Tensile and Bending Behaviour of Steel–Glass Fibre-Reinforced and Non-Reinforced Steel–Polyamide Sandwich Materials
Abstract
1. Introduction
1.1. Sandwich Materials
1.2. Tensile and Bending Behaviour of Sandwich Materials
1.3. Aim and Structure of the Paper
- Sandwich material with a glass–fibre reinforced polyamide 6 core, i.e., steel/GF-PA6/steel;
- Sandwich material with non-reinforced polyamide 6 core, i.e., steel/PA6/steel.
2. Experimental and Analytical Work
2.1. Materials
- Tepex RG with a twill 2/2 weaving style, 50% of fibres in each weft and warp directions;
- Tepex RGUD with a unidirectional weaving style, 20% of fibres in weft and 80% in warp directions, accompanied by less fibre undulation compared to RG.
| Materials/ Abbreviation | Thickness [mm] | Coating | Fibre Content [vol.-%] | Supplier |
|---|---|---|---|---|
| TS275 | 0.4 | Zinc | – | thyssenkrupp Steel Europe AG (Kaiser-Wilhelm-Strasse, Duisburg, Germany) |
| PA6 | 0.5 | – | – | Infiana Germany GmbH & Co. KG (Forchheim, Germany) |
| RG | 0.5, 1.0, 2.0 | – | 47 | Lanxess Deutschland GmbH (International Business Park, Singapore) |
2.2. Testing Procedure
2.3. Analytic Analysis of the Four-Point-Bending Configuration
3. Results and Discussion
3.1. Tensile Test Results
3.2. Bending Results
3.2.1. Bending of the Organosheets
3.2.2. Bending of the MPM
3.2.3. Bending of the FML
3.2.4. Failure Modes
