Abstract
A novel amorphous Fe88Pr6Ce4B2 ribbon with better magnetocaloric properties near 285 K is reported in the present work. The Fe88Pr6Ce4B2 ribbon exhibits a typical second-order ferromagnetic–paramagnetic transition near its Curie temperature (Tc, ~284 K), with a maximum magnetic entropy change (−ΔSmpeak) of ~4.15 J/(kg × K) under 5 T and a maximum adiabatic temperature rise (ΔTad) of ~2.57 K under 5 T, both of which are almost the largest amongst the iron-based metallic glasses with Tc = 285 ± 10 K. The high −ΔSmpeak enables several amorphous hybrids with table-like −ΔSm–T curves to be synthesized by appropriately proportioning the Fe88Pr6Ce4B2 ribbon and other amorphous ribbons with different Tc. The larger average −ΔSm and effective refrigeration capacity, as well as the appropriate temperature range, make the two amorphous hybrids potential candidates for use as refrigerants in household magnetic air conditioners.
1. Introduction
Due to the continuous occurrence of extremely high-temperature weather in recent years, the demand for refrigeration has rapidly increased. However, the commonly used gas compression/expansion refrigeration technology can generate greenhouse gases, which exacerbate environmental problems and lead to continued temperature rises. Therefore, there is an urgent need to seek a new type of refrigeration technology. Among the developed refrigeration technologies, magnetic refrigeration (MR) technology, as one of the solid-state refrigeration methods, is proposed based on the magnetocaloric effect (MCE) of its materials and its use of water and other eco-friendly media as heat transfer fluids [1,2]. The unique advantages of MR, such as environmental protection, high efficiency, energy saving, high stability, and easy miniaturization, make it a promising alternative to traditional vapor cycle refrigeration technology [3,4,5,6]. Especially in room-temperature applications, including household magnetic air conditioners, magnetic refrigerators, and magnetic wine cabinets, MR has received widespread attention due to its broad market application prospects [6].
The realization of MR technology primarily relies on the magnetocaloric properties of refrigeration materials. Based on the principle of the MCE, isothermal magnetic entropy change (−ΔSm) is commonly used to measure the magnetocaloric performance of materials. Most of the early studies focused on first-order magnetic transition (FOMT) materials due to their ultrahigh −ΔSm peak value (−ΔSmpeak), such as La-Fe-Si and Gd-Si-Ge [7,8,9]. However, FOMT materials often tend to exhibit sharp −ΔSm versus temperature (−ΔSm–T) curves, which make it difficult for them to meet cooling requirements over a wide temperature range. Conversely, second-order magnetic transition (SOMT) materials tend to show flattened −ΔSm–T curves, which allow them to achieve cooling within a broader temperature range [10,11,12]. In addition, as an efficient MR cycle, the Ericsson cycle requires the refrigeration materials to have a constant −ΔSm profile from the cold end (Tcold) to the hot end (Thot) of a cooling device to achieve optimal cooling efficiency [13]. The constant −ΔSm profile is usually difficult to obtain in FOMT materials, but it can be easily obtained by synthesizing several SOMT materials [14,15,16].
Among numerous room-temperature MR materials, Fe-based amorphous alloys (AAs) stand out due to their advantages: (1) compared with their crystalline counterparts, the Curie temperature (Tc) of Fe-based AAs can easily be tuned by adjusting the composition, and they exhibit better corrosion resistance, lower magnetic/thermal hysteresis, higher strength, and better wear resistance [17,18,19,20,21]; (2) compared with rare earth (RE)-based AAs, the low-cost Fe-based AAs show a Curie temperature that is easier to adjust to room temperature, which is accompanied by their good glass formability (GFA) and excellent magnetocaloric properties [19,20,21,22,23,24,25,26,27,28]. Fe-Zr-B ternary AAs exhibit a Tc of 271–327 K and a −ΔSmpeak under 5 T of 2.75–3.34 J/(kg × K) [22,23]. Unfortunately, the −ΔSmpeak of these iron-based glassy alloys are not high enough to meet the demands of high-performance room-temperature magnetic refrigerants in a household cooling device. Therefore, how to improve the −ΔSmpeak of Fe-based amorphous alloys is the main research direction at present. Extensive efforts have been made to improve the −ΔSmpeak of iron-based glassy alloys, including microalloying, elemental modification, and structural optimization [29,30,31,32,33,34,35,36]. Recently, the −ΔSmpeak of Fe-Zr-B-based glassy alloys was significantly improved by substituting RE (RE = Pr, Nd, Sm, etc.) atoms for Zr atoms [34,35,36]. For example, the −ΔSmpeak under 5 T of Pr-doped Fe-Zr-B amorphous ribbons increases to ~4.00 J/(kg × K) at 323 K [34]. The −ΔSmpeak under 5 T of Pr-doped and Sm-doped Fe-Zr-B amorphous ribbons also increases to ~4.10 J/(kg × K) at 335 K [35] and ~3.79 J/(kg × K) at 348 K [36], respectively. However, their Tc values are also simultaneously increased to an even higher value than the Thot of a household refrigeration device, which means that it is difficult to obtain large −ΔSmpeak near Tcold in Fe-Zr-B-based glassy alloys, and it is difficult to synthesize a flattened −ΔSm–T curve with larger average −ΔSm (−ΔSmave.) due to the lack of excellent magnetocaloric AAs near Tcold.
According to our previous work, the minor addition of Ce atoms has unexpected effects on improving the −ΔSmpeak and reducing the Tc of Fe-Zr-B-based glassy alloys [37]. Therefore, it is highly possible for Fe-based AAs to have a larger −ΔSmpeak at temperatures near or below Tcold. In addition, the Tc of the ternary Fe-Zr-B glassy alloys reduces with the decrease in B content [22,23]. As such, the methods of using Ce as a complete substitute for Zr and reducing the B content were also adopted to lower the Tc of Fe-Zr(Pr)-B AAs. At the same time, it is necessary to ensure that the magnetocaloric properties of Fe-Zr(Pr)-B AAs are not significantly deteriorated. Therefore, in order to develop magnetocaloric AAs with higher −ΔSmpeak at a lower Tc, a novel Fe88Pr6Ce4B2 amorphous alloy with better magnetocaloric properties near Tcold was prepared by using the melt-spinning method in this work. On this basis, as a condition for achieving optimal cooling efficiency in the Ericsson cycle, two amorphous hybrids with table-like −ΔSm–T curves and higher −ΔSmave. within the operating temperature region of a domestic magnetic air conditioner were designed.
