Next Article in Journal
Phase Field Simulations of Microstructures in Porous Ferromagnetic Shape Memory Alloy Ni2MnGa
Previous Article in Journal
Effect of Deformation-Induced Plasticity in Low-Alloyed Al-Mg-Zr Alloy Processed by High-Pressure Torsion
 
 
Font Type:
Arial Georgia Verdana
Font Size:
Aa Aa Aa
Line Spacing:
Column Width:
Background:
Article

Molecular Dynamics Study of Crystallization Behavior in the Solid State of Zr-Cu Amorphous Alloys

1
State Key Laboratory of Advanced Processing and Recycling of Non-Ferrous Metals, Lanzhou University of Technology, Lanzhou 730050, China
2
School of Materials Science and Engineering, Lanzhou University of Technology, Lanzhou 730050, China
3
School of Materials Science and Engineering, Chongqing University, Chongqing 400030, China
4
Taizhou Institute of Zhejiang University, Zhejiang University, Taizhou 318000, China
*
Authors to whom correspondence should be addressed.
Metals 2023, 13(9), 1571; https://doi.org/10.3390/met13091571
Submission received: 22 August 2023 / Revised: 5 September 2023 / Accepted: 6 September 2023 / Published: 8 September 2023
(This article belongs to the Section Computation and Simulation on Metals)

Abstract

Amorphous alloys show interesting mechanical properties as well as unique physical and chemical properties due to their atomic stacking structure. However, when partial crystallization occurs in amorphous alloys, it can impact the properties of the original amorphous alloy. To study the crystallization phenomenon in the Zr-based amorphous alloy, a three-dimensional Zr-based amorphous alloy atomic-stacking model was established by molecular dynamics simulations, and the atomic structure evolution of the Zr-Cu amorphous system after partial crystallization was analyzed by the radial distribution function g(r), HA bond index and Voronoi polyhedron. The results showed that adding more copper (Cu) atoms to the Zr-Cu amorphous system greatly improves its stability at high temperatures. The atomic diffusion was analyzed by root-mean-square displacement of atoms (MSD); as the temperature rose, the MSD of atoms also increased, suggesting that the crystallization of the amorphous material occurs due to the short-range diffusion of atoms. The analysis of the mechanism of the high-temperature action time on the Zr80Cu20 amorphous alloy showed that the crystallization phase precipitation rate of the amorphous alloy gradually increases with time, but it does not change linearly.

1. Introduction

Amorphous alloys exhibit high strength, superior elasticity, and excellent soft magnetic properties due to their remote disordered atomic-arrangement characteristics and unique atomic stacking [1,2,3,4,5,6]. As a result, amorphous alloys are currently utilized in aerospace structures and biomedical equipment, among other fields [7,8,9]. The welding process itself involves thermal cycling, resulting in high heat-affected zone temperatures and slow cooling rates. As a result, the amorphous structure during welding is susceptible to crystallization. Amorphous crystallization will change its unique properties, so the study of the mechanism of the crystallization process of the amorphous alloys will provide the theoretical base for controlling the formation of crystalline phases in the amorphous welding process.
The initial state of the Zr-Cu amorphous alloy lacks nanocrystals and exhibits an amorphous atomic distribution [10]. Under rapid quenching conditions, the Zr-Cu binary alloy exhibits the ability to form amorphous states over a wide range of concentrations. By examining the XRD spectra, if the curves exhibit single broad peaks without sharp crystalline peaks, it can be confirmed that the atomic structure is amorphous in nature [11]. In the radial distribution function, the gradual emergence of secondary peaks indicates the presence of a localized order within the amorphous structure [12]. Altounian et al. [13] systematically investigated the crystallization characteristics of Zr100−xCux (25 ≤ x ≤ 70) metallic glasses. Due to the interactions between Zr and Al atoms, the precipitation of the Zr2Cu phase during the heating crystallization process is constrained. Zhang et al. [14] concluded that during rapid heating, apart from the rapid growth of dendrites formed by a certain number of quenching nuclei, the non-Arrhenius behavior of the high diffusion coefficient in the undercooled liquid region is the primary cause of severe crystallization. Moreover, amorphous alloys can overcome the issue of nanoparticle agglomeration [15]. Moreover, as the Zr content decreases, the structural stability of ZrxCu100−x alloys increases [16]. From Zr10Cu90 to Zr80Cu20, as the Zr concentration increases from 10 to 90%, the system’s architecture transitions from being Cu-dominated to Zr-dominated, exhibiting an amorphous structure [17]. Zeman et al. [18] conducted a comprehensive study on the surface properties of Zr-Cu amorphous alloys, specifically examining the relationship between Cu content, crystallization temperature, and mechanical properties. They observed a correlation between the increase in Cu content and changes in both crystallization temperature and mechanical properties. He et al. [19] proposed that annealing in Zr75Cu25 amorphous alloy can lead to the segregation of Cu atoms. Furthermore, their findings indicated that the successful formation of amorphous states in the Zr-Cu-Al alloy system relies more on the instability of crystal-like structures rather than the enhancement of the amorphous structure itself [20]. The variation in the Zr-Cu structure depends on the variation with temperature and copper content; FCC-Zr forms intermetallic ZrCu2, Zr10Cu7, and Zr14Cu51 phases in sequence, which eventually crystallize into FCC-Cu. Meanwhile, in metallic glasses, icosahedra control glass formation and deformation, and it is considered to be the key to the structural motifs [21,22,23,24,25]. From Wang’s study on ternary Zr-Cu-Al and binary Zr-Cu alloys, several conclusions were drawn. When a small amount of Al was introduced into the Zr-Cu alloy, the resulting ternary alloy exhibited a more comprehensive icosahedral structure [26]. This suggests that the addition of Al influences the short-range and medium-range ordering in the alloy; these findings highlight the structural diversity present in metallic glasses.
Several researchers, including our research group, conducted experimental studies to determine the conditions for amorphous crystallization. Our focus was on the pulsed laser welding of zirconium-based amorphous alloys, aiming to assess the extent of crystallization, identify the types of crystallization phases, and understand their distribution within the heat-affected zone of amorphous joints. However, our understanding of the crystallization process remains limited to the traditional theory of crystallization nucleation, and there is a need for further exploration into issues such as atomic-level structural transformations during the crystallization process [27]. In order to gain a deeper understanding of the crystallization behavior of metallic glasses in the heat-affected zone of the solid state, this paper investigates the evolution of the atomic-stacking structure of amorphous Zr-Cu alloys under different compositions, temperatures, and heat-action time conditions using molecular dynamics (MD) and first-principles methods. By analyzing these factors, the study provides a theoretical basis for establishing appropriate heat treatment process parameters for amorphous materials.

2. Model Construction and Parameter Settings

In this paper, the crystallization behavior (including phase-transformation behavior, atomic diffusion, and short- and medium-range structural evolution) of Zr-Cu binary amorphous alloys in the solid state was investigated. The LAMMPS [28] (LAMMPS-29 September 2021, Sandia National Laboratories, USA) and Materials Studio software (Materials Studio 2017, Accelrys company, Vélizy-Villacoublay, France) were used for the computational simulation, the EAM potential function developed by Mendelev et al. [29] was chosen for the potential function, and the OVITO software [30] (OVITO 3.5.2, Mater, Dusseldorf, Germany)visualization was used for the statistical analysis of the data results. The model contains a total of 32,000 atoms and sets the alloy composition at four amorphous Zr100−xCux (x = 10.0, 20.0, 50.0, 64.5).
The model parameters were fixed as follows: In the preparation stage, the model was first heated to 2000 K at a rate of 1.0 K/fs and relaxed at 2000 K for 1.0 ns to obtain a homogeneous molten liquid of Zr-Cu alloy, then rapidly cooled from 2000 K to 300 K at a cooling rate of 0.1 K/fs to form an amorphous solid, and continued to relax at 300 K for 5.0 ns to finally form a stable amorphous model. The process operates under periodic boundary conditions, where the pressure is set to 0 Pa. Additionally, the system synthesis follows the NPT system synthesis approach. The obtained amorphous model was rotated along the y-axis and z-axis by 30°, with a size of 90.0 Å × 90.0 Å, as shown in Figure 1. The crystallization behavior of the amorphous alloy was analyzed under five different temperature conditions: 800, 900, 1000, 1100, and 1200 K. The calculations were performed using an initial model, with a time step of 2.0 fs. The heating and cooling rates were set at 10 K/ps, while the high temperature exposure duration was 3.0 ns. The pressure during the simulation was maintained at 0 Pa. The calculation was conducted using periodic boundary conditions and followed the NPT-system synthesis approach. The system’s state was recorded, and relevant information was output every 5000 steps. Additionally, various data points such as atomic coordinates and energy were collected and output at different time intervals.