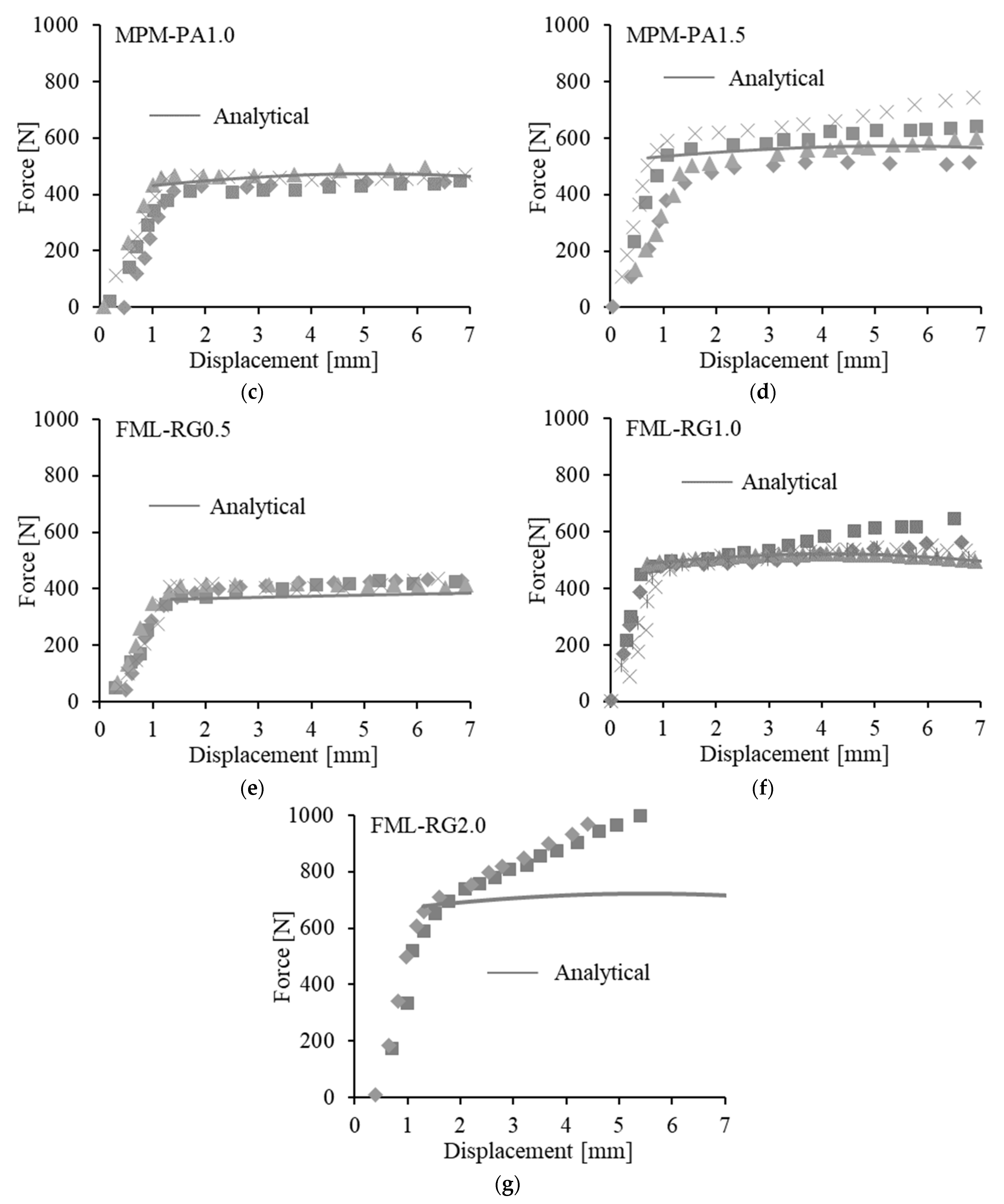
3.3. Validation of the Analytical Model
4. Conclusions and Outlook
- -
- The tensile strength and elastic modulus of the MPM decrease with increasing thickness of the core layer PA6 due to its lower mechanical properties, corresponding to the ROM.
- -
- The cover sheet supplies a backing support effect to the organosheet core layer, leading to a postponed fibre fracture. However, the sample fractures earlier with decreasing fibre volume fraction in the loading direction.
- -
- For laminates under four-point bending conditions, the anticlastic curvature effect of MPM is much more significant than that of FML.
- -
- For FML, the bending strength and interlaminar shear strength increase with increasing core layer thickness and the bending modulus decreases with increasing core layer thickness, which resembles its tensile mechanical properties.
- -
- For both MPM and FML in this study, their bending and tensile properties have a definitive relationship with each other at different core layer thicknesses:
- ○
- The bending moduli are smaller than the elastic moduli: a ratio of approx. 0.75;
- ○
- The bending strengths are greater than the tensile strength: a ratio of approx. 2 for MPM and approx. 1.5 for FML.
- -
- The analytical method achieves good agreement with the experimental ones for MPM. However, further modifications are necessary for FML.