2. Materials and Methods
According to the nominal composition of Fe88Pr6Ce4B2, the raw materials, including Fe, Pr, and Ce metal blocks with a purity above 99.9 at.% and an Fe-B pre-alloy, were mixed together, and the mixture was arc-melted at least five times under an Ar atmosphere in a vacuum furnace system (model WK-Ⅱ, Physcience Opto-electronics, Beijing, China) to produce the mother ingot. The broken pieces of the ingot were remelted by induction heating, and the molten alloy was sprayed onto the surface of a copper roller at a rotational speed of ~60 m/s to fabricate the Fe88Pr6Ce4B2 ribbon in a vacuum melt spinner system (model WK-ⅡB, Physcience Opto-electronics, Beijing, China). The nozzle diameter and the distance from the nozzle to the copper roller were about 1 mm and 2 mm, respectively, and the ejection pressure was ~0.5 MPa. An optical photograph of the prepared Fe88Pr6Ce4B2 samples with a width of ~1 mm and a thickness of ~30 μm is shown in the inset in Figure 1a. The structure of the as-spun ribbon was checked by X-ray diffraction (XRD) measurement on a PANalytical diffractometer (Panalytical, Eindhoven, The Netherlands) using Cu Kα radiation. The microstructure of the thinned specimen was observed on a JEOL JEM-F200 cold field-emission high-resolution electron microscope (HREM, JEOL, Tokyo, Japan) after polishing the ribbon sample with a GATAN 691 precision ion-polishing system (Ametek, Berwyn, PA, USA). The thermal properties of the Fe88Pr6Ce4B2 ribbon, including the onset glass transition temperature (Tgonset), the primary crystallization temperature (Txonset), and the liquidus temperature (Tl), were obtained from the differential scanning calorimetry (DSC) curve measured using a NETZSCH 404 C calorimeter (Netzsch, Selb, Germany) at a heating rate of 20 K/min. A Perkin-Elmer DIAMOND calorimeter (Perkin-Elmer, Shelton, CT, USA) was used to measure the temperature dependence of the heat capacity (Cp(T) curve) of the amorphous ribbon. A Quantum Design model 6000 physical properties measurement system (PPMS, Quantum Design, San Diego, CA, USA) with a vibrating sample magnetometer (VSM) module was employed to measure the magnetization versus temperature (M–T) curve, hysteresis loops, and isothermal magnetization (M–H) curves of the Fe88Pr6Ce4B2 glassy ribbon. To eliminate the fortuity in the results, three sets of samples were selected for repeated measurements, and the measurement results confirmed the accuracy of the magnetocaloric properties of the samples.
Figure 1.
(a) XRD patterns of the Fe88Pr6Ce4B2 as-spun ribbons, and the inset is an optical photograph of the prepared ribbons; (b) HREM image of the Fe88Pr6Ce4B2 amorphous ribbon; (c) DSC traces of the Fe88Pr6Ce4B2 as-spun ribbons, and the inset is the melting behavior.
3. Results and Discussion
The XRD pattern of the Fe88Pr6Ce4B2 ribbon is illustrated in Figure 1a. A diffuse diffraction hump is observed between 30° and 50°, without distinct crystalline peaks, indicating the amorphous characteristics of the Fe88Pr6Ce4B2 sample. Figure 1b shows the HREM image of the Fe88Pr6Ce4B2 ribbon. There are no obvious nanoparticles or long-range order in the disordered matrix, which indicate that the as-spun Fe88Pr6Ce4B2 ribbon was a fully amorphous alloy. The DSC trace of the Fe88Pr6Ce4B2 ribbon is shown in Figure 1c, where the obvious glass-transition endothermic peak and the subsequent crystallization exothermic peak also further prove the glassy structure of the Fe88Pr6Ce4B2 ribbon. The Tgonset and Txonset of the Fe88Pr6Ce4B2 ribbon were obtained as 641 K and 739 K, respectively. As such, the super-cooled liquid region (ΔTx = Txonset − Tgonset) [38] of the Fe88Pr6Ce4B2 ribbon was calculated as 98 K. The large ΔTx indicates that the super-cooled liquid of Fe88Pr6Ce4B2 alloy has a strong anti-crystallization ability, which is favorable for the formation of the amorphous phase. Furthermore, the Tl of the ribbon can be obtained from the melting behavior in the inset in Figure 1c as 1396 K. The reduced glass-transition temperature (Trg = Tgonset/Tl) [39] and the parameter γ (=Txonset/(Tgonset + Tl)) [40] of the Fe88Pr6Ce4B2 AA were estimated to be 0.459 and 0.363, respectively. Although the Trg and γ values of the ribbon are not as high as those of the bulk metallic glass, which implies that the GFA of the Fe88Pr6Ce4B2 AA is not good and may be closely related to the positive mixing enthalpy between RE atoms and Fe atoms [41], its critical section thickness (Zc = 2.80 × 10−7 exp (41.7γ) = 1.04 mm) [40] still indicates that it is very easy for the Fe88Pr6Ce4B2 alloy to be prepared as a glassy ribbon.
Figure 2a illustrates the hysteresis loops of the Fe88Pr6Ce4B2 AA under an external field of 5 T measured at 200 K and 380 K. At 200 K, the sample exhibited soft magnetization without visible hysteresis, and its magnetization rapidly reaches saturation (namely, Ms, ~131 Am2/kg) with the increase in the external field. At 380 K, the sample was paramagnetic, indicating that the Fe88Pr6Ce4B2 AA undergoes a ferromagnetic–paramagnetic transition with the increase in temperature from 200 K to 380 K. Thus, the M–T curve of Fe88Pr6Ce4B2 AA under 0.03 T was measured to determine the transition temperature. As shown in Figure 2b, the magnetization of the amorphous ribbon rapidly decreases and then gradually trends to zero with increasing temperature, exhibiting the typical magnetization behavior of a single-phase amorphous alloy. By taking the derivative of the M–T curve, as shown in the inset in Figure 2b, it can be determined that the Tc of the Fe88Pr6Ce4B2 ribbon is about 284 K, which is very close to the Tcold of household air conditioners.
Figure 2.