3. Initial Model Structure Analysis

The amorphous structure characterization methods mainly include radial distribution function, HA bonding index, Voronoi polyhedron, coordination number, etc. Figure 2a shows the overall radial distribution function curves for the amorphous initial structures of different alloy compositions. The radial distribution function, also known as the g(r) function, primarily describes the distribution relationship between each atom at the central position and the surrounding atoms. It can also reflect phase transitions from liquid metals to crystalline or amorphous solids, as shown in the figure. The radial distribution function is the Fourier transform of the structure factor S(q) obtained through X-ray measurements during experimental processes. Therefore, the radial distribution function can effectively describe the structure of the condensed systems and verify the validity of theoretical models. Its definition is as follows:
g α β ( r ) = L 3 N α N β i = 1 N n i β ( r ) 4 π r 2 Δ r
In the equation, α and β represent two different types of particles in the system; Nα represents the total number of α particles in the system, Nβ represents the total number of β particles, n(r) denotes the number of β particles within a sphere centered at the i-th α particle with a radius of rr + Δr, and gαβ(r) is the average of the probabilities of the center of mass of α particles within a sphere centered at the β particle with a radius of rr + Δr.
Since the radial distribution functions of the amorphous state for all four alloy compositions are typical of amorphous features, this indicates that the obtained models are amorphous. The radial distribution function provides insights into the arrangement of the nearest neighboring atoms. By increasing the Cu element content, the first peak in the distribution gradually shifts towards lower distances. It is noteworthy that there is a significant difference in the intensity of the first peak in the four models, which indicates that changing the alloying element has a significant effect on the atomic-stacking structure of the amorphous state.
Although the radial distribution function can roughly analyze the distribution status of particles in the system and distinguish between liquid, crystalline, and amorphous solids, it cannot provide a detailed description of the local three-dimensional structure of particles and their variations. To more effectively analyze the three-dimensional distribution of local atoms in the system and the bonding interactions between atoms, Honeycutt and Anderson introduced the bond-type index method, also known as the HA bond-type index [31,32]. The HA bonding index can be used to analyze and study the microstructure of disordered systems such as liquid and amorphous metals. Figure 2b shows the statistical results of HA bonding indices for the four amorphous alloy compositions. The bond types of 1551 and 1541 were ICO (icosahedral structure)-bonding types; the content of these two bonding types reached about 50.0%, and they were more sensitive to the change in Cu content. Bond type 1421 corresponded to the FCC (face-centered cubic) structure, while bond type 1441 corresponded to the BCC (body-centered cubic) structure. The remaining bond types characterized the disordered structure in the system. The 1551-bond-type content in Zr50Cu50 was higher than in the other three amorphous types, reaching 27.8%. The content of the characteristic bond types associated with both the FCC and BCC structures was less than 5.0%, which suggests that the presence of these two structural types in the system is minimal. This indicates that the obtained model is in a fully amorphous state, lacking a well-defined crystalline structure.

4. Analysis of Results and Discussion

4.1. Influence of Alloy Composition on the Crystallization Behavior of Amorphous Alloys

The thermal stability of amorphous alloys is significantly influenced by their composition. In order to investigate the effect of alloy composition on the solid-state crystallization behavior of Zr-Cu binary amorphous alloys during the thermal effects process, four alloy compositions were chosen: Zr90Cu10, Zr80Cu20, Zr50Cu50, and Zr35.5Cu64.5.
Simulation calculations were performed by subjecting the amorphous alloy models to a high temperature of 1100 K for a duration of 3.0 ns. Figure 3a–d illustrate the changes in atomic structure and thermodynamics of the amorphous system, specifically showing the energy variations in the four amorphous alloys.
The energy changes in the amorphous system exhibited a strong correlation with the alloy composition. Specifically, for the Zr90Cu10 amorphous alloy, the atomic potential energy experienced a rapid decrease from −5.872 eV to −5.910 eV within the first 0.5 ns. However, the energy change became smaller after this initial period.
Conversely, the energy change in the Zr80Cu20 amorphous alloy showed an opposite trend, with the gradual increase in the rate of energy decreasing over time. The Zr50Cu50 and Zr35.5Cu64.5 amorphous alloys exhibited larger energy fluctuations and a smaller overall decrease in energy. Importantly, no crystallization was observed during the high-temperature thermal action for these alloys. These observations highlight the influence of alloy composition on the energy dynamics and crystallization behavior of amorphous systems.
Higher Cu-atom contents enhanced the thermal stability of the amorphous state. Figure 4a provides a visual representation of the phase content variation in the four amorphous alloys after crystallization. Upon crystallization, the Zr90Cu10 and Zr80Cu20 amorphous alloys primarily formed BCC (body-centered cubic) crystalline phases, accounting for 38.0 and 20.5% of the total phase content, respectively. In contrast, the Zr50Cu50 alloy did not exhibit the precipitation of crystalline phases such as FCC or BCC. Instead, it predominantly retained an icosahedral structure, which indicates a medium-density atomic-stacking arrangement. This suggests that Zr50Cu50 remains in an amorphous state but tends towards the formation of a densely packed atomic structure. When the Cu atom content was increased to 64.5% in the Zr35.5Cu64.5 alloy, it also predominantly exhibited an icosahedral structure. This highlights the strong influence of alloy composition on the high-temperature stability of Zr-Cu amorphous alloys.
The radial distribution functions (RDFs) of the four amorphous alloys were subjected to statistical analysis, as depicted in Figure 4b. An observed trend was that as the Cu atomic content increased, the first peak of the RDF gradually shifted towards lower distances, accompanied by a gradual decrease in intensity. This suggests that the radius of the nearest atomic layer in the Zr-Cu amorphous system decreases with increasing Cu atomic content, resulting in a reduction in atomic arrangement density within the nearest atomic layer.
This variation can be attributed to two factors. Firstly, as the Cu atomic content increases, the percentage of crystallized phases in the amorphous alloy gradually decreases. This affects the overall atomic structure, leading to changes in the nearest atomic layer. Secondly, the differences in atomic sizes and interatomic forces between the Cu and Zr atoms contribute to the observed shifts in the RDF. Specifically, studies have shown that the spacing between Cu-Cu, Zr-Cu, and Zr-Zr atom pairs is approximately 2.56 Å, 2.88 Å, and 3.20 Å, respectively.
Overall, the RDF analysis provides valuable insights into the atomic arrangements and density variations within the Zr-Cu amorphous system, showcasing the influence of Cu atomic content on these characteristics. The bond length of Zr-Cu is smaller than that of Zr-Zr, so the higher the Cu atom content, the higher the atomic density in the system, leading to an increase in the number of atoms in the near-neighbor layer.
Figure 5a shows the coordination number statistics of the four amorphous crystals, for alloys with lower Cu atomic content, the dominant coordination number is CN = 14, accounting for over 60.0% in Zr90Cu10 and 45.0% in Zr80Cu20. However, when the Cu atomic content reached 50.0%, the coordination numbers became more varied, including CN = 12, 13, 14, 15, and 16. In particular, in Zr35.5Cu64.5, there was an increased presence of non-medium coordination numbers, CN = 12 and 13. Based on this analysis, it can be concluded that low-density stacking structures are more likely to form around Zr atoms, and the percentage of CN = 14 in the amorphous structure increases with the formation of crystallized phases. This information provides insights into the atomic coordination patterns within the amorphous alloys and their relationship with Cu atomic content and the formation of crystalline phases.
The coordination number (CN) can be used to describe the degree of atomic arrangement density in both amorphous and crystalline materials. The coordination number is calculated by counting the number of neighboring atoms within the vicinity of each central atom [33]. The radial distribution function and the coordination number can only determine the stacking density of atoms, etc., but cannot analyze the specific arrangement rules of atoms, and the bond-index method needs to be chosen to analyze the specific stacking structure of the atoms. Figure 5b shows the bond-index statistics of amorphous crystals of differing compositions, from which it can be seen that the bond type with the highest content in Zr90Cu10 amorphous crystals was 1661. The highest content in Zr80Cu20, Zr50Cu50 and Zr35.5Cu64.5 amorphous crystals was the 1551-bond type. The variation in bonding-index percentage in amorphous alloys is closely related to the alloy composition. Types 1661 and 1441 are characteristic bonding types of the BCC phase, which gradually decrease with increasing Cu-atom content, consistent with the statistical results of the coordination number above. Since the 1551-, 1431- and 1541-bond indices are characteristic bond types of the icosahedral structure, their content increases with the increase in Cu-atom content.

