Abstract
Achieving perfect flatness, tension-free surfaces, and exceptional resistance to spring back are important characteristics of packaging steel, setting the standard for high-quality material performance. To guarantee these crucial parameters, the implementation of the stretch-bending process at the final stage of the production route is indispensable. Besides improving the flatness properties, the induced plastic deformation results in an accompanying change in the mechanical properties. This investigation focuses on understanding this change in mechanical properties due to different stretch-bending straightening process parameters. A multivariate predictive model is created to calculate a process window for achieving the desired flatness and also mechanical properties in the production of packaging steel. This model is validated by experiments with a laboratory facility.
1. Introduction
The stretch-bending straightening process plays a crucial role in shaping semi-finished flat products, ensuring essential properties like flatness, reduced tension stresses, and resistance to spring back. These attributes are vital for facilitating seamless processing by manufacturers and meeting the expectations of customers. Precise straightening minimizes the reworking efforts and, therefore, also reduces the occurrence of complaints. There are applications across diverse metal processing industries, accommodating materials like steel [1], aluminum [2], and brass [3]. Previous studies have predominantly examined the influence of the straightening process on the flatness properties of heavy plates [4], wires [5], tubes [6], H-beams [7], and strip materials [8,9]. The investigated material thicknesses of strip material and heavy plates ranged from 0.224 to 54 mm [4,9]. However, thin-sheet packaging steels with ultra-low carbon content remain unexplored.
Additionally, there are structural variations in straightening machines, differentiating between stretch [9], bending [10], and stretch-bending straighteners [11,12]. This paper focuses on the stretch-bending straightening process, a distinctive blend of tensile and bending loads inducing alternating tensile and compression forces into the sheet material. By this, undesirable flatness defects are removed. These can be divided into shape defects, curl, and gutter. Shape defects are caused by different lengths of material across the width of the strip. This results in wavy edges or center buckles. Curl, gutter, and a combination of both arise due to unbalanced tension stresses across the strip thickness [2,13,14].
The flatness of the material is ensured by specifically adjusting the process parameters to the material to be straightened. The plastic deformations induced by the alternating loads in the straightening process lead to the desired flatness but also result in additional changes in the mechanical properties. This impact of the straightening process on the mechanical properties have been studied by Noé et al. for 0.7 and 1.5 mm thick steel sheets by varying one straightening process parameter and roll geometries of the straightening unit [15]. Harangózó et al. investigated the influence of the straightening process on the mechanical properties on aluminum sheets, focusing on different base material specifications under identical straightening process parameters [16]. These investigations have shown that the change in mechanical properties depends on the characteristics of the base material, setup of the straightening unit, and straightening processing parameters. Hardening or softening may be the result of these changes in mechanical properties. In the case of the aluminum sheets studied by Harangózó et al., hardening of the material takes place [16]. On the other hand, the softening of low carbon steel under cyclic loading was investigated by Chai et al. They have shown that alternating tension and compression loads, which are also present in straightening process, can lead to the softening of low carbon steels [17].
To investigate the straightening process of metals, several methods have been used. One approach involves conducting test series directly in production, offering a one-to-one reflection of material behavior [18]. Theoretical investigations of the stretch-bending process, using analytical models and assumptions, provide another approach [19,20]. Further, the finite element method is used, necessitating the creation of a model of the stretch-bending straightening process, material characterization, and subsequent validation with a real setup [21,22,23,24]. On the other hand, simulations provide a low material loss and versatile setting exploration. Experimental testing is another way of investigating the stretch-bending straightening process. While a laboratory facility offers distinct advantages of minimal material loss and the quick change in stretch-bending parameters, it is not without its drawbacks. Notably, there are substantial investment costs associated with its planning, construction, and adjustment.
One of the biggest challenges of stretch-bending straightening, particularly in the context of packaging steel, is that a specific set of stretch-bending straightening process parameters may result in the fulfillment of the flatness requirements yet fail to achieve the desired mechanical properties of the straightened material. The failure to comply with the specified tolerance limits for mechanical properties has resulted in increased costs due to the necessity of reworking and a higher incidence of complaints regarding the finished product.
The principal objective of this research is to elucidate the impact of process parameters on the mechanical properties of a packaging steel specification. Therefore, the stretch-bending straightening process parameters, intermesh and the degree of stretching are varied to examine the change in tensile test properties. These results are used to create a multivariate model to predict the resulting mechanical properties. Furthermore, this model can be used to predict a process parameter window that achieves the desired mechanical properties and can be varied to eliminate several types of flatness defects.
In order to achieve these objectives, a laboratory facility and tensile tests are employed for investigative purposes. In contrast to previous experiments at the laboratory facility, the current testing procedure requires an intricate alignment of the electrical and mechanical parameters of the stretch-bending straightening unit. This precision is essential for configuring targeted tests and accurately assessing the specified process parameters. All necessary parameters are measured and controlled during or before each test series. Following that, the main objectives of the research are investigated.
2. Materials and Methods
In the following section, the investigated materials and experimental procedure are presented. The investigation process starts with ensuring the fine adjustment and calibration of the laboratory facility. The next step involves the presentation of the tensile test results obtained under varying stretch-bending straightening parameters.
2.1. Packaging Steel
Packaging steel is the base material to produce different packing applications like food cans, closures of glass containers, or industrial packaging. This type of steel is pure ferritic with a maximum carbon content of 0.12% [25]. Due to the high cold rolling and temper rolling degrees up to 40%, thicknesses from 0.1 to 0.5 mm can be reached. The investigated material has an offset yield stress of 523 MPa and a material thickness of 0.20 mm. The material specification under investigation has a defined range of 500 to 600 MPa that must be achieved. Compared to previous publications, the material is characterized by its low thickness, its ultra-low carbon content, and temper rolling degrees above 5%.
2.2. Laboratory Facility
The presented laboratory facility was constructed with the objective of experimentally simulating the laminating process of packaging steel in a continuous test line as illustrated in Figure 1. In addition to continuous foiling, special thermal treatments were conducted to recrystallize the material [26]. The production line has a length of twelve meters and comprises the following sections: uncoiling, laminating, annealing, stretch-bending straightening, and coiling. The geometry parameters of the steel strip are limited by 0.400 mm thickness and material width of 300 mm.
Figure 1.
