PSO-FDM (Particle Swarm Optimization-Finite Difference Method)-Based Simulation Model of Temperature and Velocity of Full-Scale Continuous Annealing Furnace
Abstract
1. Introduction
2. Modeling of Heat Transfer in Continuous Annealing Furnaces
2.1. Model Assumptions and Basic Equations
2.2. Mathematical Model for Temperature Prediction of Continuous Annealing Furnace Segments
2.2.1. Calculation of the Temperature Field in the Radiant Heat Transfer Section
2.2.2. Calculation of Temperature Field in Mixed Heat Transfer Section
3. Optimization of Heat Transfer Model for Continuous Annealing Furnace
3.1. Strip Grading Rules
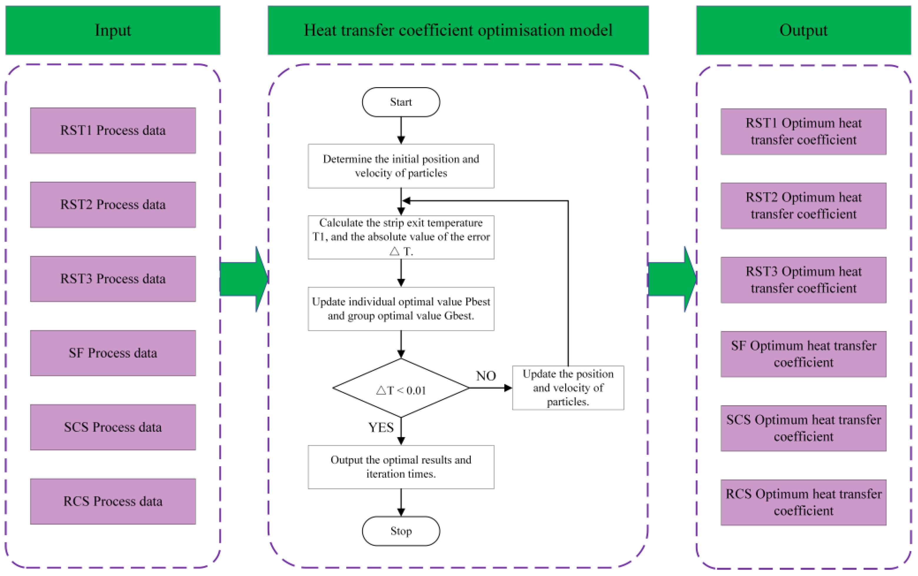
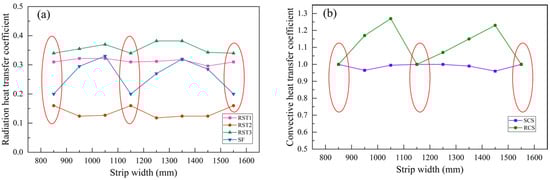
3.2. Heat Transfer Coefficient Optimization Modeling
3.3. Model Accuracy Validation