4.2. Effect of Temperature on the Crystallization Behavior of Amorphous Alloys

To investigate the influence of temperature on the evolution of the amorphous atomic-stacking structure, the Zr90Cu10 amorphous crystal was selected for this study. Figure 6 illustrates the average atomic potential energy vs. time curves for various temperature conditions. At different temperatures, the atomic energy gradually decreased over time. For example, at 800 K, the energy reduced by 0.012 eV, while at 1000 K, it decreased by 0.040 eV. This energy reduction primarily occurs due to the transformation of the sub-stable amorphous phase into a stable crystalline phase, accompanied by the release of energy within the system. Consequently, the energy of the amorphous system decreases, and the extent of energy reduction becomes more pronounced with the presence of a higher percentage of crystallized phases. However, when the temperature reached 1200 K, the energy drop trend appeared to diminish, indicating that the crystallization process is suppressed at excessively high temperatures. This suggests that temperature plays a critical role in influencing the crystallization behavior of the amorphous system. These findings shed light on the relationship between temperature and the evolution of the amorphous atomic-stacking structure, emphasizing the impact of temperature on the energetics and crystallization dynamics of the system.
As shown in Figure 7, the system is represented by different colors to indicate the different phases present. The white areas represent atoms in the amorphous phase, indicating a lack of long-range order. Blue areas represent atoms in the BCC (body-centered cubic) phase, red areas represent atoms in the HCP (hexagonal close-packed) phase, and green areas represent atoms in the FCC (face-centered cubic) phase. As the temperature increased, the closer to the weld, the greater the percentage of crystalline regions in the amorphous system. According to the BCC-phase distribution, it was noted that there were several BCC clusters distributed within the system at low temperatures, and the BCC phase size increased with increasing temperature. The atomic clusters with larger size HCP-crystal phases existed in the system at lower temperatures, and the smaller clusters largely disappeared when the temperature reached 1100 K. The FCC phases accounted for a smaller percentage overall, and their trends were similar to those of HCP crystals.
As the temperature increased, the crystal orientation, content and number of precipitated clusters also increased. The precipitated phases were randomly distributed throughout the system. This indicates that atomic migration becomes more flexible, making it easier for atoms to release energy and transition to a stable state. Consequently, the atoms are more likely to transform from a disordered state to an ordered arrangement, promoting the formation of crystalline structures in the vicinity. However, this phenomenon might not be observed in actual welding processes due to the rapid cooling of the amorphous surface temperature. This rapid cooling inhibits the precipitation of crystalline phases, preventing the amorphous alloy from undergoing significant crystallization. Therefore, the presence of crystalline phases near the indicated location is less likely to occur in the experimental observations, primarily due to the cooling conditions during the welding process, which restrict the formation of crystalline structures in the amorphous alloy.
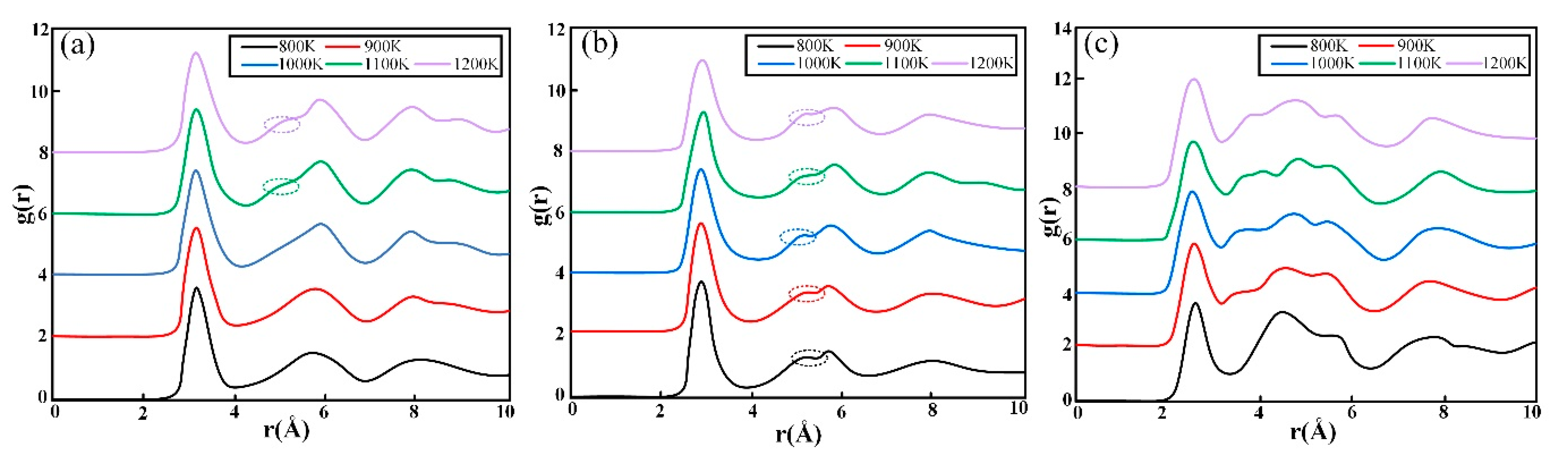
In Figure 8, the radial distribution function (RDF) between the different atoms in the Zr90Cu10 amorphous alloy is depicted. Notably, the curve representing the RDF between Zr-Zr atoms exhibited a prominent shoulder on the left side of the second peak when the temperature reached 1000 K. This indicates a change in the distribution of Zr atoms that is consistent with the crystallization process.
Furthermore, the RDF curve between Zr-Cu atoms demonstrated a distinct bifurcation at the second peak, forming two smaller peaks. Additionally, the third peak was highly pronounced. These features suggest that the arrangement of Zr atoms undergoes significant changes during crystallization.
Conversely, the RDF between Cu-Cu atoms showed a reduction in the height of the first peak as the temperature increased. Moreover, the bifurcation of the second peak gradually disappeared. This implies that the crystallization process promotes a more orderly arrangement of atoms, leading to a more uniform distribution of Cu atoms within the system. Overall, the analysis of the RDFs provides valuable insights into the atomic distributions and changes in the Zr90Cu10 amorphous alloy during the crystallization process.
The radial distribution function does not specifically describe the rearrangement behavior of atoms during amorphous crystallization, due to the fact that the radial distribution function mainly characterizes the spacing between atoms, not the relative positional relationship between atoms. In order to deeply analyze the structural differences of Zr90Cu10 amorphous alloys under different temperature conditions, the Zr90Cu10 amorphous system was analyzed based on the HA bonding index, as shown in Figure 9. The percentage of both 1661- and 1441-bond types increased significantly with increasing temperature, with the highest percentage of 1661-bond type reaching 30.5% at 1100 K and the highest percentage of 1441-bond type reaching 24.2% at 1000 K. These two bond types are the characteristic bond types of the BCC phase, which is consistent with the previous trend of crystal structure occupancy. The percentage of 1551- and 1541-bond types decreased with increasing temperature, and the characterized structures showed that 1541 was a defective icosahedron while 1551 is an ideal icosahedron, indicating that more amorphous structures are transformed into crystalline structures with increasing temperature, forming a crystal structure dominated by 1441- and 1661-bond types.
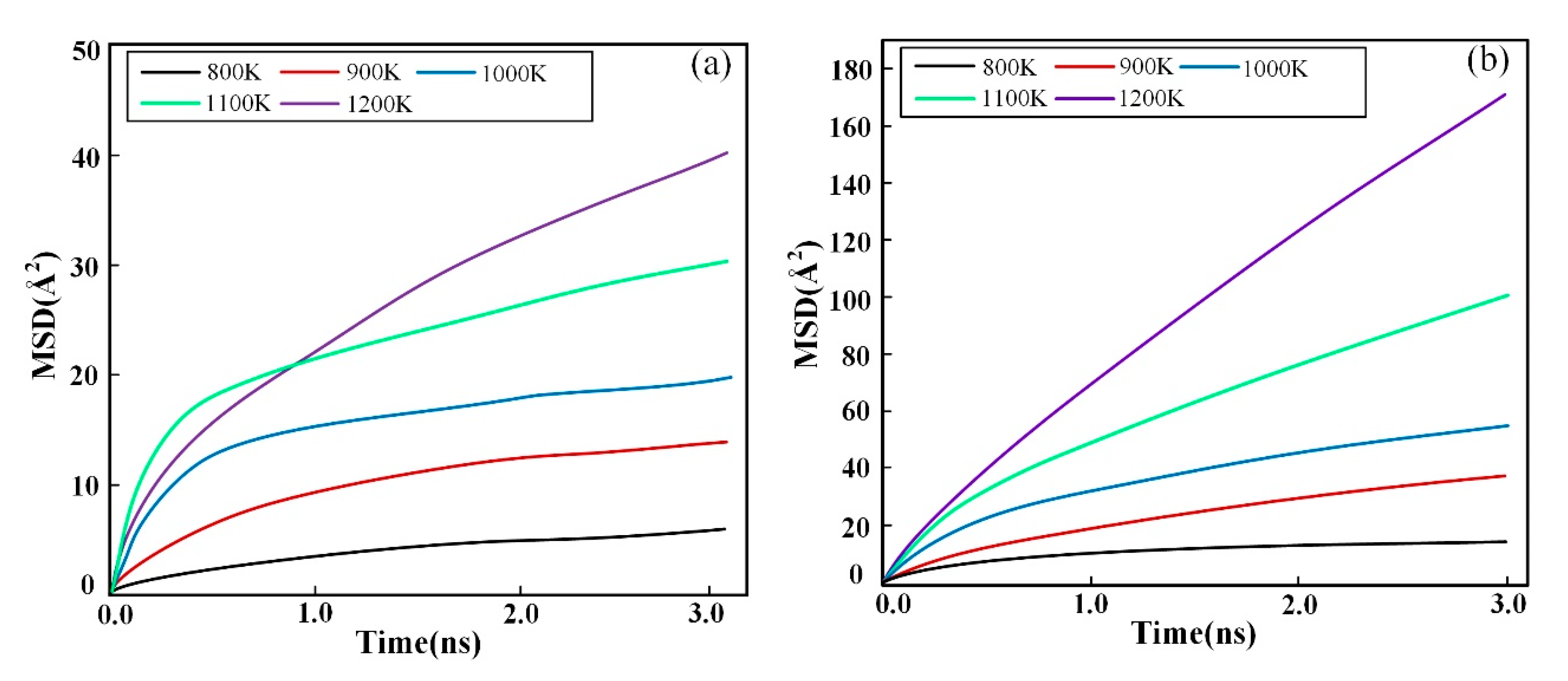
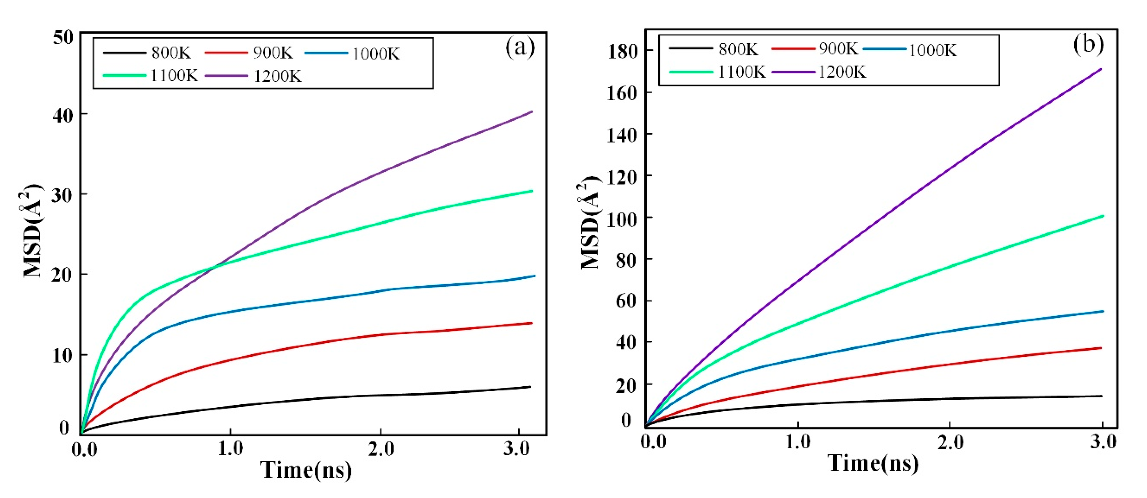