The laboratory facility is designed for the continuous laminating, annealing, and straightening of packaging steel on a laboratory scale.
The built-in stretch-bending straightening unit of the laboratory facility consists of four identical bridle-rolls transporting the strip through a multiroller, shown in Figure 2. All four bridle-rolls are driven by their own electronic engine and can therefore be set at different speeds. These differences in speed of the bridle-roll sets at the inlet and outlet of the straightener unit are used to set a specific degree of stretching . This parameter is defined as the plastic deformation in length in relation to the initial gauge length along the rolling direction during the straightening process, illustrated in Equation (1). To set the right speed for a desired , the correlation of bridle-roll set speed differences on plastic deformation has to be determined:
Figure 2.
Stretch-bending straightening section used to produce flat and tension free material.
The multiroller unit is located between the two bridle-roll sets, consisting of an upper and lower cassette, shown in Figure 3. Each cassette is separated in three layers of rolls, which are called support-, intermediate-, and straightening rolls. The latter are in direct contact with the steel strip. The distance between the upper and lower sets of rolls is an important parameter in stretch-bending straightening. To change this distance, the lower cassette can be moved by a lifting gear in the vertical direction, while the upper cassette is rigid and stays in position. This vertical displacement is controlled by four measurement gauges at each corner of the cassette. These are used to set the displacement of the lower cassette and to control its alignment. The measurement gauges 431950 10\58 are manufactured by Käfer (Villingen-Schwenningen, Germany) and are subject to an absolute observational error of 15 m. The lower cassette is also mounted in a trough and, due to that, it can be tilted by means of an eccentric disk. To precisely set this tilt angle, a capacitive measurement system JN2201 from ifm electronic GmbH (Essen, Germany) is employed. This system exhibits an absolute observational error of ±0.01°. The tilted lower cassette allows for the setting of a high intermesh at the inlet and a lower intermesh at the outlet of the multiroller. In this investigation, the at the inlet of the multiroller is set in five varying positions, schematically shown in Figure 3. At the outlet, the intermesh between the last upper and lower straightening roll is equal to the material thickness, so the sheet comes out of the cassette perfectly horizontal. This setting is important to avoid a coil set of the packaging steel sheet.
Figure 3.
The multiroller consists out of three parts: upper cassette, lower cassette, and cassette trough (a). The intermesh is defined as the distance between the lowest point of the upper roll and the highest point of the lower roll (b).
2.3. Adjustment and Investigation at Laboratory Facility
To ensure reproducible investigations, mechanical and electrical components must be finely adjusted. Therefore, all parts of the strengthening unit need to be checked. This is necessary to prevent the belt from slipping and to ensure homogeneous belt run. In addition, the control and regulation elements of the system are checked and adapted to the small degrees of stretching . After ensuring a stable process at the laboratory facility, the correlation of on the percentage speed differences of the two bridle-roll sets is determined. For that, a marked area with a precise distance of 1000 mm is created on the steel strip surface before the straightening process. After straightening, this area is plastically elongated. By measuring the length difference, the generated can be calculated. By setting four different , the calibration curve shown in Figure 4 is generated. The calibration curve is described by the following equation: Equation (2), where m is the slope and b is the intercept. In this case, and :
Figure 4.
Calibration curve of the dependency between and the measured .
Based on the calibration curve, the is varied between 0.125 and 1.000%, and the corresponding is calculated from the calibration Equation (2) as shown in Table 1. Also, the at the inlet of the straightening cassette is set in five different settings from 1 to 5 mm for each . Due to this, the influence of 25 settings of stretch-bending straightening process parameters on the mechanical properties are investigated and compared to the base material (BM) before straightening.
Table 1.
Correlation of at the inlet and outlet of the straightening unit and .
2.4. Tensile Test
To investigate the influence of the stretch-bending straightening process on the mechanical properties of packaging steel, a uniaxial tensile test is conducted. For every setting, eight specimens are stamped out of the straightened and base material (BM). These have a total length of 250 mm, a width of 20 mm, and an initial gauge length of 120 mm [27]. The specimens are oriented parallel to the rolling direction. To completely avoid aging, the material is frozen at −20 °C directly after the straightening process. Material storage at room temperature would lead to the diffusion of interstitial elements, like carbon and nitrogen, and therefore to a change in the material properties. The objective of this procedure is to investigate the influence of stretch-bending straightening on the mechanical properties, without considering the effects of aging. The stored specimens are defrosted and tested due to standard DIN EN ISO 6892-1 [28]. The stress–strain curves of the material show a continuous progression. Therefore, the offset yield stress of the material is determined by an offset yield point at 0.2% in the plastic extension.
3. Results
In the following, the results of the tensile tests are shown, and the correlation between the straightening parameters and are described mathematically.
3.1. Macroscopic Stress–Strain Behavior
In Figure 5, the stress–strain diagrams of three different degrees of stretching are compared to each other. Additionally, every subplot compares the base material (BM) before straightening to the five settings of intermesh . Furthermore, Figure 6 presents a comparison of three different , accompanied by a stress–strain diagram for each. The stress–strain diagrams demonstrate a continuous progression, which can be attributed to the prevention of aging of the material. Additionally, no Lüders bands are observed on the surface of the tensile test bar. The results show that a higher leads to a higher . On the other hand, increasing the causes a reduction in stress and an improvement in the strain at break.
Figure 5.
Exemplary stress–strain diagrams for three different degrees of stretching 0.125% (a), 0.500% (b), 1.000% (c), tested by the tensile test. The increases from red to blue color.
Figure 6.
Exemplary stress–strain diagrams for three 1 mm (a), 3 mm (b) and 5 mm (c), tested by the tensile test. The increases from blue to red color.
By comparing the straightened material to the BM, it is noticeable that, due to straightening, the strain at break A decreases, and the offset yield stress and the tensile strength of the material decrease. The arithmetic mean (AM) values with their standard deviation (SD) of the tensile test measurements are shown in Table 2.
Table 2.
Tensile test values of all settings and BM.