(a) Hysteresis loops of the Fe88Pr6Ce4B2 amorphous ribbon measured at 200 K and 380 K under a magnetic field of 5 T; (b) M–T curve of the Fe88Pr6Ce4B2 amorphous ribbon measured under 0.03 T, and the inset is the dM/dT–T curve.
Figure 3a depicts the M–H curves of the Fe88Pr6Ce4B2 AA under 5 T within the measuring temperature range of 200 K to 380 K. As the temperature increases, the shape change of the M–H curves also indicates the transition process from ferromagnetism to paramagnetism of the Fe88Pr6Ce4B2 ribbon. On the other hand, the type of magnetic phase transition of an alloy can be characterized on the basis of Landau phase transition theory [42,43]. As is well known, the Gibbs free energy of a magnetic system can be expressed as follows [44,45,46]:
where μ0 is vacuum permeability, and a(T) and b(T) are Landau coefficients that describe temperature-dependent parameters. By assuming the equilibrium condition (, corresponding to the minimum energy), the magnetic equation of a state can be derived [44]:
Figure 3.
(a) M–H curves of the Fe88Pr6Ce4B2 amorphous ribbon measured at temperatures ranging from 200 K to 380 K under 5 T; (b) Arrott plots of the Fe88Pr6Ce4B2 amorphous ribbon at various temperatures; (c) temperature dependence of a(T) for the Fe88Pr6Ce4B2 AA, and the inset is the temperature dependence of b(T).
According to the Banerjee criterion, the slope of M2 vs. H/M curves, also known as Arrott plots, can be used to judge the type of phase transition of the alloy: if the slope is negative, the phase transition is FOMT; otherwise, the phase transition is SOMT. Therefore, based on the M–H curves, the Arrott plots of the Fe88Pr6Ce4B2 AA at different temperatures were constructed, as shown in Figure 3b. The slopes of the Arrott plots at all temperatures are positive, implying that the ferromagnetic–paramagnetic transition of the Fe88Pr6Ce4B2 AA is SOMT. In addition, the temperature dependences of the Landau coefficients a(T) and b(T) can also be obtained from the experimental isothermal M–H data by plotting the Arrott plots. Figure 3c shows the temperature dependence of a(T) for the Fe88Pr6Ce4B2 AA, and the inset is the temperature dependence of b(T). It was found that the value of a(T) almost linearly increases with the increase in temperature, while the temperature dependence of the Landau coefficient b(T) is highly nonlinear. The temperatures corresponding to the minimum b(T) value and the zero value of a(T) are very close to the Tc of Fe88Pr6Ce4B2 amorphous ribbon.
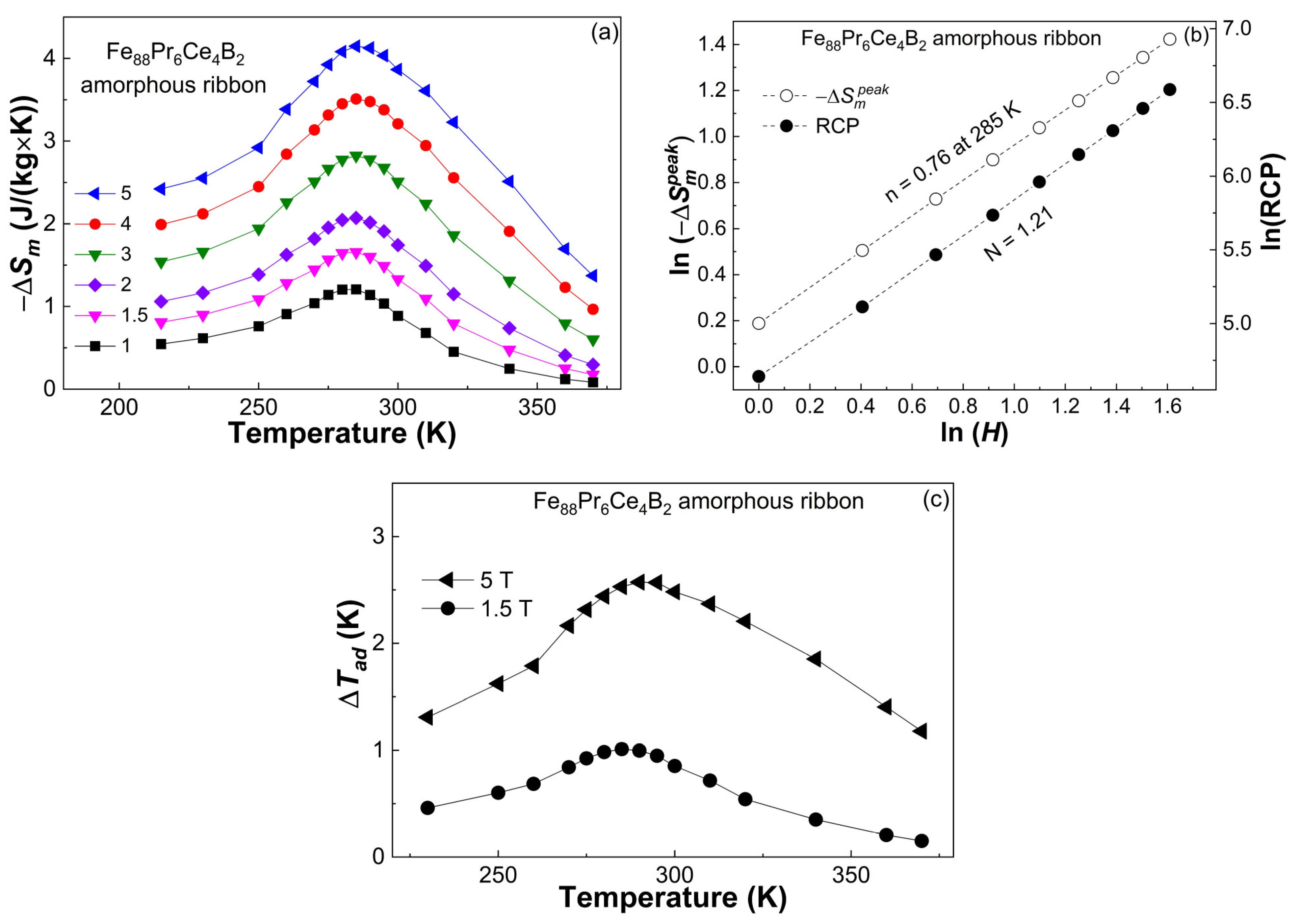
The temperature dependence of the −ΔSm curves of the Fe88Pr6Ce4B2 AA, with an error limit of less than 0.5% obtained from the M–H curves, is shown in Figure 4a. As the temperature increases, the −ΔSm under various magnetic fields first increases and then decreases, reaching a maximum value near its Tc. Due to the continuous phase transition characteristic of SOMT, the Fe88Pr6Ce4B2 AA exhibits a broad and smooth −ΔSm–T curve, which allows it to operate within a wide temperature range. The −ΔSmpeak of the Fe88Pr6Ce4B2 ribbon is ~1.21 J/(kg × K), ~1.66 J/(kg × K), ~2.07 J/(kg × K), ~2.82 J/(kg × K), ~3.51 J/(kg × K), and ~4.15 J/(kg × K) under 1 T, 1.5 T, 2 T, 3 T, 4 T, and 5 T at 285 K, respectively. In addition, the relationship between −ΔSmpeak and H of SOMT materials usually follows −ΔSmpeak ∝ Hn [47]. By taking the logarithm of −ΔSmpeak and H, the ln(−ΔSmpeak) vs. lnH plot of the Fe88Pr6Ce4B2 ribbon near Tc was constructed to investigate its magnetocaloric behavior. As displayed in Figure 4b, the slope of the linear fitting (i.e., the n value) is ~0.76, which approaches the value of 0.75 predicted by Franco [47] and is also near that of other Fe-based AAs undergoing SOMT [22,23,34,35,36].