4. Full Specification Forecast Model Optimization
5. Conclusions
- (1)
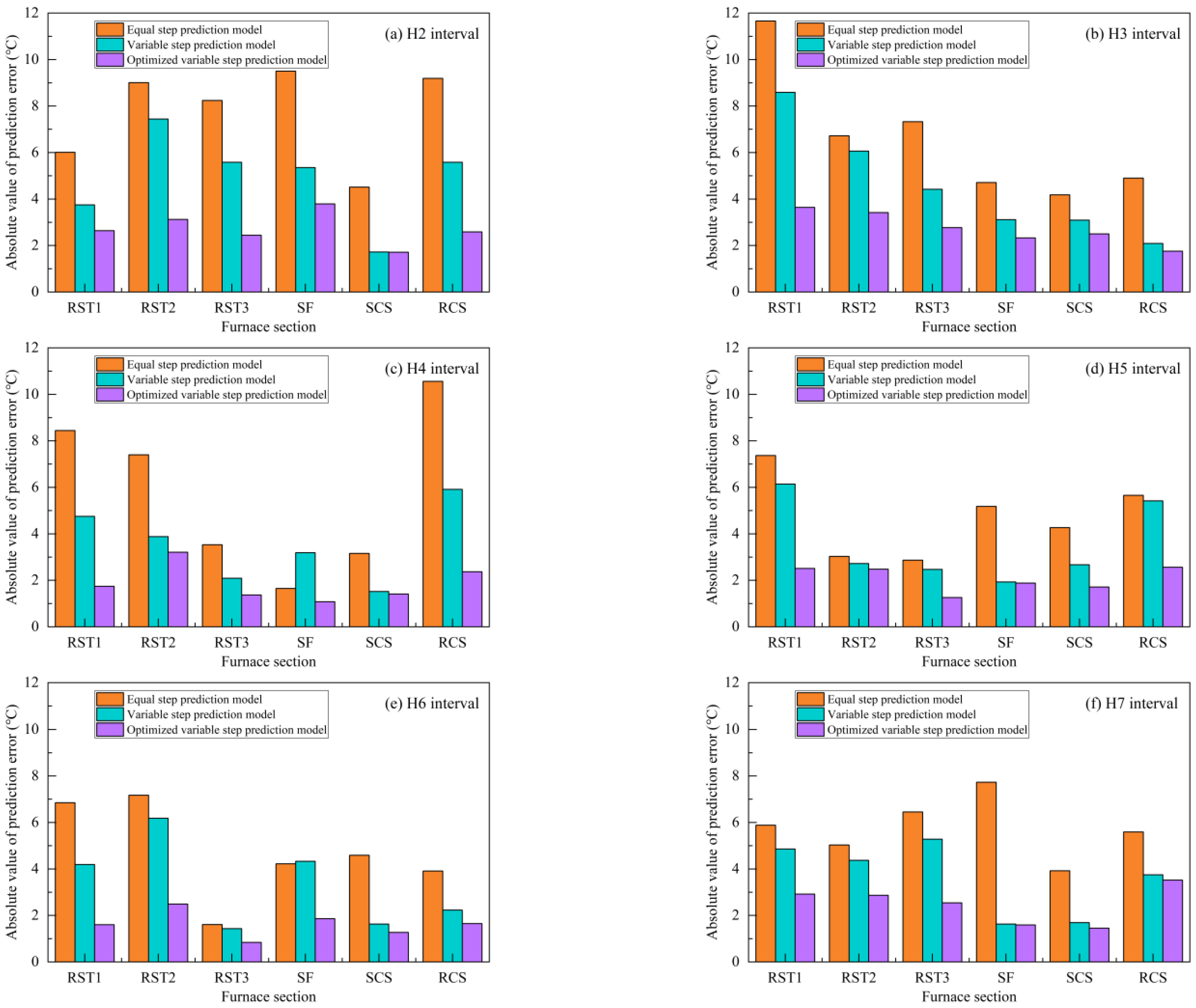
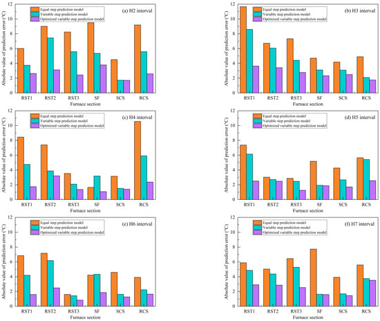
- A continuous annealing temperature prediction model for broad strip steel is developed using a variable step-size strategy, incorporating thermal process tracking and finite difference methods. The heat transfer coefficients for each furnace section are optimized with the PSO algorithm. Comparative analysis of the calculation accuracy and speed among the original equal-step model, the preoptimization variable-step model, and the post-optimization variable-step model demonstrates that the post-optimization model enhances prediction accuracy by 61.85% and calculation speed by 23.66% compared to the equal-step model.