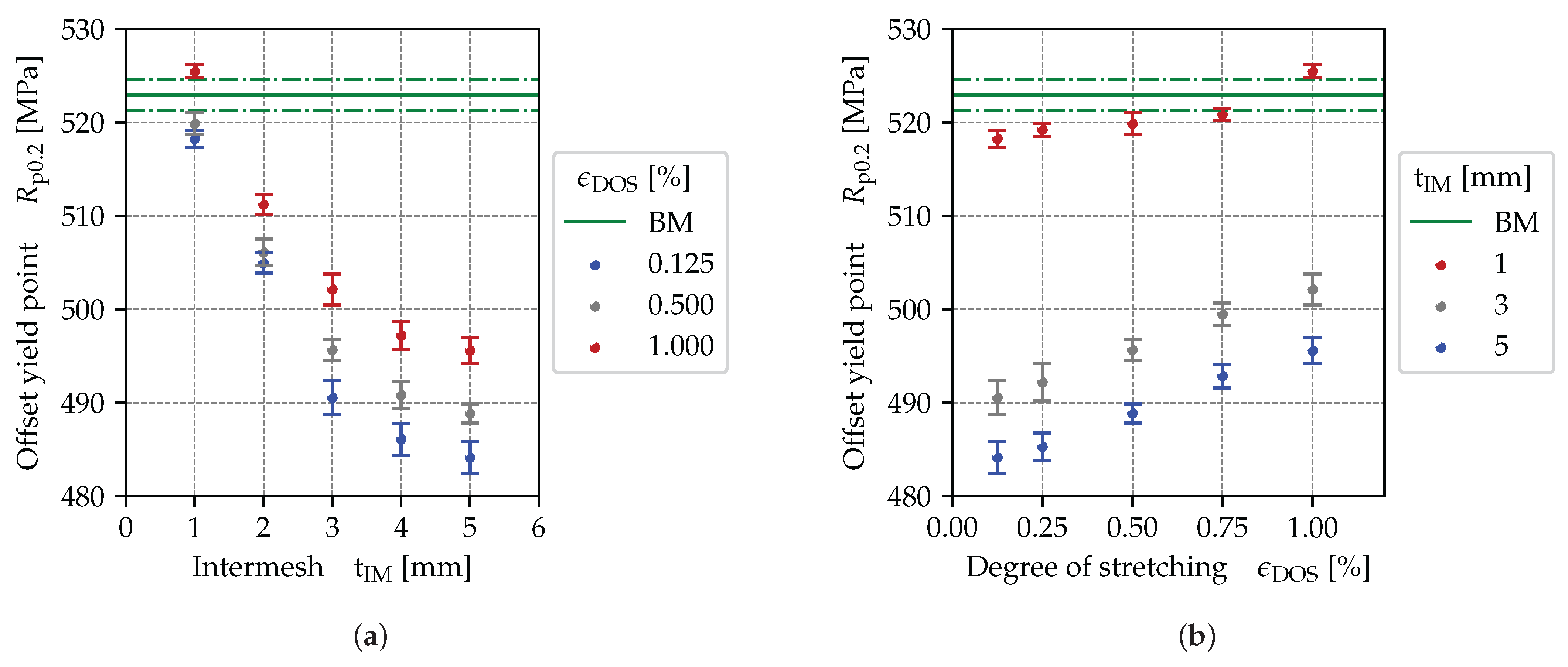
To obtain an overview of the relationship between the stretch-bending parameters and the offset yield stress , they are plotted against each other, shown in Figure 7. Also, the AM of of the base material is plotted as a bold green line with SD as a green semicolon line. All settings of the straightening process except = 1 mm and = 1.000% lead to a lower value of compared to BM. The tensile test values of the straightened material show that a higher results in a lower , and a higher leads to an increase in the strain at break. Given the relatively minor importance of tensile strength and strain at break within the packaging steel industry, these two parameters are not discussed in detail in the following sections. However, the results of strain at break can serve as an indicator of the extent to which the stretch-bending straightening process influences the formability of the packaging steel specification under investigation.
Figure 7.
values from the tensile test measurements are plotted against the straightening parameters (a) and (b).
3.2. Two-Dimensional Fitting of Offset Yield Stress Depending on Straightening Parameters
To understand and predict the change in mechanical properties due to stretch-bending straightening of the material, the correlation between and the straightening settings are described mathematically. In a first step, the correlation between and is described by an exponential function for every
Therefore, the mathematical Equation (3) is selected. The same procedure is performed for the correlation between and for five different in Equation (4). The factors of the exponential equation are determined by the PythonTM (Version 3.9.19) module . By using the function , the factors of the equation are alternated to obtain the smallest root mean squared error (RMSE) between the calculated values and the measured data by the tensile test. The quality of the regression is reviewed with the coefficient of determination (r2) and RMSE. Also, the maximal error, ME, of the calculated values and the standard errors, SEs, for each coefficient are determined. The calculated fit functions are plotted with the measurements of the tensile test. In Table 3, the parameters and statistics for Equation (3) are shown for every . For the five of Equation (4), the correlation of the on the is represented in Table 4.
Table 3.
Exponential regression and statistic parameters for correlation of on .
Table 4.
Exponential regression and statistic parameters for correlation of on .
-dependent parameters: , , and exhibit a general trend of increasing values as the stretching degree rises. However, an exception to this trend is observed at a of 0.750%. Conversely, the factor demonstrates a decreasing trend as the increases. All regressions show a good coefficient of determination and a low RMSE. The largest maximum error of 6.91 MPa is at a of 0.125%.
For different , the parameter exhibits a decreasing trend with greater . Notably, the parameter displays a discontinuity between of 2 mm and 3 mm. The regressions for depths ranging from 2 mm to 5 mm demonstrate a notably high coefficient of determination, indicating a strong fit to the data. On the contrary, the regression for a 1 mm exhibits a lower coefficient of determination at 0.83, accompanied by the highest maximum error and the largest RMSE.