Figure 4.
(a) −ΔSm–T curves of the Fe88Pr6Ce4B2 amorphous ribbon under various magnetic fields; (b) the ln(−ΔSmpeak)–lnH and ln(RCP)–lnH plots and their linear fitting of the Fe88Pr6Ce4B2 amorphous ribbon; (c) ΔTad–T curves of the Fe88Pr6Ce4B2 amorphous ribbon under 1.5 T and 5 T.
In fact, compared with other iron-based glassy alloys with a Tc around the Tcold of household air conditioners, the −ΔSmpeak of the Fe88Pr6Ce4B2 AA is quite high. Table 1 lists the −ΔSmpeak under 1.5 T and 5 T of the Fe88Pr6Ce4B2 AA and other AAs with Tc = 285 ± 10 K [12,16,22,23,24,27,28,29,30,37,48,49,50]. It can be found that the −ΔSmpeak of the Fe88Pr6Ce4B2 ribbon is the highest amongst these Fe-based glassy alloys, and even comparable to that of a few expensive Gd-Co-based AAs. For instance, the −ΔSmpeak under 5 T of the Fe88Pr6Ce4B2 AA is ~36.5% higher than that of the Fe88Zr8B4 AA [22], ~21.3% higher than that of the Fe88Zr7B4Ni1 AA [30], ~13.7% higher than that of the Fe87Ce8B5 AA [35], ~7.8% higher than that of the Fe88La2Ce5B5 AA [45], and even ~9.2% higher than that of the Gd50Co45Fe5 AA [50]. Furthermore, previous studies have shown that the presence of RE atoms is favorable to the enhancement in the −ΔSmpeak in Fe-based AAs, and this enhancement becomes more remarkable when the magnetic moment of RE atoms increases [34,35,36]. The magnetic moment of RE atoms brings extra magnetic entropy changes upon magnetization to iron-based amorphous alloys, resulting in a higher −ΔSmpeak. Thus, the higher −ΔSmpeak of the Fe88Pr6Ce4B2 AA is believed to be related to the higher content of Pr atoms that have a larger atomic magnetic moment.
Table 1.
The Tc, −ΔSmpeak and RCP under 1.5 T and 5 T of the Fe88Pr6Ce4B2 amorphous ribbon and other amorphous alloys with Tc = 285 ± 10 K.
Furthermore, the broadened −ΔSm–T curve can make the Fe88Pr6Ce4B2 AA possess a large relative cooling capacity (RCP = −ΔSmpeak × ∆TFWHM, where ∆TFWHM refers to the full width at half of −ΔSmpeak) [51], which is another meaningful parameter of the magnetocaloric properties of magnetic materials. Therefore, the ∆TFWHM of the Fe88Pr6Ce4B2 amorphous sample was obtained from its −ΔSm–T curve, and the RCP was calculated as ~166.1 J/kg and ~725.8 J/kg under 1.5 T and 5 T, both of which are much larger than those of other iron-based AAs with a Tc near Tcold, pure Gd metal, and FOMT materials [52,53,54]. Furthermore, the field dependence of RCP in amorphous alloys usually follows an exponential function, i.e., RCP = BHN, where B is a constant and N is the critical exponent [44]. Figure 4b shows the ln(RCP) as a function of lnH for the Fe88Pr6Ce4B2 sample. The linear fitting result is quite good, indicating that the Fe88Pr6Ce4B2 AA follows the equation very well. The slope (i.e., the n value) of the linear fitting is ~1.21, which is also close to the values of other AAs [22,23,34].
The adiabatic temperature rise (ΔTad) is also considered an effective method for measuring the refrigeration efficiency of magnetocaloric materials. Based on the Cp(T) curve and the −ΔSm–T curve, the ΔTad of the Fe88Pr6Ce4B2 AA can be derived using the following equation [4]:
Figure 4c displays the temperature dependence of ΔTad for the Fe88Pr6Ce4B2 AA under 1.5 T and 5 T. The highest value of ΔTad reaches ~1.01 K and ~2.57 K under 1.5 T and 5 T, both of which are also higher than those of other iron-based AAs with a Tc around Tcold [23,37]. Overall, the higher −ΔSmpeak, RCP, and ΔTad indicate the better magnetocaloric performances of the low-cost Fe88Pr6Ce4B2 AA near the Tcold of household air conditioners. Furthermore, in the potential application of MR, a magnetic field of 5 T is relatively high and can usually be generated by superconducting magnets, which increases costs, while conventional permanent magnets such as Nd-Fe-B can only generate a maximum magnetic field of 1.5 T. Nevertheless, the magnetocaloric properties of the Fe88Pr6Ce4B2 AA under both 1.5 T and 5 T are far superior to those of other iron-based AAs with a Tc near Tcold.