Author Contributions
Funding
Institutional Review Board Statement
Informed Consent Statement
Data Availability Statement
Acknowledgments
Conflicts of Interest
List of Notations
| Symbol | Term | Unit |
| Bending angle | [°] | |
| Yield strain | [-] | |
| Plastic strain | [-] | |
| Friction coefficient | [-] | |
| Yield stress | [MPa] | |
| Plastic stress | [MPa] | |
| Bending strength | [MPa] | |
| Interlaminar shear strength | [MPa] | |
| Sample width | [mm] | |
| Material parameter | [-] | |
| Elastic modulus | [GPa] | |
| Bending modulus | [GPa] | |
| Force | [N] | |
| Distance between the contact points of the bent sheet with the punch & die | [mm] | |
| Support width of the pressing fins | [mm] | |
| Material parameter | [-] | |
| Punch deflection | [mm] | |
| Thickness of the sample | [mm] |
References
- Vogelesang, L.B.; Gunnink, J.W. ARALL: A materials challenge for the next generation of aircraft. Mater. Des. 1986, 7, 287–300. [Google Scholar] [CrossRef]
- Rendigs, K.H. Airbus and Current Aircrafts Metal Technologies; Airbus: Bremen, Germany, 2008. [Google Scholar]
- Wanhill, R.J.H. Aerospace Materials and Material Technologies: GLARE®: A Versatile Fibre Metal Laminate (FML) Concept; Springer: Singapore, 2017. [Google Scholar]
- Asundi, A.; Choi, A. Fiber metal laminates: An advanced material for fiber metal laminates: An advanced material for future aircraft. J. Mater. Process. Technol. 1997, 63, 384–394. [Google Scholar] [CrossRef]
- Reyes, G.; Cantwell, W.J. The mechanical properties of fibre-metal laminates based on glass fibre reinforced polypropylene. Compos. Sci. Technol. 2000, 6, 1085–1094. [Google Scholar] [CrossRef]
- Reyes, G.; Kang, H. Mechanical behavior of lightweight thermoplastic fiber–metal laminates. J. Mater. Process. Technol. 2007, 186, 284–290. [Google Scholar] [CrossRef]
- Paul, C.; Jaschinski, J. Effiziente Mischbauweisen für Leichtbau-Karosserien: Abschlussbericht; Wiedemann, S., Wessels, H., Wetterau, H.J., Eckstein, L., Schulte, T., Modler, N., Jaschinski, J., Eds.; Plattform FOREL, Institut für Leichtbau und Kunststofftechnik, TU Dresden: Dresden, Germany, 2016. [Google Scholar]
- Scholz, P.; Schieck, F.; Müller, R.; Seidlitz, H.; Gerstenberger, C.; Osiecki, T.; Grbic, N.; Behrens, B.A.; Vucetic, M.; Neumann, A. Umformprozessketten für Bauteile aus Faser-Kunststoff/Metall-Verbunden. In Proceedings of the Europäische Forschungsgesellschaft für Blechverarbeitung (Kolloquium) 2015, BadBoll, Baden-Württemberg, Germany, 24–25 March 2015. [Google Scholar]
- Tekkaya, A.; Hahn, M.; Hiegemann, L.; Weddeling, C.; Ben Khalifa, N. Umformen faserverstärkter thermoplastischer Kunststoff-Halbzeuge mit metallischen Deckblechen für den Leichtbau. In Proceedings of the Europäische Forschungsgesellschaft für Blechverarbeitung (Kolloquium) 2015, BadBoll, Baden-Württemberg, Germany, 24–25 March 2015. [Google Scholar]
- Wielage, B.; Nestler, D.; Steger, H.; Kroll, L.; Tröltzsch, J.; Nendel, S. CAPAAL and CAPET—New Materials of High-Strength, High-Stiff Hybrid Laminates: Integrated Systems, Design and Technology 2010; Springer: Berlin/Heidelberg, Germany, 2011; ISBN 978-3-642-17384-4. [Google Scholar]