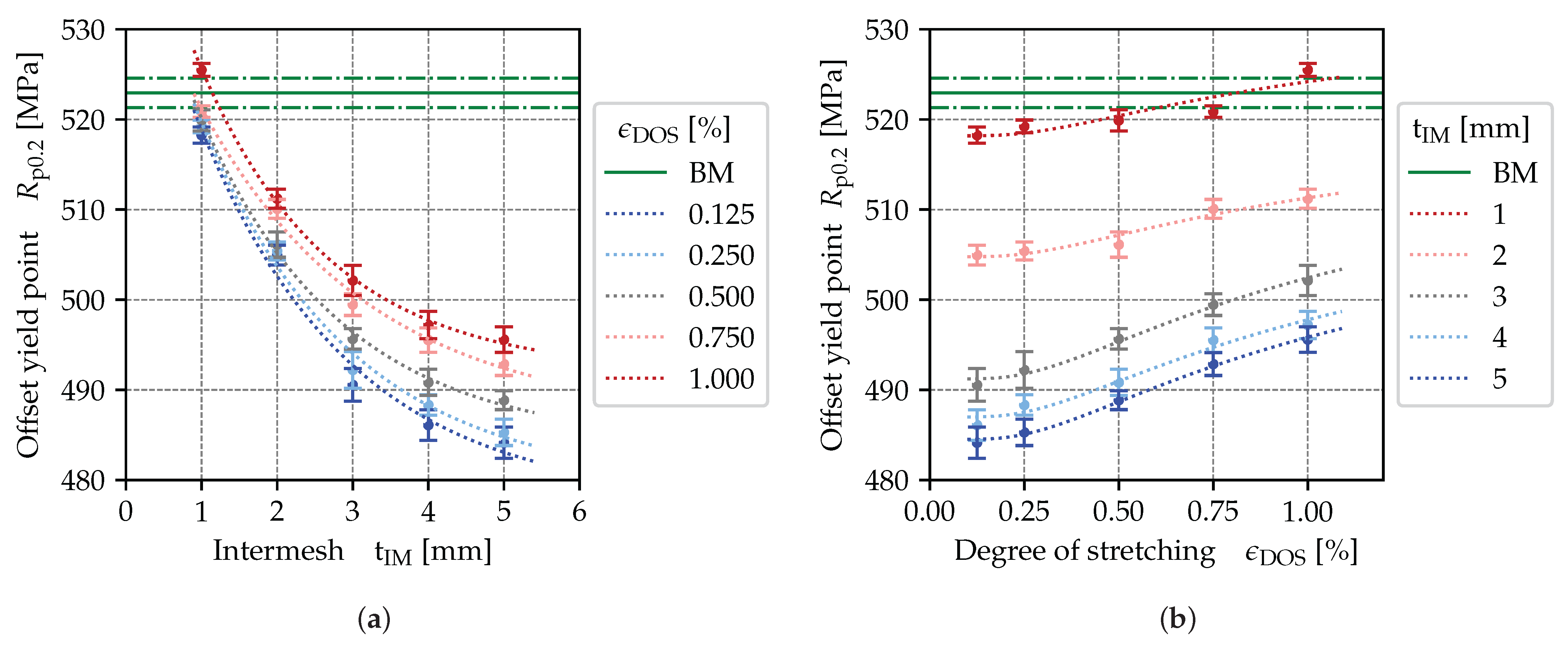
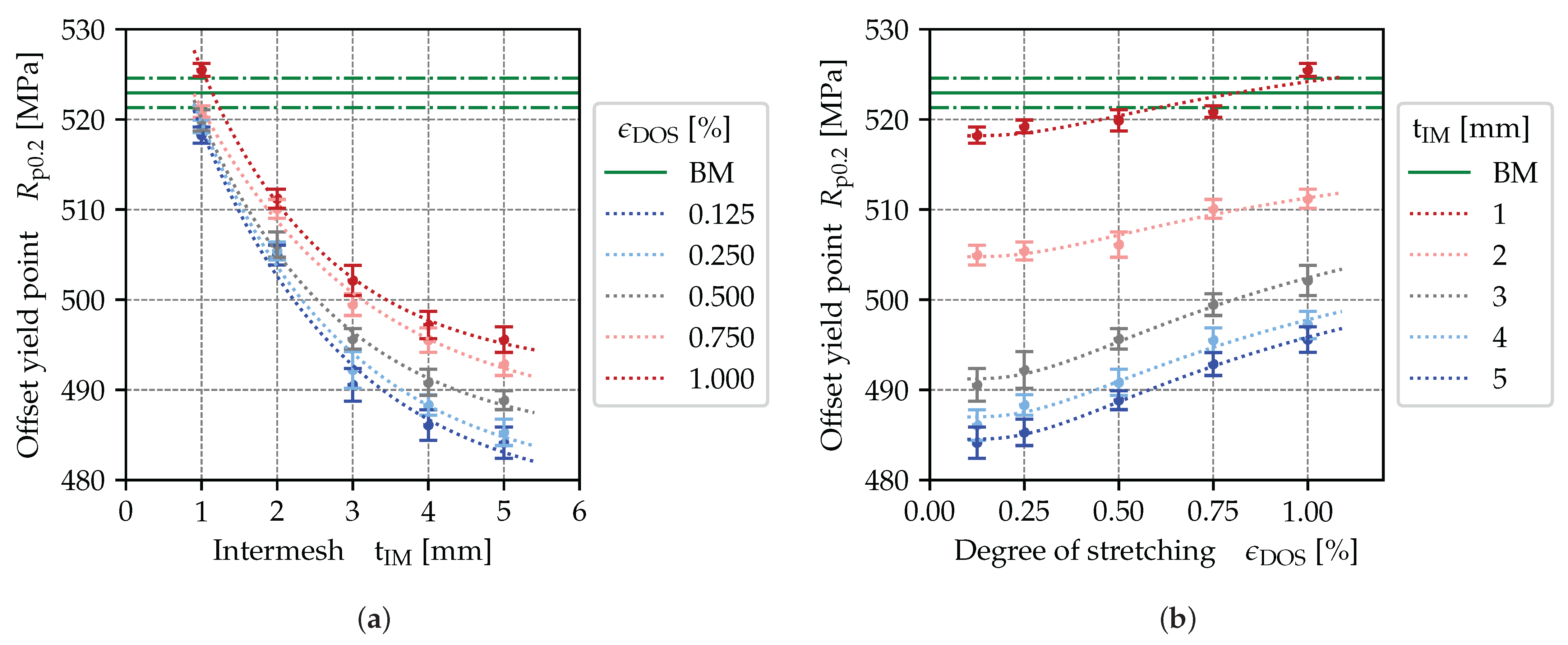
In Figure 8, the plotted data represent the measured along with their corresponding standard deviations, depicting their correlation with both spacing and . The color gradient, transitioning from blue to red, signifies the progressive increase in both and . The exponential regression fits, depicted as dashed lines, illustrate the modeled relationship for each combination of and . Furthermore, the AM and the SD of the values of the base material are shown as green lines.