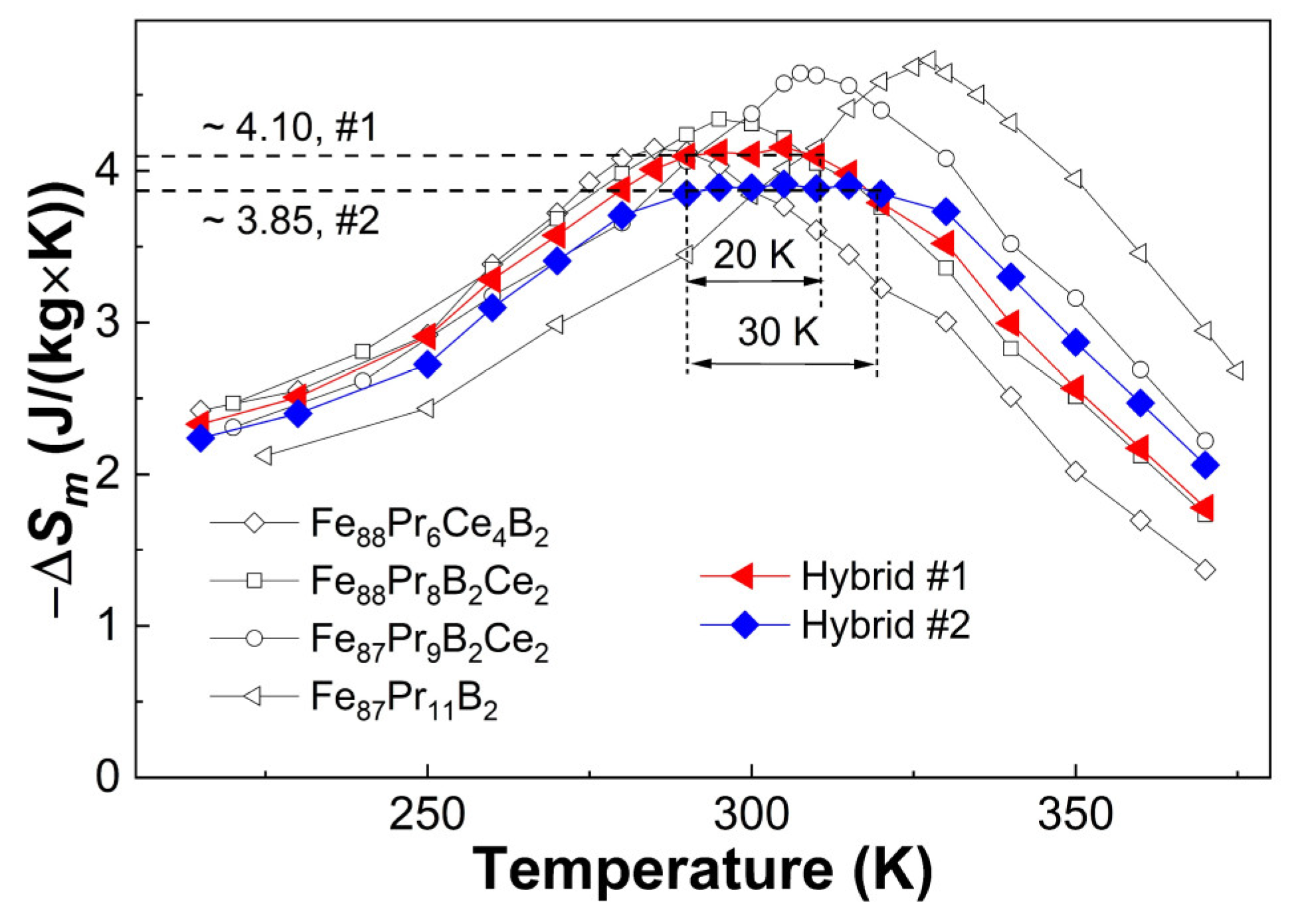
The ideal magnetic refrigerants applied in magnetic refrigeration based on the Ericsson cycle generally require an almost constant −ΔSm within their working temperature ranges [13]. A common and effective method to achieve these refrigerants is to synthesize amorphous hybrids with a table-like −ΔSm–T curve by appropriately proportioning various amorphous ribbons with different Tc. Therefore, several Fe-based AAs with Tc values between the Tcold and Thot of a household air conditioner and almost the highest −ΔSmpeak near their respective Tc were selected to construct amorphous hybrids according to the following equation [55]:
where wi is the mass fraction of the corresponding component. The dependability of Equation (4) has been validated in previous reports [55]. In this study, two amorphous hybrids with table-like −ΔSm–T curves were obtained by mixing 52 wt.% Fe88Pr6Ce4B2 AA + 48 wt.% Fe87Pr9B2Ce2 AA for hybrid #1 and 52 wt.% Fe88Pr6Ce4B2 AA + 3 wt.% Fe88Pr8Ce2B2 AA + 4 wt.% Fe87Pr9B2Ce2 AA + 41 wt.% of Fe87Pr11B2 AA for hybrid #2. Figure 5 shows the −ΔSm–T curves of the selected Fe-based AAs and the two amorphous hybrids under 5 T. Hybrid #1 exhibits a −ΔSmave. of ~4.10 J/(kg × K) from 290 K to 310 K, and hybrid #2 shows a −ΔSmave. of ~3.85 J/(kg × K) from 290 K to 320 K. These two values are the highest among the Fe-based amorphous hybrids that have similar temperature intervals reported in the literature [14,16]. Thus, the effective refrigeration capacity (RCeff = −ΔSmave. × ΔTtable, ΔTtable = Thot − Tcold), which is commonly applied to evaluate the actual refrigeration capacity of hybrid materials, can be calculated accordingly [49]. The RCeff is ~82.0 J/kg for hybrid #1 and ~115.5 J/kg for hybrid #2, both of which are much higher than those of other Fe-based amorphous hybrids with a similar ΔTtable [14,16]. Most notably, the temperature range of the table-like −ΔSm profile of the two hybrids almost perfectly matches the operating temperature range of a household magnetic air conditioner, which indicates that the two amorphous hybrids are potential candidates for use as refrigerants in household magnetic air conditioners. Furthermore, the active magnetic regenerator (AMR, as the mainstream circulation method for current magnetic refrigeration prototypes) refrigerator normally requires a specific shape to maximize heat transfer [2], and ribbons are not the optimal solution. Therefore, amorphous ribbons and amorphous hybrids prepared as described in this paper can be mechanically ground into powder to achieve optimal heat transfer.
Figure 5.