The solid-phase crystallization behavior of amorphous alloys is mainly realized through the short-range migration of atoms, so the diffusion–migration ability of atoms plays an essential role in amorphous crystallization. The atomic root-mean-square displacement is used to describe the ability of atoms to migrate during the calculation, so the effect of atomic diffusion on amorphous crystallization can be analyzed by counting the atomic root-mean-square displacement consequences. Since the amorphous state is a sub-stable structure, atoms are rearranged by migration–diffusion at higher temperatures, resulting in a stable crystalline-phase structure.
As time progresses, a portion of the atoms in the system undergoes crystallization and transitions into a crystalline phase. In comparison to the atoms in the amorphous structure, these atoms in the crystalline phase have reduced mobility and are less capable of migrating. Consequently, the growth rate of the root mean square displacement (MSD) gradually decreases. The MSD measures the average distance by which atoms move from their initial positions over time. In the early stages, when the system is predominantly amorphous, atoms have higher mobility, leading to a higher MSD-growth rate. However, as crystallization occurs, the presence of the more rigid crystalline phase restricts atomic mobility, resulting in a slower increase in the MSD. This observation highlights the impact of crystallization on the dynamics of atomic movement and indicates that the formation of a crystalline phase reduces the overall mobility of atoms in the system.
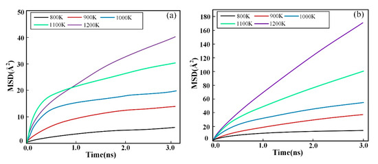
Depending to the experimental results, diffusion is the main factor for amorphous crystallization at lower temperatures [34]. Figure 10a,b show the MSD statistics of Zr atoms and Cu atoms in Zr90Cu10 amorphous alloys at five temperatures of 800, 900, 1000, 1100 and 1200 K. Table 1 presents the estimated diffusion coefficients of Zr and Cu atoms under various temperature conditions. The rms (root-mean-square) displacement values of Zr and Cu atoms: 800 < 900 < 1000 < 1100 < 1200 K. The higher the peak temperature, the larger the rms displacement value of the atoms and the stronger the migration ability of the atoms. The root-mean-square displacement (RMSD) values of Cu atoms are considerably larger than those of Zr atoms under the same temperature conditions. This discrepancy indicates that Cu atoms possess a higher diffusion–migration ability compared to Zr atoms.
During the initial stage of the simulation, the MSD exhibited a rapid growth rate from 0 to 1.0 ns. However, after this period, the growth rate of MSD significantly decreased. This behavior suggests that following an extended period of high temperature, the system tends towards a more stable state, characterized by a greater number of atoms forming regularly arranged crystals. In this state, the atoms are situated in lower energy states, resulting in a diminished migration rate for this portion of atoms. This observation aligns with the energy-change curve of the system. In summary, the discrepancy in the RMSD values between Cu and Zr atoms, along with the growth rate of MSD, provide valuable insights into the relative diffusion abilities and the transition towards a more stable state with the formation of regular crystal structures in the system.
The content of crystallization phases in the Zr90Cu10 amorphous crystal increases as the temperature rises. This observation aligns with the behavior of the root-mean-square displacement (RMSD) values, suggesting a correlation between the crystallization behavior and the diffusion–migration ability of atoms. Specifically, the faster the atom migration ability, as indicated by larger RMSD values, the higher the rate of crystallization. This relationship between atom migration and crystallization rate can be explained by the fact that atoms with greater mobility are more likely to come together and form regular crystal structures at higher temperatures. The increased diffusion of atoms enables them to find favorable positions and align into ordered arrangements, leading to the growth of crystalline phases within the amorphous crystal. The connection between the content of crystallization phases, the RMSD values, and the diffusion–migration ability of atoms highlights the influence of atom mobility on the crystallization rate of the amorphous crystal.
The bond orientation order parameter (Q6) can characterize the relative orientation interactions between atoms, thus identifying the degree of short-range highly ordered atomic arrangements. Studies have found that identical atomic clusters can exhibit different symmetries. Furthermore, it has been observed that mixed structures of ordered and highly ordered structures do not necessarily produce subpeaks in the radial distribution function curve [35]. For example, ICO has a five-fold symmetry axis, while HCP has only a single six-fold symmetry axis, and FCC has four three-fold symmetry axes arranged along the diagonals of a cube. The parameter quantifies the level of symmetry in clusters of atoms, where different symmetries within the same cluster can exhibit varying degrees of order. It is important to note that the presence of both ordered and highly ordered structures does not necessarily result in subpeaks in the radial distribution function (RDF) curves [36]. For example, the icosahedral (ICO) structure possesses five symmetry axes, while the hexagonal close-packed (HCP) structure has only one six-fold symmetry axis, and the face-centered cubic (FCC) has four three-fold symmetry axes arranged diagonally within the cube. In Figure 11a, the statistical results of Q6 under different thermal-cycling peak-temperature conditions are presented. It was observed that the increase in thermal cycling temperature had no significant impact on the magnitude of the Q6 value. However, there was a slight shift in the horizontal coordinate of the peak with increasing temperature, while the size of the peak remained relatively constant. This indicates that the thermal-cycling temperature does not strongly influence the overall magnitude of the Q6 value, suggesting that the level of symmetry and order in the system is relatively stable. However, there may be subtle changes in the specific orientations or arrangements of atoms as the temperature varies, leading to the slight shift in the peak position. Figure 11b is a schematic diagram of the distribution of Q6 structural atoms. Overall, the statistical analysis of Q6 provides insights into the symmetry and order of atomic arrangements under different thermal-cycling peak-temperature conditions.