Figure 8.
Correlation between and straightening parameters at five (a) and at five (b).
3.3. Multivariate Prediction Modeling of Offset Yield Stress
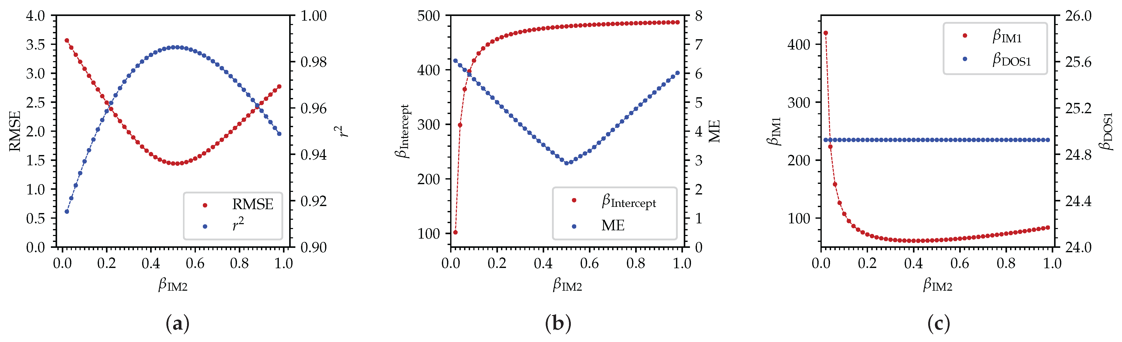
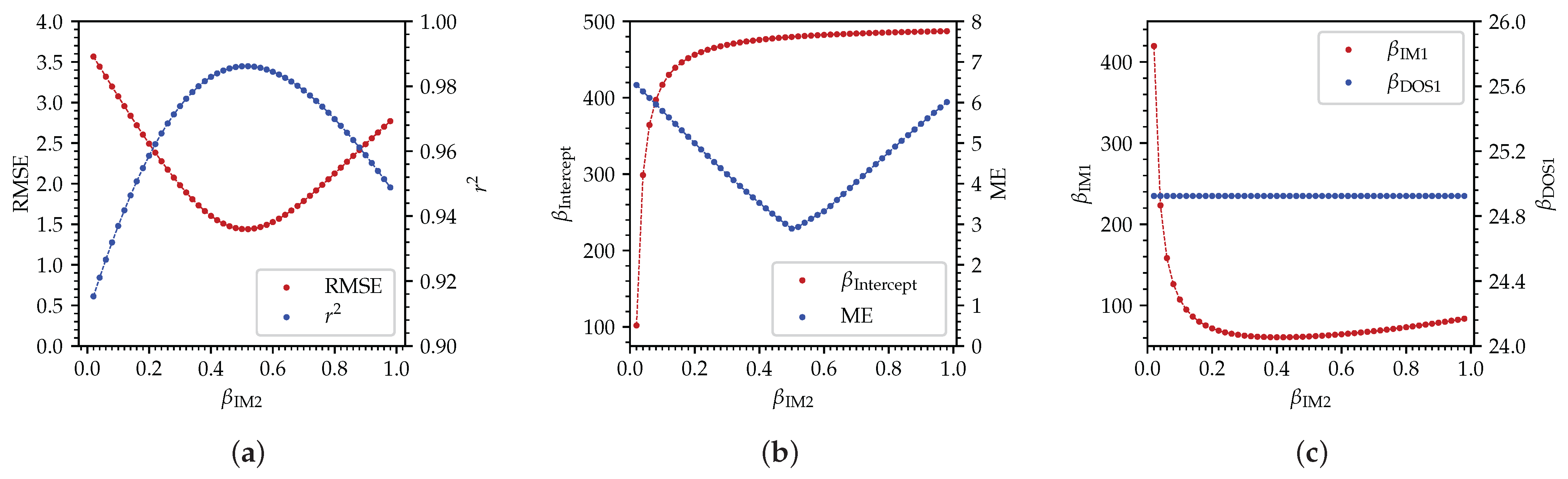
After the separate mathematical consideration of the two variables and to , the multivariate correlation of the variables is determined. To fit the parameters, a multidimensional linear regression model from machine learning package is used in PythonTM to fit the parameters. Therefore, a polynomial is created consisting of Equations (3) and (4) describing the correlation of the straightening parameters to . To linearize the resulting Equation (5), the exponential terms are substituted with a new simplified term. Therefore, is substituted by in Equation (6). In the exponential expression of , there is an additional factor . To calculate the optimal term for , the expression factor is iterated between 0.1 and 1.0. After the calculation, RMSE and of the multilinear regressions are analyzed. The minimal RMSE and maximal of the multilinear regression are determined at of 0.500.
In Figure 9, the minimum of RMSE and the maximum of are located at a of 0.500. The minimal ME is also located at a of 0.500. The intercept of the model increases with higher values. The multilinear regression coefficient for the is not influenced by the factor . The coefficient of has high values at a low and a minimum value of 60.77 at = 0.400. At of 0.500, the intercept of the equation is 479.65, the coefficient is 24.92, and is 62.20.
Figure 9.
Optimal coefficient determination of with statistics and values for multilinear regression equation. The first diagram shows the correlation of and RMSE (a), the second the intercept of the combined equation and ME (b), and the third one of coefficients for and (c).