- (2)
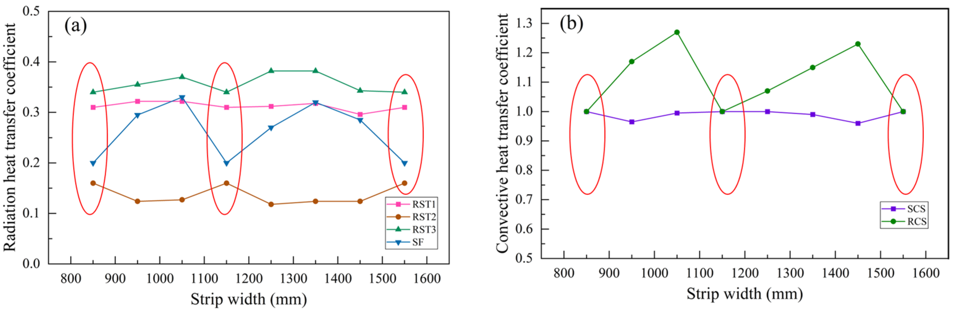
- The number of training samples significantly impacts the computational accuracy of the model. With sufficient training samples, the model error can be controlled to within 2 °C. However, when the number of samples is insufficient in certain stalls, the model error can rise to approximately 4 °C. This study examines the effectiveness of the proposed method and the merging method in addressing issues related to central and edge gauge vacancies caused by insufficient training samples. The results indicate that for central gauge vacancies, the proposed method yields higher accuracy in determining the optimal heat transfer coefficient. In contrast, for edge gauge vacancies, the merging method provides better accuracy.
Author Contributions
Funding
Data Availability Statement
Conflicts of Interest
References
- Wang, Y.; Wang, X. A dual-population multiobjective co-evolutionary matching ensemble learning for product multi-indicator prediction in continuous annealing. Neurocomputing 2024, 572, 127226. [Google Scholar] [CrossRef]
- Wegel, S.; Ivanov, A.; Lenz, R.; Volling, T. Scheduling of parallel continuous annealing lines with alternative processing modes to optimize efficiency under tardiness constraints. Eur. J. Oper. Res. 2024, 316, 282–294. [Google Scholar] [CrossRef]
- Gajdzik, B.; Wolniak, R.; Grebski, W.W. Electricity and heat demand in steel industry technological processes in Industry 4.0 conditions. Energies 2023, 16, 787. [Google Scholar] [CrossRef]
- Seo, M.; Ban, J.; Cho, M.; Koo, B.Y.; Kim, S.W. Low-order model identification and adaptive observer-based predictive control for strip temperature of heating section in annealing furnace. IEEE Access 2021, 9, 53720–53734. [Google Scholar] [CrossRef]
- Sun, J.; Peng, W.; Ding, J.; Li, X.; Zhang, D. Key intelligent technology of steel strip production through process. Metals 2018, 8, 597. [Google Scholar] [CrossRef]
- Wang, Z.; Wang, X. Multiobjective multifactorial operation optimization for continuous annealing production process. Ind. Eng. Chem. Res. 2019, 58, 19166–19178. [Google Scholar] [CrossRef]
- Wang, P.; Chen, J.; Sun, B.; Zhu, D.; Cao, Y. Effects of annealing process parameters on microstructural evolution and strength-ductility combination of CoCrFeMnNi high-entropy alloy. Mater. Sci. Eng. A 2022, 840, 142880. [Google Scholar] [CrossRef]
- He, F.; Wang, Z.-X.; Liu, G.; Wu, X.-L. Calculation Model, Influencing Factors, and Dynamic Characteristics of Strip Temperature in a Radiant Tube Furnace during Continuous Annealing Process. Metals 2022, 12, 1256. [Google Scholar] [CrossRef]
- Xia, Q.; Wang, X.; Tang, L. Operation Optimization of Slab Reheating Process Based on Differential Evolution. ISIJ Int. 2016, 56, 2006–2015. [Google Scholar] [CrossRef]
- Wan, F.; Wang, Y.-Q.; Qin, S.-R. Modeling of Strip Heating Process in Vertical Continuous Annealing Furnace. J. Iron Steel Res. Int. 2012, 19, 29–36. [Google Scholar] [CrossRef]
- Chen, T.-C.; Ho, C.-H.; Lin, J.-C.; Wu, L.-W. 3-D temperature and stress distributions of strip in preheating furnace of continuous annealing line. Appl. Therm. Eng. 2010, 30, 1047–1057. [Google Scholar] [CrossRef]