4.3. Effect of Thermal Action Time on the Crystallization Behavior of Amorphous Alloys

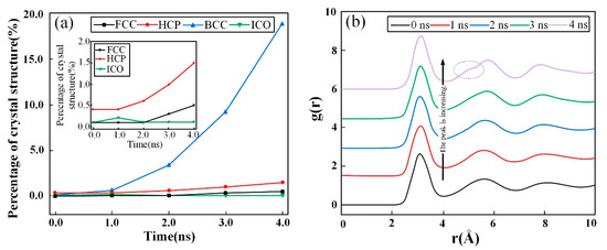
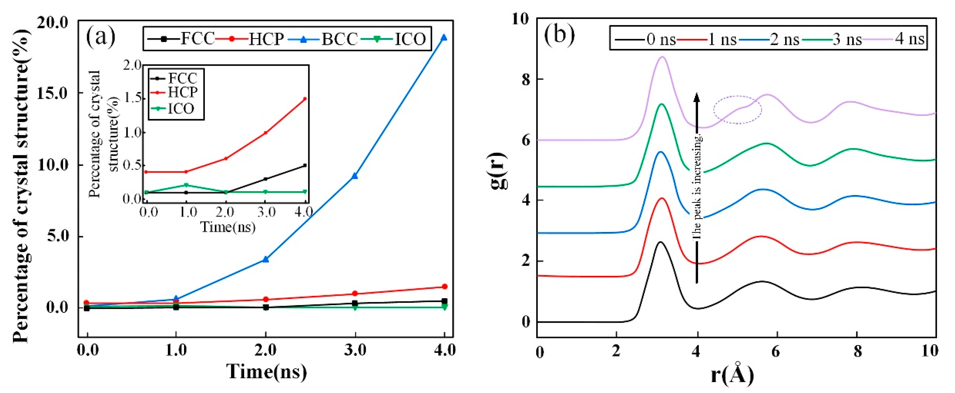
To investigate the effect of different thermal action times on the evolution of the amorphous structure, the Zr80Cu20 amorphous alloy was selected as the subject of study at a temperature of 1100 K. Figure 12a presents the statistical results of the percentage of crystal structures at various thermal action times. From the graph, it is evident that the BCC phase initially showed a slow increase and then underwent exponential growth after 1.0 ns of thermal action. This indicates that the BCC phase gradually transforms and grows within the system as the thermal action time progresses.
On the other hand, the percentage of FCC phases and ICO structures remained relatively low, both below 0.5%. The HCP phase, while exhibiting an increase in percentage with time, remained significantly lower compared to the BCC phase. When the thermal action time reached 4.0 ns, the HCP phase accounted for only approximately 1.5% of the overall crystal structure. These findings suggest that the BCC phase is the dominant crystalline structure in the Zr80Cu20 amorphous alloy under the given conditions. The slow increase followed by exponential growth in the BCC phase indicates a progressive transformation and crystallization process occurring over time. Meanwhile, the percentages of FCC, ICO, and HCP structures remained relatively minor, suggesting that their formation and growth were less pronounced during the studied thermal action period. In summary, the statistical analysis demonstrates the evolution of crystal structures in the Zr80Cu20 amorphous alloy at 1100 K under different thermal action times, with the BCC phase exhibiting significant growth and dominance over other crystal structures.
To investigate the influence of thermal action time on the atomic distribution in the amorphous system, the radial distribution function (RDF) was calculated and statistically analyzed for different moments of thermal action time. Figure 12b displays the results. The analysis of the RDF revealed some notable observations. Firstly, the position and magnitude of the first peak in the RDF, which corresponds to the atomic density within the nearest atomic layer, remained relatively unchanged with time. This suggests that the high temperature exposure time has minimal impact on the atomic density in the nearest vicinity. However, as the thermal action time increased, distinct changes were observed in the second peak of the RDF. At 4.0 ns, a small peak emerged to the left of the second peak, indicating a change in the atomic arrangement within a radius of approximately 5.2 Å. Moreover, the position and intensity of the second peak gradually increased with time. The peak position shifted from 5.6 Å at 0.0 ns to 5.8 Å at 4.0 ns, while the intensity gradually intensified. This signifies a gradual evolution of the medium-range and long-range ordered structures within the system.
Furthermore, the third peak in the RDF also underwent noticeable changes. It gradually shifted to the right, increasing from 1.4 Å at 0.0 ns to 1.5 Å at 4.0 ns. Simultaneously, the intensity of the third peak progressively amplified. These variations indicate an increase in the presence of medium-range and long-range ordered structures within the system. Although there was an increase in the proportion of BCC phases at 4.0 ns, the changes in the RDF were relatively minimal. This suggests that the thermal action time primarily influences the medium-range and long-range ordered structures, while having a lesser impact on the overall atomic density and nearest atomic layer arrangement. The statistical analysis of the RDF demonstrated that thermal action time affects the atomic distribution in the amorphous system. While the atomic density within the nearest atomic layer remained relatively unaffected, changes occurred in the medium-range and long-range ordered structures, as indicated by alterations in the position, intensity, and emergence of additional peaks in the RDF. These findings provide insights into the evolution of atomic arrangements and ordered structures with increasing thermal action time in the amorphous system.
Figure 13a shows the statistical results of the coordination numbers of the Zr80Cu20 amorphous system at different times, and it was found that the coordination numbers were mainly concentrated in CN = 13, 14, 15 and 16, and the overall distribution was normal. The percentage of coordination number CN = 12, 15, and 16 showed a gradual decrease with increasing time, while the coordination number CN = 14 increased rapidly with time from 27.7% at the initial time to 45.0% at 4.0 ns. It indicates that the increase in the percentage of crystallized phases with time makes the atomic arrangement in the amorphous alloy gradually tend to be ordered.
Figure 13b shows the statistical results of atomic bonding types of Zr80Cu20 amorphous crystals at different thermal action times. The truncation radius selected in the statistical process was the position of the first peak and valley of the radial distribution function, at 4.1 Å. As can be seen from the figure, the percentage of each bonding type did not change significantly from 0 to 1.0 ns time, and the bonding types with the highest percentage were 1551-bonding type and 1541-bonding types. After 1.0 ns, the percentage of each bond type changed, and the percentage of 1551 and 1431, the characteristic bond types of the icosahedral structure, showed a gradually decreasing trend. In contrast, the percentage of 1441- and 1661-bond types increased, and the percentage of defective icosahedral characteristic bond type 1541 did not change significantly. This is due to the fact that more disordered structures are transformed into ordered BCC structures with an increasingly high-temperature action time, and thus the 1441- and 1661-bond type content increases substantially, and the change trend is consistent with the crystallization behavior of the amorphous system. The percentage of densely stacked icosahedra gradually decreases, and when the high temperature action reaches a long time, the icosahedral bonding type in the amorphous system will be completely transformed into the 1441- and 1661-bonding types of the crystalline phase. In addition, the presence of icosahedra enables the amorphous alloy to maintain high stability even during the initial thermal action.