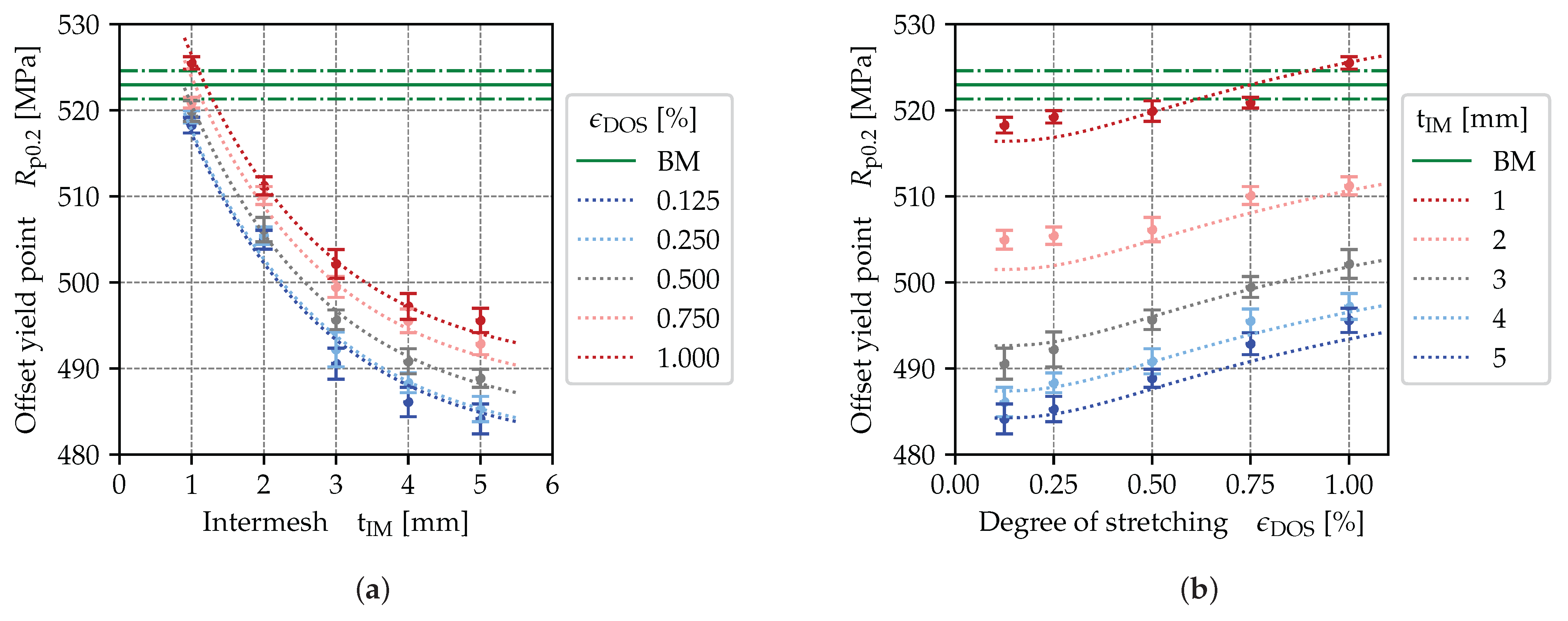
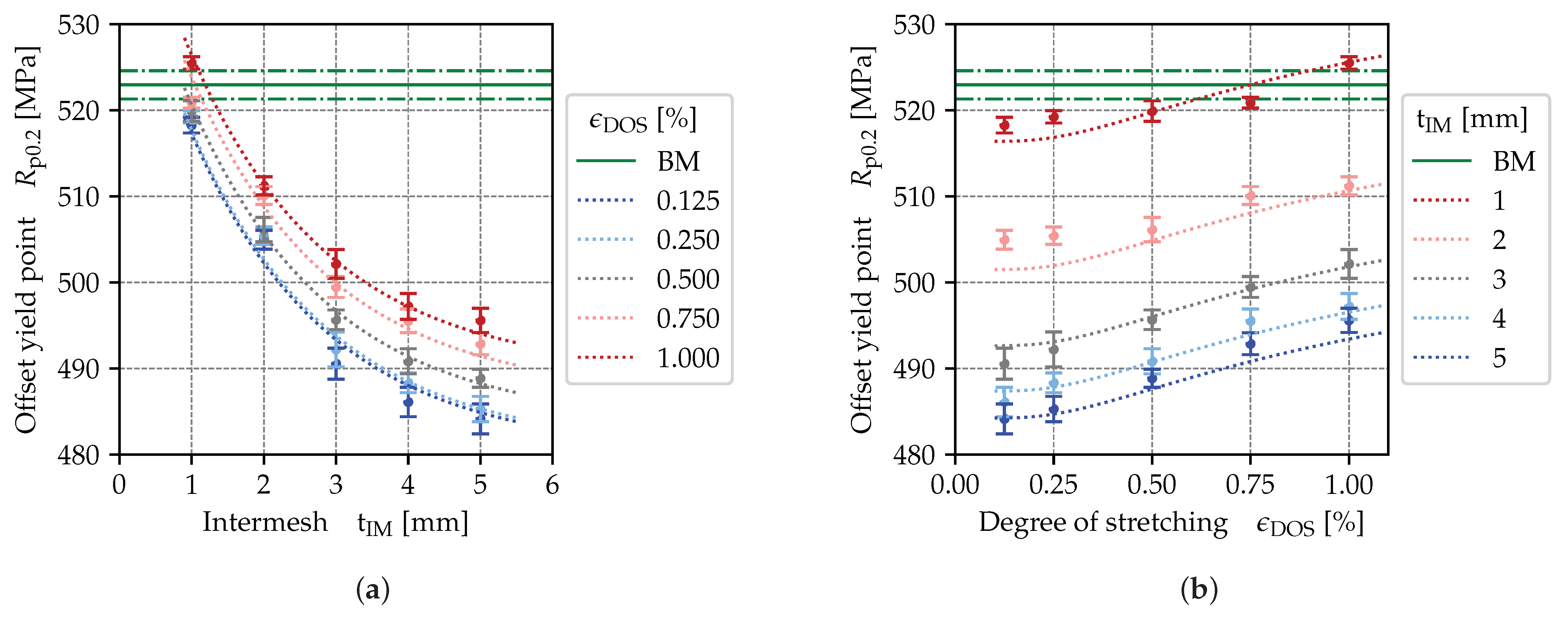
In Figure 10, the regression and statistic parameters of multilinear regressions are shown. Also, the quality of the model is checked by plotting the predicted values as a function of the measurement values of the tensile test. The red line with gradient one represents the perfect fit between the measured and calculated values. The scatter points are the arithmetic mean values of the measured of each straightening setting. The correlation coefficient between the model predictions and the actual data is 0.986, which indicates a high degree of agreement. A purely theoretical consideration of the model parameters reveals that if the immersion depth tends towards infinity and the degree of stretching is zero, the lowest theoretic value of the equation is reached. Thus, the two terms equal zero and the intercept describes the maximum theoretically achievable softening for the analyzed material. Also, the calculated parameters and statistics for alternating are shown in Table 5. In Figure 11, the multilinear regression model is transferred to the two-dimensional correlation of straightening parameters on .
Figure 10.
Visualization of the model quality by plotting the measured values and the values calculated by the model.