- Ho, C.-H.; Chen, T.-C. Temperature Distribution of Taper Rolls in Preheating Furnace of Cold Rolling Continuous Annealing Line. Heat Transf. Eng. 2010, 31, 880–888. [Google Scholar] [CrossRef]
- Depree, N.; Taylor, M.P.; Chen, J.J.J.; Sneyd, J.; Taylor, S.; Wang, S. Development of a Three-Dimensional Heat Transfer Model for Continuous Annealing of Steel Strip. Ind. Eng. Chem. Res. 2011, 51, 1790–1795. [Google Scholar] [CrossRef]
- Jo, S.Y.; Hong, S.; Han, H.N.; Lee, M.-G. Modeling and Simulation of Steel Rolling with Microstructure Evolution: An Overview. Steel Res. Int. 2023, 94, 2200260. [Google Scholar] [CrossRef]
- Bao, Q.; Zhang, S.; Guo, J.; Li, Z.; Zhang, Z. Multivariate linear-regression variable parameter spatio-temporal zoning model for temperature prediction in steel rolling reheating furnace. J. Process Control 2023, 123, 108–122. [Google Scholar] [CrossRef]
- Sanz-Garcia, A.; Antoñanzas-Torres, F.; Fernández-Ceniceros, J.; Martínez-de-Pisón, F.J. Overall models based on ensemble methods for predicting continuous annealing furnace temperature settings. Ironmak. Steelmak. 2013, 41, 51–60. [Google Scholar] [CrossRef]
- Zhang, Y.; Jin, Y.; Cao, W.; Li, Z.; Yuan, Y. A dynamic data-driven model for predicting strip temperature in continuous annealing line heating process. In Proceedings of the 2018 37th Chinese Control Conference (CCC), Wuhan, China, 25–27 July 2018; IEEE: Piscataway, NJ, USA; pp. 1887–1891. [Google Scholar]
- Chen, Q.; Li, S.; Xi, Y.; Huang, G. Furnace temperature modeling for continuous annealing process based on generalized growing and pruning RBF neural network. In Proceedings of the Advances in Neural Networks-ISNN 2004: International Symposium on Neural Networks, Dalian, China, 19–21 August 2004; Proceedings, Part II 1; Springer: Berlin/Heidelberg, Germany; pp. 755–760.
- Prieto, M.M.; Fernández, F.J.; Rendueles, J.L. Development of stepwise thermal model for annealing line heating furnace. Ironmak. Steelmak. 2013, 32, 165–170. [Google Scholar] [CrossRef]
- Li, T.; Meng, Y.; Tang, L. Scheduling of continuous annealing with a multi-objective differential evolution algorithm based on deep reinforcement learning. IEEE Trans. Autom. Sci. Eng. 2023, 21, 1767–1780. [Google Scholar] [CrossRef]
- Sun, W.; Han, Y.; Yuan, T. Research on prediction model of continuous annealing temperature field of wide strip based on variable step size strategy. Steel Rooling 2022, 39, 35–40. [Google Scholar] [CrossRef]
- Kennedy, J.; Eberhart, R. Particle swarm optimization. In Proceedings of the ICNN’95-International Conference on Neural Networks, Perth, Australia, 27 November–1 December 1995; IEEE: Piscataway, NJ, USA; pp. 1942–1948. [Google Scholar]
- Gad, A.G. Particle Swarm Optimization Algorithm and Its Applications: A Systematic Review. Arch. Comput. Methods Eng. 2022, 29, 2531–2561. [Google Scholar] [CrossRef]






| RST | SF | SCS | RCS | |
|---|---|---|---|---|
| Iteration number | 321 | 44 | 8 | 3 |
| Graded Width | Lower Width Limit/mm | Upper Width Limit/mm |
|---|---|---|
| W1 | 0 | 800 |
| W2 | 800 | 900 |
| W3 | 900 | 1000 |