- Springer Fachmedien Wiesbaden. Application potential of litecor in the body. ATZextra Worldw. 2014, 19, 108–111. [Google Scholar] [CrossRef]
- Harhash, M.; Fischer, T.; Grubenmann, M.; Hua, W.; Heingärtner, J.; Hora, P.; Ziegmann, G.; Palkowski, H. Top-hat crashboxes of thermoplastic fibre-metal-laminates processed in one-step thermoforming: Experimental and numerical study. Compos. B Eng. 2021, 226, 109367. [Google Scholar] [CrossRef]
- Chowdhury, M.A.; Hossain, S. A review on tensile and flexural properties of fiber-reinforced polymer composites. J. Polym. Eng. 2020, 7, 16–26. [Google Scholar]
- Bae, J.M.; Kim, N.; Hattori, M.; Hasegawa, K.; Yoshinari, M.; Kawada, E.; Oda, Y. The flexural properties of fiber-reinforced composite with light-polymerized polymer matrix. Int. J. Prosthodont. 2001, 14, 33–39. [Google Scholar]
- Ahmed, U.; Tariq, A.; Nawab, Y.; Shaker, K.; Khaliq, Z.; Umair, M. Comparison of mechanical behavior of biaxial, unidirectional and standard woven fabric reinforced composites. Fibers Polym. 2020, 21, 1308–1315. [Google Scholar] [CrossRef]
- Baley, C.; Perrot, Y.; Busnel, F.; Guezenoc, H.; Davies, P. Transverse tensile behaviour of unidirectional plies reinforced with flax fibres. Mater. Lett. 2006, 60, 2984–2987. [Google Scholar] [CrossRef]
- Cepeda-Jiménez, C.M.; Alderliesten, R.C.; Ruano, O.A.; Carreño, F. Damage tolerance assessment by bend and shear tests of two multilayer composites: Glass fibre reinforced metal laminate and aluminium roll-bonded laminate. Compos. Sci. Technol. 2009, 69, 343–348. [Google Scholar] [CrossRef]
- Khalili, S.M.R.; Mittal, R.K.; Kalibar, S.G. A study of the mechanical properties of steel/aluminium/GRP laminates. Mater. Sci. Eng. 2005, 412, 137–140. [Google Scholar] [CrossRef]
- Feraboli, P.; Kedward, K.T. Four-point bend interlaminar shear testing of uni- and multi-directional carbon/epoxy composite systems. Compos. Part A Appl. Sci. Manuf. 2003, 34, 1265–1271. [Google Scholar] [CrossRef]
- Xie, M.; Adams, D.F. Study of three- and four-point shear testing of unidirectional composite materials. Composites 1995, 26, 653–659. [Google Scholar] [CrossRef]
- Li, H.G.; Xu, Y.W.; Hua, X.G.; Liu, C.; Tao, J. Bending failure mechanism and flexural properties of GLARE laminates with different stacking sequences. Compos. Struct. 2018, 187, 354–363. [Google Scholar] [CrossRef]
- Hua, W.; Fischer, T.; Harhash, M.; Ziegmann, G.; Palkowski, H. Study on processing galvanized steel/PA6 sandwich composites by hot-pressing: Influence of interface properties and surface treatment on the adhesion strength. Compos. Struct. 2020, 236, 111779. [Google Scholar] [CrossRef]
- Hua, W. Forming Behaviour of Sandwich Materials Made of Steel Covers and Polyamide Cores with or Without Glass Fibre Reinforcements. Dissertation, Clausthal University of Technology, Clausthal-Zellerfeld, Germany, 2022. [Google Scholar]
- Fischer, T. Entwicklung Einer Verbundoptimierten Prozessführung im Variothermen Pressverfahren. Dissertation, Clausthal University of Technology, Clausthal-Zellerfeld, Germany, 2022. [Google Scholar]