−ΔSm–T curves under 5 T of the Fe88Pr6Ce4B2, Fe88Pr8Ce2B2, Fe87Pr9B2Ce2, and Fe87Pr11B2 amorphous alloys and two amorphous hybrids with table-like −ΔSm–T profiles composed of these amorphous alloys.
4. Conclusions
To sum up, an amorphous Fe88Pr6Ce4B2 alloy with a better MCE near 285 K was successfully prepared in the shape of a ribbon, as described in this paper. The Fe88Pr6Ce4B2 sample exhibited a second-order magnetic transition near its Tc (~284 K) according to Arrott plots and an n value near the Tc. The −ΔSmpeak of the Fe88Pr6Ce4B2 sample reached ~4.15 J/(kg × K) under 5 T at 285 K, which is the highest amongst the iron-based AAs with Tc = 285 ± 10 K and even comparable to that of a few expensive Gd-Co-based AAs. The broadened −ΔSm–T curve indicates the very large RCP (~725.8 J/kg under 5 T) of the Fe88Pr6Ce4B2 ribbon, while the higher −ΔSmpeak leads to a higher ΔTad (~2.57 K under 5 T) for the AA. The large values of −ΔSmpeak, RCP, and ΔTad indicate the better refrigeration performance of the Fe88Pr6Ce4B2 AA near the Tcold of a household air conditioner. Furthermore, two amorphous hybrids with flattened −ΔSm–T curves were synthesized by appropriately proportioning the Fe88Pr6Ce4B2 ribbon and other Fe-based amorphous ribbons with different Tc values but with the their highest −ΔSmpeak being near their respective Tc. The larger −ΔSmave. and RCeff (~4.10 J/(kg × K) and ~82.0 J/kg for #1, ~3.85 J/(kg × K) and ~115.5 J/kg for #2), as well as the temperature range of the table-like −ΔSm profile that matches that of a household air conditioner (290–310 K for #1 and 290–320 K for #2), suggest the great application potential of the two amorphous hybrids as magnetic refrigerants for use in household magnetic air conditioners.
Author Contributions
Conceptualization, Q.W. and L.X.; methodology, D.D.; validation, Q.W. and D.D.; investigation, X.L. and J.Y.; data curation, Q.W. and D.D.; writing—original draft preparation, X.L., J.Y., and Q.W.; writing—review and editing, Q.W. and L.X.; funding acquisition, L.X. All authors have read and agreed to the published version of the manuscript.
Funding
This research was funded by the National Natural Science Foundation of China, grant number 51871139 and 52071196.
Data Availability Statement
The original contributions presented in the study are included in the article, and further inquiries can be directed to the corresponding authors.
Acknowledgments
This research was technically supported by the Center for Advanced Microanalysis of Shanghai University.
Conflicts of Interest
The authors declare no conflicts of interest.
References
- Brück, E. Developments in magnetocaloric refrigeration. J. Phys. D Appl. Phys. 2005, 38, R381–R391. [Google Scholar] [CrossRef]
- Franco, V.; Blázquez, J.S.; Ipus, J.J.; Law, J.Y.; Moreno-Ramírez, L.M.; Conde, A. Magnetocaloric effect: From materials research to refrigeration devices. Prog. Mater. Sci. 2018, 93, 112–232. [Google Scholar]
- Pecharsky, V.K.; Gschneidner, K.A., Jr. Magnetocaloric effect and magnetic refrigeration. J. Magn. Magn. Mater. 1999, 200, 44–56. [Google Scholar] [CrossRef]
- de Oliveira, N.A.; von Ranke, P.J. Theoretical aspects of the magnetocaloric effect. Phys. Rep. 2010, 489, 89–159. [Google Scholar] [CrossRef]
- Yu, B.F.; Gao, Q.; Zhang, B.; Meng, X.Z.; Chen, Z. Review on research of room temperature magnetic refrigeration. Int. J. Refrig. 2003, 26, 622–636. [Google Scholar] [CrossRef]
- Franco, V.; Blázquez, J.S.; Ingale, B.; Conde, A. The Magnetocaloric Effect and Magnetic Refrigeration Near Room Temperature: Materials and Models. Annu. Rev. Mater. Res. 2012, 42, 305–342. [Google Scholar] [CrossRef]
- Gschneidner, K.A.; Pecharsky, V.K.; Tsokol, A.O. Recent developments in magnetocaloric materials. Rep. Prog. Phys. 2005, 68, 1479–1539. [Google Scholar] [CrossRef]
- Pecharsky, V.K.; Gschneidner, K.A. Giant magnetocaloric effect in Gd5(Si2Ge2). Phys. Rev. Lett. 1997, 78, 4494–4497. [Google Scholar] [CrossRef]
- Hu, F.X.; Shen, B.G.; Sun, J.R.; Cheng, Z.H.; Rao, G.H.; Zhang, X.X. Influence of negative lattice expansion and metamagnetic transition on magnetic entropy change in the compound LaFe11.4Si1.6. Appl. Phys. Lett. 2001, 78, 3675–3677. [Google Scholar] [CrossRef]
- Bouzidi, W.; Mliki, N.; Bessais, L. Second-order magnetic transition and low field magnetocaloric effect in nanocrystalline Pr5Co19 compound. J. Electron. Mater. 2018, 47, 2776–2781. [Google Scholar] [CrossRef]
- Hernández-González, E.L.; Watts, B.E.; Palomares-Sánchez, S.A.; Elizalde Galindo, J.T.; Mirabal-García, M. Second-order magnetic transition in La0.67Ca0.33−xSrxMnO3 (x = 0.05, 0.06, 0.07, 0.08). J. Supercond. Nov. Magn. 2016, 29, 2421–2427. [Google Scholar] [CrossRef]
- Wang, Z.W.; Yu, P.; Cui, Y.T.; Xia, L. Near room temperature magneto-caloric effect of a Gd48Co52 amorphous alloy. J. Alloys Compd. 2016, 658, 598–602. [Google Scholar] [CrossRef]