4.4. Discussion

Based on the obtained results, it is evident that amorphous Zr-Cu alloys with a lower copper-atom content are more prone to crystallization. In the case of Zr90Cu10 and Zr80Cu20 amorphous alloys, the dominant crystalline phase is BCC [37]. This behavior is influenced by the structural changes in the arrangement of Zr atoms. Since Zr atoms are more abundant in the alloy system, the partial replacement of Zr atoms with Cu atoms in the neighboring positions within the amorphous alloy has a limited impact on the overall structure. However, as the copper atom content increases, the atomic radius and interaction potential differences between Cu and Zr atoms cause significant structural changes in the amorphous system. Both temperature and thermal action time play crucial roles in the crystallization behavior of amorphous alloys, and these are primarily influenced by the chosen parameters in the welding process. Furthermore, the observed energy trends are closely linked to the inherent structural features and the atomic interactions of each alloy’s composition. In the case of the Zr90Cu10 alloy, the rapid initial energy decrease can be attributed to the alloy’s unique atomic arrangement and bonding configuration, which facilitate energy minimization. Subsequently, the system gradually approaches a more stable state, resulting in reduced energy fluctuations. Conversely, in the Zr80Cu20 alloy, the rate of energy decrease gradually increases, indicating distinct atomic structures and bonding environments. Over time, the system undergoes dynamic rearrangements, leading to a more pronounced reduction in potential energy. The unique compositions of Zr50Cu50 and Zr35.5Cu64.5 strike a balance between energy fluctuations and overall energy stability, achieved through a combination of factors, including atomic arrangements, interatomic forces, and compositional disorder. Therefore, analyzing the effects of temperature and time on the degree of crystallization in amorphous alloys is essential for guiding the selection of welding parameters. Figure 14 presents the percentages of BCC and BCC-like cluster structures in the Zr90Cu10 amorphous alloy at different temperature and time conditions. The comparison highlights that temperature has the most significant influence on the trend of BCC crystallization phases.
As the copper-atom content increases in Zr-Cu amorphous alloys, the thermal stability of the alloy also increases. Zr50Cu50 and Zr35.5Cu64.5 amorphous alloys, with higher copper content, exhibited a higher level of thermal stability. These alloys showed minimal crystallization during high-temperature thermal action, resulting in insignificant overall energy changes. Their primary atomic structure was icosahedral, which indicates a more compact atomic stacking compared to crystalline phases.
As the temperature increased, the crystallinity of amorphous alloys initially increased and then reached a constant level, which is consistent with previous research findings [38]. This behavior can be attributed to the growth of BCC nuclei as the dominant factor determining the increase in the crystallization phase, rather than the nucleation rate. Once the nuclei size exceeds a critical threshold, rapid crystallization occurs. In the solid-state phase transition process of amorphous alloys, atomic short-range migration plays a crucial role. Higher temperatures enhance the atomic migration ability, but atoms within the crystalline phase are in a lower energy state, which restricts their diffusion and migration. Consequently, as the degree of crystallinity increases, the proportion of disordered atoms in the amorphous phase decreases, leading to a gradual decrease in the crystallization rate.
The electronic structures of Zr90Cu10 and Zr50Cu50 amorphous alloys were analyzed to gain insights into their crystallization mechanism. Figure 15a,b present the results of the differential charge density analysis of the Zr-Cu amorphous alloy. We observed that there were blue areas surrounding the Zr atoms, indicating a decrease in electron density and electron loss. Conversely, there were red areas surrounding the Cu atoms, indicating an increase in electron density and electron gain. This implies that the Zr atoms experience a decrease in outer charge density, resulting in an increase in binding energy, while the Cu atoms experience an increase in electronic charge and a decrease in binding energy.
Figure 15c shows the total density of states of Zr90Cu10 and Zr50Cu50 amorphous alloys. The black dotted line represents the Fermi energy level, which indicates the energy level at which electron occupation changes. It is noteworthy that the density of states at the Fermi energy level is non-zero, suggesting the presence of electronic states within this range and indicating the metallic behavior of the system as a whole. In the density of states curve, there are two peaks on the left side of the Fermi energy level. Considering the tendency of Zr atoms to lose electrons, the electrons surrounding Zr atoms exhibit strong delocalization, thus contributing to the first peak. On the other hand, the electrons associated with Cu atoms contribute to the second peak due to their relatively stronger localization. Furthermore, the width of the pseudoenergy gap in Zr90Cu10 shown in the figure is larger, indicating a stronger covalent bonding within the Zr90Cu10 system. This suggests that Zr90Cu10 is more likely to exhibit crystallization compared to Zr50Cu50, as the higher covalent bonding strength promotes the formation of ordered structures. Therefore, we can conclude that as the number of Cu atoms in the system increases, the Zr-Cu amorphous alloy exhibits a lower tendency to form a crystalline phase. This is attributed to the electron density redistribution, where Zr atoms experience electron loss and increased binding energy, while Cu atoms gain electrons and exhibit increased electron density. These electronic structure changes contribute to the stabilization of the amorphous phase and hinder the formation of a crystalline phase in the Zr-Cu amorphous alloy, particularly when the Cu-atom content is higher.
Research on the crystallization process of solid-state amorphous materials has primarily focused on summarizing experimental observations and analyzing traditional nucleation theories. However, the atomic-level simulation and analysis of crystallization in amorphous alloys is still in its early stages. By employing molecular dynamics (MD) simulations, researchers can investigate the atomic-level mechanisms underlying crystallization, offering valuable insights into the process.

5. Conclusions

This paper focused on modeling and simulating the amorphous Zr-Cu system with various alloy compositions. The objective was to investigate the impact of alloy composition, temperature, and thermal action time on the crystallization behavior of the amorphous alloy and the changes in its internal atomic-stacking structure. Additionally, the study involves analyzing the amorphous structure using different characterization methods. The key findings and conclusions of this research are summarized as follows:
(1)
The atomic-stacking structure of the Zr-Cu amorphous system is strongly influenced by the alloy composition. With an increase in the Cu-atom content, the difference in atomic radii between Zr and Cu atoms leads to structural stress and irregularities among the atoms, making the formation of the BCC phase more challenging. So, the percentage of the BCC phase decreases significantly at the same temperature. This suggests that a higher Cu content enhances the thermal stability of the amorphous state.
(2)
The structural changes in the Zr90Cu10 amorphous alloy at different temperatures were investigated. It was observed that increasing the temperature promoted the formation of a crystalline structure within the amorphous alloy. The percentage of the BCC phase reached 52.0% when the temperature reached 1200 K; the transition from amorphous state to crystalline state gradually occurred. Analysis of the mean square displacement (MSD) results indicated a significant increase in atom displacement with rising temperatures, indicating that the crystallization process in the amorphous solid state involves the short-range migration of atoms.
(3)
The influence of high-temperature thermal action time on the Zr80Cu20 amorphous alloy was studied. It was observed that the rate of crystallization of the amorphous phase increased gradually with time, but not in a linear manner. The crystallization rate was relatively low during the 0~1.0 ns timeframe and increased after 1.0 ns.

Author Contributions

Conceptualization, S.C., J.H. and X.Y.; methodology, G.L. and Y.L.; software, S.C. and G.L.; validation, X.Y. and D.F.; formal analysis, S.C. and X.Y.; investigation, Y.L.; resources, J.H. and D.F.; writing—original draft, S.C. and J.H.; writing—review and editing, J.H. and X.Y.; supervision, J.H. All authors have read and agreed to the published version of the manuscript.

Funding

Financial support for this work from the National Natural Science Foundation of China (Grant No. 51865029) is gratefully acknowledged.

Data Availability Statement

The original contributions presented in the study are included in the article, further inquiries can be directed to the corresponding authors.

Conflicts of Interest

The authors declare no conflict of interest.

Correction Statement

This article has been republished with a minor correction to the Data Availability Statement. This change does not affect the scientific content of the article.