- Deutsches Institut für Normung e. V. Testing of Metallic Materials—Tensile Test Pieces: DIN 50125:2004-01; Beuth Verlag GmbH: Berlin, Germany, 2009. [Google Scholar]
- Deutsches Institut für Normung e. V. Fibre-Reinforced Plastic Composites—Determination of Flexural Properties: DIN EN ISO 14125:1998-06; Beuth Verlag GmbH: Berlin, Germany, 2011. [Google Scholar]
- Bellini, C.; Di Cocco, V.; Iacoviello, F.; Sorrentino, L. Performance evaluation of CFRP/Al fibre metal laminates with different structural characteristics. Compos. Struct. 2019, 225, 111117. [Google Scholar] [CrossRef]
- Harhash, M.; Gilbert, R.R.; Hartmann, S.; Palkowski, H. Experimental characterization, analytical and numerical investigations of metal/polymer/metal sandwich composites—Part 2: Free bending. Compos. Struct. 2019, 232, 111421. [Google Scholar] [CrossRef]
- Kreulitsch, H. Formgebung von Blechen und Bändern durch Biegen; Springer: Wien, Austria, 1995; ISBN 3-211-82595-9. [Google Scholar]
- Botelhoa, E.C.; Silva, R.A.; Pardini, L.C.; Rezende, M.C. A review on the development and properties of continuous fiber/epoxy/aluminum hybrid composites for aircraft structures. Mater. Res. 2006, 9, 247–256. [Google Scholar] [CrossRef]
- Bellini, C.; Di Cocco, V.; Iacoviello, F.; Sorrentino, L. Experimental analysis of aluminium/carbon epoxy hybrid laminates under flexural load. Frat. Integrita Strutt. 2019, 13, 739–747. [Google Scholar] [CrossRef]
- Wu, X.; Pan, Y.C.; Wu, G.Q.; Huang, Z.; Tian, R.; Sun, S.Q. Flexural behaviour of CFRP/MG hybrid laminates with different layers thickness. Adv. Compos. Lett. 2017, 26, 168–172. [Google Scholar] [CrossRef]
- Schirmaier, F.J.; Weidenmann, K.A.; Kärger, L.; Henning, F. Characterisation of the draping behaviour of unidirectional non-crimp fabrics (UD-NCF). Compos. Part A Appl. Sci. Manuf. 2016, 80, 28–38. [Google Scholar] [CrossRef]
- Galkin, S.; Kunze, E.; Kärger, L.; Böhm, R.; Gude, M. Experimental and numerical determination of the local fiber volume content of unidirectional non-crimp fabrics with forming effects. J. Compos. Sci. 2019, 3, 19. [Google Scholar] [CrossRef]
- LANXESS Deutschland GmbH. Tepex Materials Data Sheet: Tepex® dynalite 102-RG600(x)/47%; LANXESS Deutschland GmbH: Köln, Germany, 2014. [Google Scholar]
- Tan, Y.L.; Huang, C.H.; Guo, Z.X.; Yu, J. Morphology and mechanical properties of polyamide 6/polystyrene blends prepared by diffusion and subsequent polymerization of styrene in polyamide 6 pellets. Materials 2018, 11, 776. [Google Scholar] [CrossRef]
- Wang, C.L.; Zheng, S.L.; Wang, H.F. Evaluation of mechanical properties of polyamide 6(PA6) filled with wollastonite and inorganic modified wollastonite. Appl. Mech. Mater. 2012, 217–219, 522–525. [Google Scholar] [CrossRef]
- Hufenbach, W.; Jaschinski, T.; Weber, T.; Weck, D. Numerical and experimental investigations on HYLITE sandwich sheets as an alternative sheet metal. Arch. Civ. Mech. 2008, 8, 67–80. [Google Scholar] [CrossRef]