- Hashimoto, T.; Kuzuhara, T.; Sahashi, M.; Inomata, K.; Tomokiyo, A.; Yayama, H. New application of complex magnetic materials to the magnetic refrigerant in an Ericsson magnetic refrigerator. J. Appl. Phys. 1987, 62, 3873–3878. [Google Scholar] [CrossRef]
- Lai, J.W.; Zheng, Z.G.; Zhong, X.C.; Franco, V.; Montemayor, R.; Liu, Z.W.; Zeng, D.C. Table-like magnetocaloric effect of Fe88-xNdxCr8B4 composite materials. J. Magn. Magn. Mater. 2015, 390, 87–90. [Google Scholar] [CrossRef]
- Tian, H.; Zhong, X.; Liu, Z.; Zheng, Z.; Min, J.X. Achieving table-like magnetocaloric effect and large refrigerant capacity around room temperature in Fe78−xCexSi4Nb5B12Cu1 (x = 0–10) composite materials. Mater. Lett. 2015, 138, 64–66. [Google Scholar] [CrossRef]
- Peng, J.X.; Tang, B.Z.; Wang, Q.; Bai, C.; Wu, Y.; Chen, Q.X.; Li, D.M.; Ding, D.; Xia, L.; Guo, X.L.; et al. Effect of heavy rare-earth (Dy, Tb, Gd) addition on the glass-forming ability and magneto-caloric properties of Fe89Zr7B4 amorphous alloy. J. Alloys Compd. 2022, 925, 166707. [Google Scholar] [CrossRef]
- Inoue, A.; Takeuchi, A. Recent development and application products of bulk glassy alloys. Acta Mater. 2011, 59, 2243–2267. [Google Scholar] [CrossRef]
- Li, H.X.; Lu, Z.C.; Wang, S.L.; Wu, Y.; Lu, Z.P. Fe-based bulk metallic glasses: Glass formation, fabrication, properties and applications. Prog. Mater. Sci. 2019, 103, 235–318. [Google Scholar] [CrossRef]
- Mishra, D.; Gurram, M.; Reddy, A.; Perumal, A.; Saravanan, P.; Srinivasan, A. Enhanced soft magnetic properties and magnetocaloric effect in B substituted amorphous Fe-Zr alloy ribbons. Mater. Sci. Eng. B 2010, 175, 253–260. [Google Scholar] [CrossRef]
- Waske, A.; Schwarz, B.; Mattern, N.; Eckert, J. Magnetocaloric (Fe-B)-based amorphous alloys. J. Magn. Magn. Mater. 2013, 329, 101–104. [Google Scholar] [CrossRef]
- Guo, D.Q.; Yuan, Y.D.; Chan, K.C. The effect of different minor additions on the magneto-caloric effect of FeZrB metallic ribbons near room temperature. J. Magn. Magn Mater. 2018, 446, 12–17. [Google Scholar] [CrossRef]
- Wang, X.; Wang, Q.; Tang, B.Z.; Ding, D.; Cui, L.; Xia, L. Magnetic and magneto-caloric properties of the amorphous Fe92-xZr8Bx ribbons. Materials 2020, 13, 5334. [Google Scholar] [CrossRef] [PubMed]
- Yu, P.; Zhang, J.Z.; Xia, L. Effect of boron on the magneto-caloric effect in Fe91−xZr9Bx (x = 3, 4, 5) amorphous alloys. J. Mater. Sci. 2017, 52, 13948–13955. [Google Scholar] [CrossRef]
- Zhang, H.Y.; Li, R.; Xu, T.; Liu, F.M.; Zhang, T. Near room-temperature magnetocaloric effect in FeMnPBC metallic glasses with tunable Curie temperature. J. Magn. Magn. Mater. 2013, 347, 131–135. [Google Scholar] [CrossRef]
- Franco, V.; Conde, A.; Kiss, L.F. Magnetocaloric response of FeCrB amorphous alloys: Predicting the magnetic entropy change from the Arrott-Noakes equation of state. J. Appl. Phys. 2008, 104, 033903. [Google Scholar] [CrossRef]
- Zhang, M.X.; Li, J.W.; Kong, F.L.; Liu, J. Magnetic properties and magnetocaloric effect of FeCrNbYB metallic glasses with high glass-forming ability. Intermetallics 2015, 59, 18–22. [Google Scholar] [CrossRef]
- Wang, G.F.; Li, H.L.; Zhang, X.F.; Ma, Q.; Liu, Y.L.; Li, Y.F.; Zhao, Z.R. Large Magnetocaloric Effect in Fe-B-Mn-Zr-Nb Amorphous Alloys Near Room Temperature. J. Supercond. Nov. Magn 2016, 29, 1837–1842. [Google Scholar] [CrossRef]
- Kolano-Burian, A.; Kowalczyk, M.; Kolano, R.; Szymczak, R.; Szymczak, H.; Polak, M. Magnetocaloric effect in Fe–Cr–Cu–Nb–Si–B amorphous materials. J. Alloys Compd. 2009, 479, 71–73. [Google Scholar] [CrossRef]
- Caballero-Flores, R.; Franco, V.; Conde, A.; Knipling, K.E.; Willard, M.A. Influence of Co and Ni addition on the magnetocaloric effect in Fe88−2xCoxNixZr7B4Cu1 soft magnetic amorphous alloys. Appl. Phys. Lett. 2010, 96, 182506. [Google Scholar] [CrossRef]
- Li, X.Z.; Pan, Y. Magnetocaloric effect in Fe-Zr-B-M (M = Ni, Co, Al, and Ti) amorphous alloys. J. Appl. Phys. 2014, 116, 093910. [Google Scholar] [CrossRef]
- Alouhmy, M.; Moubah, R.; Alouhmy, G.; Abid, M.; Lassri, H. Effects of hydrogen implantation on the magnetocaloric properties of amorphous FeZr films. Vacuum 2021, 186, 110063. [Google Scholar] [CrossRef]
- Charkaoui, A.; Moubah, R.; Bouhbou, M.; Lassri, H.; Elouafi, A.; Jönsson, P.E. Critical behavior and magnetocaloric effect in C-implanted Fe93Zr7 amorphous films. Solid State Commun. 2020, 316, 113962. [Google Scholar] [CrossRef]
- Škorvánek, I.; Kováč, J.; Marcin, J.; Švec, P.; Janičkovič, D. Magnetocaloric effect in amorphous and nanocrystalline Fe81−xCrxNb7B12 (x = 0 and 3.5) alloys. Mater. Sci. Eng. A 2007, 449, 460–463. [Google Scholar] [CrossRef]
- Wang, Q.; Ding, D.; Tang, B.Z.; Yu, P.; Chan, K.C.; Xia, L. Excellent magnetocaloric performance of a Fe88Zr4Pr4B4 amorphous alloy and its amorphous hybrids. Intermetallics 2023, 161, 107982. [Google Scholar] [CrossRef]