References

  1. Chen, M. A brief overview of bulk metallic glasses. NPG Asia Mater. 2011, 3, 82–90. [Google Scholar] [CrossRef]
  2. Gan, Z.-Y.; Wang, P.-W.; Li, M.-F.; Zhou, Y.-H.; Malomo, B.; Yang, L. Structural mechanisms of enhanced mechanical properties in amorphous–nanocrystalline ZrCu alloys under irradiation. J. Mater. Sci. 2023, 58, 5061–5071. [Google Scholar] [CrossRef]
  3. LHuang, L.; Chen, Z.; Huang, P.; Meng, X.; Wang, F. Irradiation-induced homogeneous plasticity in amorphous/amorphous nanolaminates. J. Mater. Sci. Technol. 2020, 57, 70–77. [Google Scholar]
  4. Jia, H.; Wang, G.; Chen, S.; Gao, Y.; Li, W.; Liaw, P.K. Fatigue and fracture behavior of bulk metallic glasses and their composites. Prog. Mater. Sci. 2018, 98, 168–248. [Google Scholar] [CrossRef]
  5. Jing, H.-Y.; Li, M.-F.; Wang, P.-W.; Malomo, B.; Yang, L. Self-healing mechanisms of ZrCu nanocrystalline/amorphous laminated alloy under irradiation. Materialia 2021, 20, 101227. [Google Scholar] [CrossRef]
  6. Liu, L.; Qiu, C.; Huang, C.; Yu, Y.; Huang, H.; Zhang, S. Biocompatibility of Ni-free Zr-based bulk metallic glasses. Intermetallics 2009, 17, 235–240. [Google Scholar] [CrossRef]
  7. Lin, Y.; Lin, C.; Cao, Z.; Zhu, M.; Zhang, J.; Chen, A.; Peng, P.; Zhang, Y.; Tan, M.J.; Fu, X. Effect of Fe doping on structural, elastic and electronic properties of B2–ZrCu phase under hydrostatic pressure: A first-principles study. Mater. Chem. Phys. 2021, 272, 124978. [Google Scholar] [CrossRef]
  8. Löffler, J.F. Bulk metallic glasses. Intermetallics 2003, 11, 529–540. [Google Scholar] [CrossRef]
  9. Yusen, H.; Tao, Y.; Zhengyang, X.; Yongbin, Z. Electrochemical micromachining of ZrCu-based amorphous alloy in ethylene glycol solution. Intermetallics 2021, 132, 107155. [Google Scholar] [CrossRef]
  10. Comby-Dassonneville, S.; Tiphéne, G.; Borroto, A.; Guillonneau, G.; Roiban, L.; Kermouche, G.; Pierson, J.F.; Loubet, J.L.; Steyer, P. Real-time high-temperature scanning indentation: Probing physical changes in thin-film metallic glasses. Appl. Mater. Today 2021, 24, 101126. [Google Scholar] [CrossRef]
  11. Huang, L.; Huang, P.; Wang, F. A new deformation mechanism of amorphous/amorphous laminates at deep nanoscale. Mater. Sci. Eng. A 2021, 809, 140923. [Google Scholar] [CrossRef]
  12. Wu, C.-D.; Li, R.-E. Effects of alloy composition, cavity aspect ratio, and temperature of imprinted ZrCu metallic glass films: A molecular dynamics study. Appl. Phys. A 2020, 126, 209. [Google Scholar] [CrossRef]
  13. Altounian, Z.; Guo-Hua, T.; Strom-Olsen, J.O. The crystallization characteristics of Mg-Zn metallic glasses from Mg80Zn20 to Mg60Zn40. J. Mater. Sci. 1982, 17, 3268–3274. [Google Scholar] [CrossRef]
  14. Zhang, Y.; Lin, X.; Gao, X.; Su, X.; Luo, S.; Huang, W. Crystallization mechanism of Zr55Cu30Al10Ni5 metallic glass in an extended range of heating rates. Intermetallics 2021, 136, 107256. [Google Scholar] [CrossRef]
  15. Liu, S.; Zhang, X.; Peng, H.-L.; Han, X.; Yang, H.-Y.; Li, T.-T.; Zhu, L.; Zhang, S.; Qiu, F.; Bai, Z.-H.; et al. In situ nanocrystals manipulate solidification behavior and microstructures of hypereutectic Al-Si alloys by Zr-based amorphous alloys. J. Mater. Res. Technol. 2020, 9, 4644–4654. [Google Scholar] [CrossRef]
  16. Pham, A.-V.; Fang, T.-H.; Nguyen, V.-T.; Chen, T.-H. Mechanical response of ZrxCu100−x layer on Cu(001) substrate using molecular dynamics. Thin Solid Film. 2021, 737, 138954. [Google Scholar] [CrossRef]
  17. Xie, L.; Brault, P.; Bauchire, J.-M.; Thomann, A.-L.; Bedra, L. Molecular dynamics simulations of clusters and thin film growth in the context of plasma sputtering deposition. J. Phys. D Appl. Phys. 2014, 47, 224004. [Google Scholar] [CrossRef]
  18. Zeman, P.; Zítek, M.; Zuzjaková, Š.; Čerstvý, R. Amorphous Zr-Cu thin-film alloys with metallic glass behavior. J. Alloys Compd. 2017, 696, 1298–1306. [Google Scholar] [CrossRef]
  19. He, R.-R.; Li, M.-F.; Malomo, B.; Yang, L. Enhancing corrosion and mechanical properties of 304 stainless steel by depositing and annealing Zr75Cu25 thin-film metallic glass. Surf. Coat. Technol. 2020, 400, 126221. [Google Scholar] [CrossRef]
  20. Zhang, P.; Maldonis, J.J.; Besser, M.F.; Kramer, M.J.; Voyles, P.M. Medium-range structure and glass forming ability in Zr–Cu–Al bulk metallic glasses. Acta Mater. 2016, 109, 103–114. [Google Scholar] [CrossRef]
  21. Feng, S.; Qi, L.; Li, G.; Liu, R. Molecular Dynamics Simulation of Structural Characterization of Elastic and Inelastic Deformation in ZrCu Metallic Glasses. J. Nanomater. 2014, 2014, 318757. [Google Scholar] [CrossRef]
  22. Georgarakis, K.; Hennet, L.; Evangelakis, G.; Antonowicz, J.; Bokas, G.; Honkimaki, V.; Bytchkov, A.; Chen, M.; Yavari, A. Probing the structure of a liquid metal during vitrification. Acta Mater. 2015, 87, 174–186. [Google Scholar] [CrossRef]
  23. Hu, Y.C.; Li, F.X.; Li, M.Z.; Bai, H.Y.; Wang, W.H. Five-fold symmetry as indicator of dynamic arrest in metallic glass-forming liquids. Nat. Commun. 2015, 6, 8310. [Google Scholar] [CrossRef] [PubMed]
  24. Soklaski, R.; Nussinov, Z.; Markow, Z.; Kelton, K.F.; Yang, L. Connectivity of icosahedral network and a dramatically growing static length scale in Cu-Zr binary metallic glasses. Phys. Rev. B 2013, 87, 184203. [Google Scholar] [CrossRef]
  25. Wu, Z.W.; Li, M.Z.; Wang, W.H.; Liu, K.X. Correlation between structural relaxation and connectivity of icosahedral clusters in CuZr metallic glass-forming liquids. Phys. Rev. B 2013, 88, 054202. [Google Scholar] [CrossRef]
  26. Wang, C.C.; Wong, C.H. Interpenetrating networks in Zr–Cu–Al and Zr–Cu metallic glasses. Intermetallics 2012, 22, 13–16. [Google Scholar] [CrossRef]
  27. Yu, X.; Huang, J.; Shao, L.; Zhang, Y.; Fan, D.; Kang, Y.; Yang, F. Microstructures in the joint of zirconium-based bulk metallic glass and copper. Mater. Res. Express 2018, 6, 026511. [Google Scholar] [CrossRef]
  28. Plimpton, S. Fast Parallel Algorithms for Short-Range Molecular Dynamics. J. Comput. Phys. 1995, 117, 1–19. [Google Scholar] [CrossRef]
  29. Mendelev, M.I.; Sun, Y.; Zhang, F.; Wang, C.Z.; Ho, K.M. Development of a semi-empirical potential suitable for molecular dynamics simulation of vitrification in Cu-Zr alloys. J. Chem. Phys. 2019, 151, 214502. [Google Scholar] [CrossRef]
  30. Stukowski, A. Visualization and analysis of atomistic simulation data with OVITO—The Open Visualization Tool. Model. Simul. Mater. Sci. Eng. 2009, 18, 015012. [Google Scholar] [CrossRef]
  31. Ganesh, P.; Widom, M. Signature of nearly icosahedral structures in liquid and supercooled liquid copper. Phys. Rev. B 2006, 74, 134205. [Google Scholar] [CrossRef]
  32. Ganesh, P.; Widom, M. Ab initiosimulations of geometrical frustration in supercooled liquid Fe and Fe-based metallic glass. Phys. Rev. B 2008, 77, 014205. [Google Scholar] [CrossRef]
  33. O’Keeffe, M. A proposed rigorous definition of coordination number. Acta Crystallogr. Sect. A Found. Adv. 1979, 35, 772–775. [Google Scholar] [CrossRef]
  34. Schroers, J.; Johnson, W.L.; Busch, R. Repeated crystallization in undercooled Zr41Ti14Cu12Ni10Be23 liquids. Appl. Phys. Lett. 2000, 76, 2343–2345. [Google Scholar] [CrossRef]
  35. Ryltsev, R.E.; Klumov, B.A.; Chtchelkatchev, N.M.; Shunyaev, K.Y. Computational crystallization of cu-zr-al glass-forming alloys. In Proceedings of the 10th International Conference on Materials Technologies and Modeling MMT-2018, Ariel, Israel, 28 July–1 August 2018. [Google Scholar]
  36. Ryltsev, R.E.; Klumov, B.A.; Chtchelkatchev, N.M.; Shunyaev, K.Y. Nucleation instability in supercooled Cu-Zr-Al glass-forming liquids. J. Chem. Phys. 2018, 149, 164502. [Google Scholar] [CrossRef]
  37. Yang, G.; Lin, X.; Liu, F.; Hu, Q.; Ma, L.; Li, J.; Huang, W. Laser solid forming Zr-based bulk metallic glass. Intermetallics 2012, 22, 110–115. [Google Scholar] [CrossRef]
  38. Li, X.; Zuo, L.; Zhang, T. Effect of annealing on crystallization behavior in Cu15Zr85 amorphous film. J. Alloys Compd. 2021, 883, 160913. [Google Scholar] [CrossRef]
Figure 1. Schematic diagrams of amorphous models (a) Zr90Cu10; (b) Zr80Cu20; (c) Zr50Cu50; (d) Zr35.5Cu64.5.
Figure 1. Schematic diagrams of amorphous models (a) Zr90Cu10; (b) Zr80Cu20; (c) Zr50Cu50; (d) Zr35.5Cu64.5.
Metals 13 01571 g001
Figure 2. (a) Radial distribution function of the initial state; (b) distribution of HA bond-type index in the initial state.
Figure 2. (a) Radial distribution function of the initial state; (b) distribution of HA bond-type index in the initial state.
Metals 13 01571 g002
Figure 3. Variation in energy of different alloy compositions (a) Zr90Cu10; (b) Zr80Cu20; (c) Zr50Cu50; (d) Zr35.5Cu64.5.
Figure 3. Variation in energy of different alloy compositions (a) Zr90Cu10; (b) Zr80Cu20; (c) Zr50Cu50; (d) Zr35.5Cu64.5.
Metals 13 01571 g003
Figure 4. (a) Variation in BCC, HCP, FCC phases and ICO (icosahedral structure) structure content of amorphous systems at different alloy compositions; (b) radial distribution function of amorphous systems of different alloy compositions.
Figure 4. (a) Variation in BCC, HCP, FCC phases and ICO (icosahedral structure) structure content of amorphous systems at different alloy compositions; (b) radial distribution function of amorphous systems of different alloy compositions.
Metals 13 01571 g004
Figure 5. (a) Coordination number of amorphous systems of different alloy compositions; (b) distribution of HA-bonding indices for different alloy compositions.
Figure 5. (a) Coordination number of amorphous systems of different alloy compositions; (b) distribution of HA-bonding indices for different alloy compositions.
Metals 13 01571 g005
Figure 6. Variation in atomic energy with temperature at different temperatures.
Figure 6. Variation in atomic energy with temperature at different temperatures.
Metals 13 01571 g006
Figure 7. Phase distribution of BCC, HCP and FCC in amorphous alloys at different temperatures: (a) 800 K; (b) 900 K; (c) 1000 K; (d) 1100 K; (e) 1200 K.
Figure 7. Phase distribution of BCC, HCP and FCC in amorphous alloys at different temperatures: (a) 800 K; (b) 900 K; (c) 1000 K; (d) 1100 K; (e) 1200 K.
Metals 13 01571 g007
Figure 8. Radial distribution function between the atoms of the amorphous atoms at different temperatures: (a) Zr-Zr; (b) Zr-Cu; (c) Cu-Cu.
Figure 8. Radial distribution function between the atoms of the amorphous atoms at different temperatures: (a) Zr-Zr; (b) Zr-Cu; (c) Cu-Cu.
Metals 13 01571 g008
Figure 9. Distribution of HA bonding patterns of amorphous crystals at different temperatures.
Figure 9. Distribution of HA bonding patterns of amorphous crystals at different temperatures.
Metals 13 01571 g009
Figure 10. MSD of Zr and Cu atoms at different temperature conditions: (a) Zr; (b) Cu.
Figure 10. MSD of Zr and Cu atoms at different temperature conditions: (a) Zr; (b) Cu.
Metals 13 01571 g010
Figure 11. Short-range ordered structure of amorphous atoms: (a) Q6 distribution; (b) Schematic diagram of atomic distribution in Q6 structure.
Figure 11. Short-range ordered structure of amorphous atoms: (a) Q6 distribution; (b) Schematic diagram of atomic distribution in Q6 structure.
Metals 13 01571 g011
Figure 12. (a) Percentage of BCC, FCC, HCP phases and ICO structures in amorphous alloys at different moments; (b) Radial distribution function of amorphous alloys at different moments.
Figure 12. (a) Percentage of BCC, FCC, HCP phases and ICO structures in amorphous alloys at different moments; (b) Radial distribution function of amorphous alloys at different moments.
Metals 13 01571 g012
Figure 13. (a) Variation in the content of coordination number, CN, at different moments; (b) variation in HA bond-index content in amorphous systems at different moments.
Figure 13. (a) Variation in the content of coordination number, CN, at different moments; (b) variation in HA bond-index content in amorphous systems at different moments.
Metals 13 01571 g013
Figure 14. Crystallization phase vs. temperature and thermal action time.
Figure 14. Crystallization phase vs. temperature and thermal action time.
Metals 13 01571 g014
Figure 15. (a,b) Zr90Cu10 and Zr50Cu50 amorphous alloys differential charge densities; (c) density distribution of amorphous alloy states.
Figure 15. (a,b) Zr90Cu10 and Zr50Cu50 amorphous alloys differential charge densities; (c) density distribution of amorphous alloy states.
Metals 13 01571 g015
Table 1. Estimated diffusion coefficients of Zr and Cu atoms under various temperature conditions.
Table 1. Estimated diffusion coefficients of Zr and Cu atoms under various temperature conditions.
Diffusion Coefficients(cm2/s)
Zr AtomCu Atom
800 K1.38 × 10−51.77 × 10−5
900 K3.44 × 10−51.59 × 10−4
1000 K3.56 × 10−51.96 × 10−4
1100 K6.78 × 10−54.87 × 10−4
1200 K1.5210−48.57 × 10−4
Disclaimer/Publisher’s Note: The statements, opinions and data contained in all publications are solely those of the individual author(s) and contributor(s) and not of MDPI and/or the editor(s). MDPI and/or the editor(s) disclaim responsibility for any injury to people or property resulting from any ideas, methods, instructions or products referred to in the content.