- Yekani Farda, M.; Raji, B.; Chattopadhyay, A. The ratio of flexural strength to uniaxial tensile strength in bulk epoxy resin polymeric materials. Polym. Test. 2014, 40, 156–162. [Google Scholar] [CrossRef]
- Whitney, J.M.; Knight, M. The relationship between tensile strength and flexure strength in fiber-reinforced composites. Exp. Mech. 1980, 20, 211–216. [Google Scholar] [CrossRef]
- Kim, D.J.; Naaman, A.E.; Tawil, E.I. Correlation between tensile and bending behavior of FRC composites with scale effect: High Performance, Fiber Reinforced Concrete, Special Loadings and Structural Applications. In Proceedings of the Fracture Mechanics of Concrete and Concrete Structures, Jeju, Republic of Korea, 23–28 May 2010. [Google Scholar]
- Parsa, M.H.; Mohammadi, S.V.; Aghchai, A.J. Al3105/polypropylene/Al3105 laminates springback in V-die bending. Int. J. Adv. Manuf. Technol. 2014, 75, 849–860. [Google Scholar] [CrossRef]
- Horrocks, D.; Johnson, W. On anticlastic curvature with special reference to plastic bending: A literature survey and some experimental investigations. Int. J. Mech. Sci. 1967, 9, 835–861. [Google Scholar] [CrossRef]
- Wang, J.F.; Wagoner, R.H.; Matlock, D.K.; Barlat, F. Anticlastic curvature in draw-bend springback. Int. J. Solids Struct. 2005, 42, 1287–1307. [Google Scholar] [CrossRef]
- Kuhtz, M.; Buschner, N.; Henseler, T.; Hornig, A.; Klaerner, M.; Ullmann, M.; Jäger, H.; Kroll, L.; Kawalla, R. An experimental study on the bending response of multi-layered fibre-metal-laminates. J. Compos. Mater. 2019, 53, 2579–2591. [Google Scholar] [CrossRef]
- Illing, T.; Gotzig, H.; Schoßig, M.; Bierögel, C.; Grellmann, W. Influence of hygrothermal aging on poisson’s ratio of thin injection-molded short glass fiber-reinforced PA6. Fibres 2016, 4, 17. [Google Scholar] [CrossRef]
- Rajkumar, G.R.; Krishna, M.; Narasimhamurthy, H.N.; Keshavamurthy, Y.C.; Nataraj, J. Investigation of tensile and bending behavior of aluminum based hybrid fiber metal laminates. In Proceedings of the International Conference on Advances in Manufacturing and Materials Engineering, Mangalore, Karnataka, India, 27–29 March 2014. [Google Scholar]






















| Abbreviation | Sandwich Panels |
|---|---|
| MPM-PAx | MPM based on TS275/PA6/TS275 with core layer thickness x |
| FML-RGx | FML based on TS275/RG/TS275 with core layer thickness x |
| FML-RGUDXx | FML based on TS275/RGUD/TS275 with core layer thickness x, X: warp direction of RGUD in sample length direction |
| FML-RGUDYx | FML based on TS275/RGUD/TS275 with core layer thickness x, Y: weft direction of RGUD in sample length direction |
| [mm] | [mm] | [mm] | Support Span [mm] | [mm] | |
|---|---|---|---|---|---|
| RG/RGUD1.0 | 30 | 15 | 1.0 | 23 | 8 |
| MPM-PA0.1 | 27 | 15 | 0.9 | 20 | 7 |
| MPM-PA0.5 | 39 | 15 | 1.3 | 30 | 10 |
| MPM-PA1.0 | 54 | 15 | 1.8 | 41 | 14 |
| MPM-PA1.5 | 69 | 15 | 2.3 | 52 | 17.5 |
| FML-RG0.5 | 39 | 15 | 1.3 | 30 | 10 |
| FML-RG1.0 | 54 | 15 | 1.8 | 41 | 14 |
| FML-RG2.0 | 84 | 15 | 2.8 | 63 | 21 |
| FML-RGUDX1.0 | 54 | 15 | 1.8 | 41 | 14 |
| FML-RGUDY1.0 | 54 | 15 | 1.8 | 41 | 14 |
| Material/ Abbreviation | Cover Sheet | Core Layer | Test | |||||||||
|---|---|---|---|---|---|---|---|---|---|---|---|---|