- Wang, P.J.; Wang, Q.; Zheng, S.H.; Zhu, L.Z.; Ding, D.; Tang, B.Z.; Yu, P.; Yao, J.L.; Xia, L. Improvement of Curie temperature and magnetic entropy change of a Fe88Zr8B4 metallic glass by minor Nd substitution. J. Non-Cryst. Solids 2023, 611, 122347. [Google Scholar] [CrossRef]
- Zhang, Z.R.; Liu, X.J.; Zhang, H.T.; Wang, Q.; Ding, D.; Tang, B.Z.; Yu, P.; Yao, J.L.; Xia, L. Mechanism for Improved Curie Temperature and Magnetic Entropy Change in Sm-Doped Fe88Zr8B4 Amorphous Alloys. Materials 2023, 16, 7274. [Google Scholar] [CrossRef]
- Li, A.L.; Wang, Q.; Tang, B.Z.; Yu, P.; Ding, D.; Xia, L. Magnetocaloric effect of the Fe87M8B5 (M = Zr, Ce) amorphous alloys. Mater. Sci. Eng. B 2022, 286, 116033. [Google Scholar] [CrossRef]
- Inoue, A. Stabilization of metallic supercooled liquid and bulk amorphous alloys. Acta. Mater. 2000, 48, 279–306. [Google Scholar] [CrossRef]
- Turnbull, D. Under what conditions can a glass be formed? Contemp. Phys. 1969, 10, 473–488. [Google Scholar] [CrossRef]
- Lu, Z.P.; Liu, C.T. Glass formation criterion for various glass-forming systems. Phys. Rev. Lett. 2003, 91, 115505. [Google Scholar] [CrossRef]
- Takeuchi, A.; Inoue, A. Classification of bulk metallic glasses by atomic size difference, heat of mixing and period of constituent elements and its application to characterization of the main alloying element. Mater. Trans. 2005, 46, 2817–2829. [Google Scholar] [CrossRef]
- Banerjee, S.K. On a generalized approach to first and second order magnetic transitions. Phys. Lett. 1964, 12, 16–17. [Google Scholar] [CrossRef]
- Mira, J.; Rivas, J. Change from first- to second-order magnetic phase transition in La2/3(Ca, Sr)1/3MnO3 perovskites. Phys. Rev. B 1999, 60, 2998–3001. [Google Scholar] [CrossRef]
- Amaral, J.S.; Reis, M.S.; Amaral, V.S.; Mendonca, T.M.; Araujo, J.P.; Sa, M.A.; Tavares, P.B.; Vieira, J.M. Magnetocaloric effect in Er- and Eu-substituted ferromagnetic La-Sr manganites. J. Magn. Magn. Mater. 2005, 290, 686–689. [Google Scholar] [CrossRef]
- Mtiraoui, N.; Dhahri, J.; Oumezine, M.; Dhahri, E. Magnetic and Magnetocaloric Properties of La0.67Pb0.33−xAgxMnO3 Compounds. J. Supercond. Nov. Magn. 2012, 25, 1937–1945. [Google Scholar] [CrossRef][Green Version]
- Tozri, A.; Dhahri, E.; Hlil, E.K. Magnetic transition and magnetic entropy changes of La0.8Pb0.1MnO3 and La0.8Pb0.1Na0.1MnO3. Mater. Lett. 2010, 64, 2138–2141. [Google Scholar] [CrossRef]
- Franco, V.; Blázquez, J.S.; Conde, A. Field dependence of the magnetocaloric effect in materials with a second order phase transition: A master curve for the magnetic entropy change. Appl. Phys. Lett. 2006, 89, 222512. [Google Scholar] [CrossRef]
- Li, X.Z.; Pan, Y.; Lu, T. Magnetocaloric effect in Fe-based amorphous alloys and their composites with low boron content. J. Non-Cryst. Solids 2018, 487, 7–11. [Google Scholar] [CrossRef]
- Wang, Q.; Ding, D.; Tang, B.Z.; Yu, P.; Yao, J.L.; Xia, L. Formation and magnetocaloric properties of the amorphous Fe88La7−xCexB5 (x = 0, 1, 3, 5, 7) ribbons. J. Phys. Chem. Solids 2022, 169, 110854. [Google Scholar] [CrossRef]
- Liu, G.L.; Zhao, D.Q.; Bai, H.Y.; Wang, W.H.; Pan, M.X. Room temperature table-like magnetocaloric effect in amorphous Gd50Co45Fe5 ribbon. J. Phys. D Appl. Phys. 2016, 49, 055004. [Google Scholar] [CrossRef]
- Wood, M.E.; Potter, W.H. General analysis of magnetic refrigeration and its optimization using a new concept: Maximization of refrigerant capacity. Cryogenics 1985, 25, 667–683. [Google Scholar] [CrossRef]
- Shen, J.; Wu, J.F.; Sun, J.R. Room-temperature large refrigerant capacity of Gd6Co2Si3. J. Appl. Phys. 2009, 106, 083902. [Google Scholar] [CrossRef]
- Provenzano, V.; Shapiro, A.J.; Shull, R.D. Reduction of hysteresis losses in the magnetic refrigerant Gd5Ge2Si2 by the addition of iron. Nature 2004, 429, 853–857. [Google Scholar] [CrossRef] [PubMed]
- Ding, M.Z.; Liu, Z.; Chen, R.J.; Yan, A.R. Magnetocaloric effect in NaZn13-type La1−xPrxFe11.44Si1.56 melt-spun ribbons. J. Appl. Phys. 2010, 107, 09A952. [Google Scholar] [CrossRef]
- Alvarez, P.; Sanchez Llamazares, J.L.; Gorria, P.; Blanco, J.A. Enhanced refrigerant capacity and magnetic entropy flattening using a two-amorphous FeZrB(Cu) composite. Appl. Phys. Lett. 2011, 99, 232501. [Google Scholar] [CrossRef]
Disclaimer/Publisher’s Note: The statements, opinions and data contained in all publications are solely those of the individual author(s) and contributor(s) and not of MDPI and/or the editor(s). MDPI and/or the editor(s) disclaim responsibility for any injury to people or property resulting from any ideas, methods, instructions or products referred to in the content. |
© 2024 by the authors. Licensee MDPI, Basel, Switzerland. This article is an open access article distributed under the terms and conditions of the Creative Commons Attribution (CC BY) license (https://creativecommons.org/licenses/by/4.0/).