| W4 | 1000 | 1100 |
| W5 | 1100 | 1200 |
| W6 | 1200 | 1300 |
| W7 | 1300 | 1400 |
| W8 | 1400 | 1500 |
| W9 | 1500 | 1600 |
| W10 | 1600 | 2000 |
| Graded Thickness | Lower Thickness Limit/mm | Upper Thickness Limit/mm |
|---|---|---|
| H0 | 0 | 0.2 |
| H1 | 0.2 | 0.4 |
| H2 | 0.4 | 0.6 |
| H3 | 0.6 | 0.8 |
| H4 | 0.8 | 1.0 |
| H5 | 1.0 | 1.2 |
| H6 | 1.2 | 1.4 |
| H7 | 1.4 | 1.6 |
| H8 | 1.6 | 1.8 |
| H9 | 1.8 | 2.0 |
| H10 | 2.0 | 2.3 |
| H11 | 2.3 | 2.6 |
| H12 | 2.6 | 3.0 |
| Equal Step Model | Variable Step Model | Optimized Variable Step Model | |
|---|---|---|---|
| Average error/°C | 5.89 | 3.92 | 2.25 |
| Computation speed/s | 0.97 | 0.71 | 0.71 |
| Furnace Section | Fit Function |
|---|---|
| RST1 | y = −4 × 10−5 x + 0.3647 |
| RST2 | y = −4 × 10−6 x + 0.1285 |
| RST3 | y = −2 × 10−6 x + 0.3694 |
| SF | y = −3 × 10−5 x + 0.3387 |
| SCS | y = −6 × 10−6 x + 0.9897 |
| RCS | y = −6 × 10−5 x + 1.2485 |
| Furnace Section | Merger Method | Proposed Lawfulness | ||||
|---|---|---|---|---|---|---|
| W2 | W5 | W9 | W2 | W5 | W9 | |
| RST1 | 0.322 | 0.322 | 0.296 | 0.337 | 0.321 | 0.301 |
| RST2 | 0.124 | 0.127 | 0.124 | 0.095 | 0.124 | 0.122 |
| RST3 | 0.355 | 0.370 | 0.343 | 0.368 | 0.367 | 0.366 |
| SF | 0.295 | 0.330 | 0.225 | 0.313 | 0.304 | 0.291 |
| SCS | 0.965 | 0.995 | 0.960 | 0.985 | 0.983 | 0.980 |
| RCS | 1.170 | 1.270 | 1.230 | 1.198 | 1.180 | 1.153 |
Disclaimer/Publisher’s Note: The statements, opinions and data contained in all publications are solely those of the individual author(s) and contributor(s) and not of MDPI and/or the editor(s). MDPI and/or the editor(s) disclaim responsibility for any injury to people or property resulting from any ideas, methods, instructions or products referred to in the content. |
© 2024 by the authors. Licensee MDPI, Basel, Switzerland. This article is an open access article distributed under the terms and conditions of the Creative Commons Attribution (CC BY) license (https://creativecommons.org/licenses/by/4.0/).
Share and Cite
Liu, Y.; Guo, Q.; Yuan, T.; Han, Y.; Liu, C.; Sun, W. PSO-FDM (Particle Swarm Optimization-Finite Difference Method)-Based Simulation Model of Temperature and Velocity of Full-Scale Continuous Annealing Furnace. Metals 2024, 14, 1204. https://doi.org/10.3390/met14111204
Liu Y, Guo Q, Yuan T, Han Y, Liu C, Sun W. PSO-FDM (Particle Swarm Optimization-Finite Difference Method)-Based Simulation Model of Temperature and Velocity of Full-Scale Continuous Annealing Furnace. Metals. 2024; 14(11):1204. https://doi.org/10.3390/met14111204
Chicago/Turabian StyleLiu, Yang, Qiang Guo, Tieheng Yuan, Yingrui Han, Chao Liu, and Wenquan Sun. 2024. "PSO-FDM (Particle Swarm Optimization-Finite Difference Method)-Based Simulation Model of Temperature and Velocity of Full-Scale Continuous Annealing Furnace" Metals 14, no. 11: 1204. https://doi.org/10.3390/met14111204
APA StyleLiu, Y., Guo, Q., Yuan, T., Han, Y., Liu, C., & Sun, W. (2024). PSO-FDM (Particle Swarm Optimization-Finite Difference Method)-Based Simulation Model of Temperature and Velocity of Full-Scale Continuous Annealing Furnace. Metals, 14(11), 1204. https://doi.org/10.3390/met14111204