Table 5.
Multilinear regression coefficients, intercept, and statistic parameters for varying .
Figure 11.
Measured from the tensile test in correlation to (a) and (b). Dotted lines are the calculated values by the multilinear regression model.
3.4. Application of the Multivariate Model
The multivariate model allows the calculation of a stretch-bending straightening process parameter window, in which the is within the specified tolerance. As defined by the standard, the steel specification under examination exhibits a tolerance of between 500 and 600 MPa. To illustrate this process parameter window, the dependence of the stretch-bending straightening process parameters intermesh, and the degree of stretching on is depicted by means of a 3D plot in Figure 12. The blue area of the calculated surface is the area in which the tolerance range is maintained. The points represent the measured values of the tensile test.
Figure 12.
Process parameter window for achieving a between 500 and 600 MPa.
4. Discussion
The results of the investigation show the feasibility of reproducing stretch-bending straightening processes at the laboratory facility with the desired precision. This enables an investigation of the influence of the stretch-bending straightening process on the mechanical properties of one packaging steel specification. The findings indicate that both investigated parameters, intermesh and degree of stretching , have an influence on the change in the offset yield stress. It is notable that a higher degree of stretching leads to an increase and higher intermeshes to a decrease in the offset yield stress. Compared to the base material parameters, the stretch-bending straightening process results in a reduction in the offset yield stress, except the combination of 1 mm and 1% .
It is notable that, at constant degree of stretching and varying , the degree of plasticization in the rolling direction is constant. By increasing the intermesh from 1 mm to 5 mm, the curvature of the belt increases, reducing the proportion of tensile loads and increasing the bending loads induced in the material. Due to that, the part of alternating loads is increased, and a higher softening of the material takes place. On the other hand, it is also possible to induce a hardening effect on the material by increasing the . In the case of low , a small softening effect takes place. In combination with the highest applied of 1%, the material undergoes a process of hardening in comparison to the base material.
To describe the correlation between the stretch-bending straightening process parameters and the offset yield stress, two exponential Equations (3) and (4) are used. Each formula describes the effect of the parameters and on the offset yield stress. The subsequent step is to generate a multivariate model that illustrates the correlation between combined and and the change in offset yield stress as expressed in Equation (5). Accordingly, a multilinear machine learning regression model is employed to optimize the parameters of the combined equation. The parameters calculated by the multivariate model are specific to the investigated packaging steel specifications and the stretch-bending straightener setup. By varying one of these parameters, a new parameter determination must be performed. Further, a correlation between the multivariate model parameters and the material and setup parameters can be used to extend the model. One potential application of this procedure is to explicitly incorporate the properties of the base material into the model. Using the present model, a process parameter window is generated, reaching the desired offset yield stresses of the material after stretch-bending straightening. This enables the stretch-bending straightening parameters to be modified in accordance with the particular flatness defects of the incoming material, while concurrently guaranteeing compliance with the tolerance range of the mechanical properties.
5. Conclusions
The primary objective of this study was to investigate the impact of the stretch-bending straightening process on the mechanical properties of a packaging steel specification. The experimental results demonstrate that the stretch-bending straightening parameters intermesh and the degree of stretching have a significant influence on the offset yield stress of the material. The results of the test series are employed in the generation of a multivariate machine learning model, which can predict the change in offset yield stress resulting from the stretch-bending straightening process. While the study focused on a single packaging steel specification, the model can be generally applied to other packaging steel specifications. Therefore, the model can be expanded to include an additional parameter describing the incoming material. In conclusion, the present study serves as the foundation for an enhanced production of packaging steel, whereby the requisite standards for flatness and mechanical properties are simultaneously achieved.
Author Contributions
Conceptualization, S.M., D.N., B.E. and C.D.; methodology, S.M., D.N., B.E., D.M. and C.D.; software, S.M. and C.D.; validation, S.M., D.N., B.E. and C.D.; formal analysis, S.M. and C.D.; investigation, S.M. and C.D.; resources, S.M., D.N., B.E. and D.M.; data curation, S.M. and C.D.; writing—original draft preparation, S.M.; writing—review and editing, S.M., H.A. and C.D.; visualization, S.M. and C.D.; supervision, H.A. and C.D.; project administration, D.M.; funding acquisition, S.M. and D.M. All authors have read and agreed to the published version of the manuscript.
Funding
This research received no external funding.
Data Availability Statement
The datasets presented in this article are not readily available due to techinical limitations. Requests to access the datasets should be directed to Sebastian Möller.
Conflicts of Interest
Author Sebastian Möller, Dimitrios Nouskalis, Björn Ehmke, and Dirk Matusch were employed by the company thyssenkrupp Rasselstein GmbH. The remaining authors declare that the research was conducted in the absence of any commercial or financial relationships that could be construed as a potential conflict of interest.
