal Decomposition Kinetics Under HIsarna Ironmaking Conditions. Metals 2024, 14, 1271. https://doi.org/10.3390/met14111271
Leerhoff P, Brouwer JC, Armaki AM, Zeilstra C, Meijer K, van der Stel J, Abrahami ST, Dogan N, Yang Y. Characterisation of Varying Iron Ores and Their Thermal Decomposition Kinetics Under HIsarna Ironmaking Conditions. Metals. 2024; 14(11):1271. https://doi.org/10.3390/met14111271
Chicago/Turabian StyleLeerhoff, Philipp, Johannes C. Brouwer, Amir Mohseni Armaki, Christiaan Zeilstra, Koen Meijer, Jan van der Stel, Shoshan T. Abrahami, Neslihan Dogan, and Yongxiang Yang. 2024. "Characterisation of Varying Iron Ores and Their Thermal Decomposition Kinetics Under HIsarna Ironmaking Conditions" Metals 14, no. 11: 1271. https://doi.org/10.3390/met14111271
APA StyleLeerhoff, P., Brouwer, J. C., Armaki, A. M., Zeilstra, C., Meijer, K., van der Stel, J., Abrahami, S. T., Dogan, N., & Yang, Y. (2024). Characterisation of Varying Iron Ores and Their Thermal Decomposition Kinetics Under HIsarna Ironmaking Conditions. Metals, 14(11), 1271. https://doi.org/10.3390/met14111271