Share and Cite

MDPI and ACS Style

Cao, S.; Liu, G.; Huang, J.; Yu, X.; Luo, Y.; Fan, D. Molecular Dynamics Study of Crystallization Behavior in the Solid State of Zr-Cu Amorphous Alloys. Metals 2023, 13, 1571. https://doi.org/10.3390/met13091571

AMA Style

Cao S, Liu G, Huang J, Yu X, Luo Y, Fan D. Molecular Dynamics Study of Crystallization Behavior in the Solid State of Zr-Cu Amorphous Alloys. Metals. 2023; 13(9):1571. https://doi.org/10.3390/met13091571

Chicago/Turabian Style

Cao, Shuai, Guangyin Liu, Jiankang Huang, Xiaoquan Yu, Yiming Luo, and Ding Fan. 2023. "Molecular Dynamics Study of Crystallization Behavior in the Solid State of Zr-Cu Amorphous Alloys" Metals 13, no. 9: 1571. https://doi.org/10.3390/met13091571

APA Style

Cao, S., Liu, G., Huang, J., Yu, X., Luo, Y., & Fan, D. (2023). Molecular Dynamics Study of Crystallization Behavior in the Solid State of Zr-Cu Amorphous Alloys. Metals, 13(9), 1571. https://doi.org/10.3390/met13091571

Note that from the first issue of 2016, this journal uses article numbers instead of page numbers. See further details here.

Article Metrics

Back to TopTop