| TS275 [mm] | PA6 [mm] | RG [mm] | RGUD [mm] | Tensile Test | 4P-Bending | |||||||
| 0.4 | 0.1 | 0.5 | 1.0 | 1.5 | 0.5 | 1.0 | 2.0 | 0.5 | 1.0 | |||
| TS275 | x | x | ||||||||||
| PA6 | x | x | ||||||||||
| RG | x | x | ||||||||||
| x | x | x | ||||||||||
| RGUD | x | x | ||||||||||
| x | x | |||||||||||
| MPM | x | x | x | |||||||||
| x | x | x | x | |||||||||
| x | x | x | x | |||||||||
| x | x | x | ||||||||||
| FML | x | x | x | x | ||||||||
| x | x | x | x | |||||||||
| x | x | x | ||||||||||
| x | x | x | ||||||||||
| x | x | x | x | |||||||||
| Material | [GPa] | [GPa] | [MPa] | [MPa] | [MPa] | ef [%] |
|---|---|---|---|---|---|---|
| TS275 | 204 ± 2 | — | 363 ± 3 | — | 317 ± 4 | 24.5 ± 0.5 |
| PA6 | 3 ± 0 | — | 73 ± 3 | — | 31 ± 8 | – |
| RG | 18 ± 1 | — | 338 ± 22 | — | 318 ± 9 | 1.9 ± 0.1 |
| RGUDX | 30 ± 1 | — | 439 ± 25 | — | 382 ± 35 | 1.7 ± 0.1 |
| RGUDY | 14 ± 1 | — | 102 ± 8 | — | 60 ± 6 | 1.4 ± 0.1 |
| MPM-PA0.4 | 145 ± 7 | 137 | 278 ± 2 | 266 | 239 ± 3 | 23 ± 1 |
| MPM-PA0.5 | 131 ± 8 | 127 | 258 ± 14 | 247 | 225 ± 13 | 23.5 ± 1 |
| MPM-PA1.0 | 96 ± 11 | 94 | 201 ± 3 | 199 | 155 ± 10 | 20 ± 1 |
| FML-RG0.5 | 132 ± 6 | 136 | 400 ± 7 | 353 | 233 ± 2 | — |
| FML-RG1.0 | 113 ± 5 | 103 | 425 ± 5 | 349 | 202 ± 3 | — |
| FML-RGUDX0.5 | 140 ± 6 | 140 | 450 ± 1 | 392 | 252 ± 1 | — |
| FML-RGUDX1.0 | 113 ± 3 | 110 | 468 ± 22 | 405 | 209 ± 5 | — |
| FML-RGUDY0.5 | 130 ± 17 | 134 | 301 ± 3 | 263 | 231 ± 6 | — |
Disclaimer/Publisher’s Note: The statements, opinions and data contained in all publications are solely those of the individual author(s) and contributor(s) and not of MDPI and/or the editor(s). MDPI and/or the editor(s) disclaim responsibility for any injury to people or property resulting from any ideas, methods, instructions or products referred to in the content. |
© 2023 by the authors. Licensee MDPI, Basel, Switzerland. This article is an open access article distributed under the terms and conditions of the Creative Commons Attribution (CC BY) license (https://creativecommons.org/licenses/by/4.0/).
Share and Cite
Hua, W.; Harhash, M.; Ziegmann, G.; Carradò, A.; Palkowski, H. Tensile and Bending Behaviour of Steel–Glass Fibre-Reinforced and Non-Reinforced Steel–Polyamide Sandwich Materials. Metals 2023, 13, 1291. https://doi.org/10.3390/met13071291
Hua W, Harhash M, Ziegmann G, Carradò A, Palkowski H. Tensile and Bending Behaviour of Steel–Glass Fibre-Reinforced and Non-Reinforced Steel–Polyamide Sandwich Materials. Metals. 2023; 13(7):1291. https://doi.org/10.3390/met13071291
Chicago/Turabian StyleHua, Wei, Mohamed Harhash, Gerhard Ziegmann, Adele Carradò, and Heinz Palkowski. 2023. "Tensile and Bending Behaviour of Steel–Glass Fibre-Reinforced and Non-Reinforced Steel–Polyamide Sandwich Materials" Metals 13, no. 7: 1291. https://doi.org/10.3390/met13071291
APA StyleHua, W., Harhash, M., Ziegmann, G., Carradò, A., & Palkowski, H. (2023). Tensile and Bending Behaviour of Steel–Glass Fibre-Reinforced and Non-Reinforced Steel–Polyamide Sandwich Materials. Metals, 13(7), 1291. https://doi.org/10.3390/met13071291