References
- Morris, J.W.; Hardy, S.J.; Thomas, J.T. Effects of tension levelling process parameters on cold rolled strip characteristics using a designed factorial analysis approach. Ironmak. Steelmak. 2005, 32, 443–448. [Google Scholar] [CrossRef]
- Mathieu, N.; Dimitriou, R.; Parrico, A.; Potier-Ferry, M.; Zahrouni, H. Flatness defects after bridle rolls: A numerical analysis of leveling. Int. J. Mater. Form. 2011, 6, 255–266. [Google Scholar] [CrossRef]
- Shelest, A.E.; Yusupov, V.S.; Rogachev, S.O.; Andreev, V.A.; Perkas, M.M. Refinement of the Model of Alternating Elastoplastic Bending for the Deformation of a Sheet Material on a Roll Leveling Machine. Russ. Metall. (Metally) 2023, 2022, 1408–1413. [Google Scholar] [CrossRef]
- Cui, L.; Shi, Q.Q.; Liu, X.; Hu, X.L. Residual Curvature of Longitudinal Profile Plate Roller in Leveling Process. J. Iron Steel Res. Int. 2013, 20, 23–27. [Google Scholar] [CrossRef]
- Nastran, M.; Kuzman, K. Stabilisation of mechanical properties of the wire by roller straightening. J. Mater. Process. Technol.-Mater. Process. Technol. 2002, 125, 711–719. [Google Scholar] [CrossRef]
- Huh, H.; Heo, J.H.; Lee, H.W. Optimization of a roller levelling process for Al7001T9 pipes with finite element analysis and Taguchi method. Int. J. Mach. Tools Manuf. 2003, 43, 345–350. [Google Scholar] [CrossRef]
- Liu, Z.; Wang, Y.; Ou, H.; Yan, X.; Luo, Y. An analytical leveling model of curvature and residual stress simulation for H-beams. J. Constr. Steel Res. 2014, 102, 13–23. [Google Scholar] [CrossRef]
- Grüber, M.; Hirt, G. Investigation of correlation between material properties, process parameters and residual stresses in roller levelling. Procedia Manuf. 2018, 15, 844–851. [Google Scholar] [CrossRef]
- Mathieu, N.; Potier-Ferry, M.; Zahrouni, H. Reduction of flatness defects in thin metal sheets by a pure tension leveler. Int. J. Mech. Sci. 2017, 122, 267–276. [Google Scholar] [CrossRef]
- Tsai, S.Y.; Chang, J.Y. Design of deep learning on intelligent levelling system for industry 4.0 technology. MATEC Web Conf. 2018, 185, 00026. [Google Scholar] [CrossRef]
- Steinwender, L.; Kainz, A.; Krimpelstätter, K.; Zeman, K. A novel approach for the modeling of tension leveling processes by employing parametric shape functions. In Proceedings of the 4th International Conference on Modelling and Simulation of Metallurgical Processes in Steelmaking, STEELSIM, Düsseldorf, Germany, 13–15 August 2011; Volume 27. [Google Scholar]
- Zhang, J.; Zhou, C.; Li, H.; Zhang, X.; Li, M. Influence of Tension Leveling Parameters on the Microstructure and Mechanical Properties of Steel Strip. JOM 2017, 69, 937–941. [Google Scholar] [CrossRef]
- Misaka, Y.; Masui, T. Shape Correction of Steel Strip by Tension Leveller. Isij Int. 1978, 18, 475–484. [Google Scholar] [CrossRef]
- Tsai, S.Y.; Chang, J.Y. Regression Approach to a Novel Lateral Flatness Leveling System for Smart Manufacturing. Appl. Sci. 2021, 11, 6645. [Google Scholar] [CrossRef]
- Noé, O. Einfluß des Kontinuierlichen Streckbiegerichtens auf die Bandeigenschaften; Verlag Stahleisen: Düsseldorf, Germany, 1971. [Google Scholar]
- Harangozó, D.; Czinege, I. Effect of Roller Levelling on Tensile Properties of Aluminum Sheets. Materials 2023, 2023, 3001. [Google Scholar] [CrossRef] [PubMed]
- Chai, H.F.; Laird, C. Mechanisms of cyclic softening and cyclic creep in low carbon steel. Mater. Sci. Eng. 1987, 93, 159–174. [Google Scholar] [CrossRef]
- Magro, T.; Ghiotti, A.; Bruschi, S.; Ferraiuolo, A. An artificial intelligence approach for the in-line evaluation of steels mechanical properties in rolling. Procedia CIRP 2021, 100, 193–198. [Google Scholar] [CrossRef]
- Liu, Z.; Luo, Y.; Wang, Y.; Liao, T.; Deng, M. An analytical study of optimal roller intermeshes for the plate leveling process. Proc. Inst. Mech. Eng. Part B J. Eng. Manuf. 2020, 235, 095440542094795. [Google Scholar] [CrossRef]
- Yi, G.; Wang, Z.; Hu, Z. A Novel Modeling Method in Metal Strip Leveling Based on a Roll-Strip Unit. Math. Probl. Eng. 2020, 2020, 1486864. [Google Scholar] [CrossRef]
- Seo, J.; Vantyne, C.; Moon, Y.H. Effect of roll configuration on the levelling efficiency of tail-up bent plate using finite element analysis. J. Manuf. Sci. Eng. 2015, 138, 071004. [Google Scholar] [CrossRef]
- Sun, J.L.; Du, X.M.; Li, K.; Peng, Y. Longitudinally profiled plate leveling theory based on linear decreasing leveling scheme. J. Iron Steel Res. Int. 2018, 26, 130–136. [Google Scholar] [CrossRef]
- Garcia, A.; Trinidad, J.; Otegi, N.; Mendiguren, J.; de Argandoña, E.S.; Silvestre, E.; Galdos, L. The influence of the kinematic hardening on the FEM simulation of Tension Levelling Process. Procedia Manuf. 2020, 47, 1381–1386. [Google Scholar] [CrossRef]
- Wang, H.; Zhang, Y.; Fan, C.; Chen, D.; Guo, J.; Yanagimoto, J. Effects of yield point and plastic anisotropy on results of elastic–plastic finite element analysis of tension leveling. J. Braz. Soc. Mech. Sci. Eng. 2022, 44, 319. [Google Scholar] [CrossRef]
- DIN EN 10202:2022-07; Cold Reduced Tinmill Products—Electrolytic Tinplate and Electrolytic Chromium/Chromium Oxide Coated Steel. DIN Deutsches Institut für Normung e.V.: Berlin, Germany, 2022.
- Kirchesch, P. Kontinuierliche Wärmebehandlungsanlage für Verpackungsstahl mit Induktiver Erwärmung und Zweistufiger Schnellkühlung; 1. Auflage. Master’s Dissertation, RWTH Aachen University, Aachen, Germany, 2022. [Google Scholar]
- DIN 50125:2016-12; Testing of Metallic Materials—Tensile Test Pieces. DIN Deutsches Institut für Normung e.V.: Berlin, Germany, 2016.
- DIN EN ISO 6892-1:2019-06; Metallic Materials—Tensile Testing—Part 1: Method of Test at Room Temperature (ISO 6892-1:2019). DIN Deutsches Institut für Normung e.V.: Berlin, Germany, 2020.
Disclaimer/Publisher’s Note: The statements, opinions and data contained in all publications are solely those of the individual author(s) and contributor(s) and not of MDPI and/or the editor(s). MDPI and/or the editor(s) disclaim responsibility for any injury to people or property resulting from any ideas, methods, instructions or products referred to in the content. |
© 2024 by the authors. Licensee MDPI, Basel, Switzerland. This article is an open access article distributed under the terms and conditions of the Creative Commons Attribution (CC BY) license (https://creativecommons.org/licenses/by/4.0/).











