Selective Cementation of Gold Using an Iron Oxide and Zero-Valent Aluminum Galvanic System from Gold–Copper Ammoniacal Thiosulfate Solutions
Abstract
1. Introduction
2. Materials and Methods
2.1. Materials
2.2. Solution Preparation
2.3. Cementation Experiments
2.4. Electrochemical Measurements
2.4.1. Preparation of the Aluminum–Hematite (Al/Hem) and Aluminum–Magnetite Electrode (Al/Mag)
2.4.2. Cyclic Voltammetry Measurements
2.4.3. Chronoamperometry and Electrode Surface Characterization
3. Results and Discussion
3.1. Recovery of Gold Ions from Ammonium Thiosulfate Solution
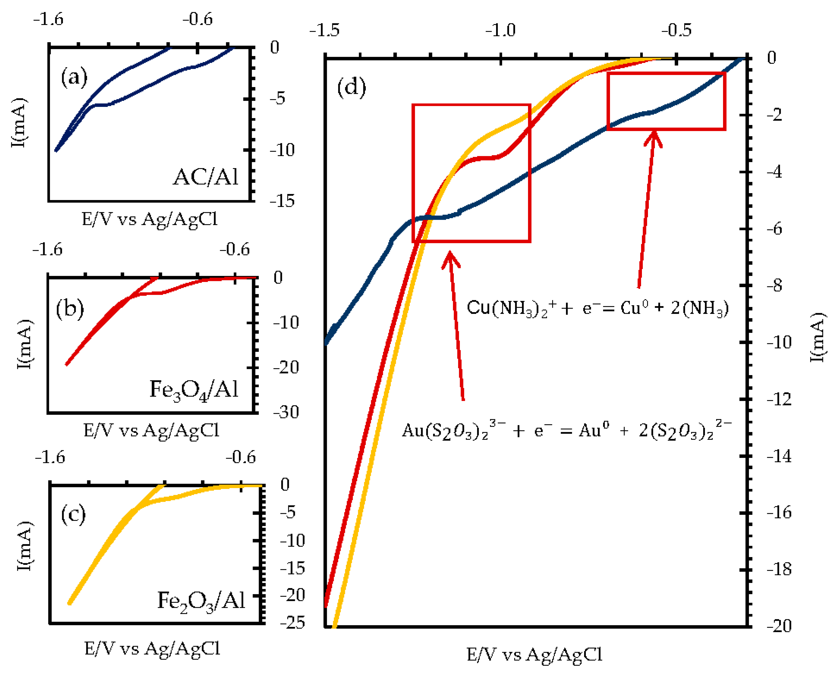
3.2. Electrochemical Properties of the Fe2O3/Al and Fe3O4/Al Electrodes
3.3. Proposed Cementation Model
4. Conclusions
Author Contributions
Funding
Data Availability Statement
Conflicts of Interest
References
- Qin, H.; Guo, X.; Tian, Q.; Zhang, L. Pyrite enhanced chlorination roasting and its efficacy in gold and silver recovery from gold tailing. Sep. Purif. Technol. 2020, 250, 117168. [Google Scholar] [CrossRef]
- Qin, H.; Guo, X.; Tian, Q.; Yu, D.; Zhang, L. Recovery of Gold from sulfide refractory gold ore: Oxidation roasting pretreatment and gold extraction. Miner. Eng. 2021, 164, 106822. [Google Scholar] [CrossRef]
- Konadu, K.T.; Huddy, R.J.; Harrison, S.T.; Osseo-Asare, K.; Sasaki, K. Sequential pretreatment of double refractory gold ore (DRGO) with a thermophilic iron oxidizing archaeon and fungal crude enzymes. Miner. Eng. 2019, 138, 86–94. [Google Scholar] [CrossRef]
- Dong, Z.; Jiang, T.; Xu, B.; Yang, Y.; Li, Q. Recovery of gold from pregnant thiosulfate solution by the resin adsorption technique. Metals 2017, 7, 555. [Google Scholar] [CrossRef]
- Nan, X.-Y.; Cai, X.; Jun, K. Pretreatment Process on Refractory Gold Ores with As. ISIJ Int. 2014, 54, 543–547. [Google Scholar] [CrossRef]
- Xie, F.; Chen, J.-N.; Wang, J.; Wang, W. Review of gold leaching in thiosulfate-based solutions. Trans. Nonferrous Met. Soc. China 2021, 31, 3506–3529. [Google Scholar] [CrossRef]
- Qin, H.; Guo, X.-Y.; Tian, Q.-H.; Zhang, L. Recovery of gold from refractory gold ores: Effect of pyrite on the stability of the thiourea leaching system. Int. J. Miner. Met. Mater. 2021, 28, 956–964. [Google Scholar] [CrossRef]
- Sun, C.-B.; Zhang, X.-L.; Kou, J.; Xing, Y. A review of gold extraction using noncyanide lixiviants: Fundamentals, advancements, and challenges toward alkaline sulfur-containing leaching agents. Int. J. Miner. Met. Mater. 2020, 27, 417–431. [Google Scholar] [CrossRef]
- Tremblay, L.; Deschênes, G.; Ghali, E.; McMullen, J.; Lanouette, M. Gold recovery from a sulphide bearing gold ore by percolation leaching with thiourea. Int. J. Miner. Process. 1996, 48, 225. [Google Scholar] [CrossRef]
- Ma, C.J.; Li, J.Y.; Liu, R.J. A review of thiocyanate hydrometallurgy for the recovery of gold. Appl. Mech. Mater. 2015, 768, 53. [Google Scholar] [CrossRef]
- Ahtiainen, R.; Lundström, M. Cyanide-free gold leaching in exceptionally mild chloride solutions. J. Clean. Prod. 2019, 234, 9. [Google Scholar] [CrossRef]
- Ahtiainen, R.; Lundström, M.; Liipo, J. Preg-robbing verification and prevention in gold chloride-bromide leaching. Miner. Eng. 2018, 128, 153. [Google Scholar] [CrossRef]
- Wang, H.-X.; Sun, C.-B.; Li, S.-Y.; Fu, P.-F.; Song, Y.-G.; Li, L.; Xie, W.-Q. Study on gold concentrate leaching by iodine-iodide. Int. J. Miner. Met. Mater. 2013, 20, 323–328. [Google Scholar] [CrossRef]
- Konyratbekova, S.; Baikonurova, A.; Ussoltseva, G.; Erust, C.; Akcil, A. Thermodynamic and kinetic of iodine-iodide leaching in gold hydrometallurgy. Trans. Nonferrous Met. Soc. China 2015, 25, 3774. [Google Scholar] [CrossRef]
- Jeon, S.; Bright, S.; Park, I.; Tabelin, C.B.; Ito, M.; Hiroyoshi, N. The effects of Coexisting Copper, Iron, Cobalt, nickel and zinc ions on Gold recovery by enhanced cementation via Galvanic Interactions between zero-valent aluminum and activated carbon in ammonium thiosulfate system. Metals 2021, 11, 1352. [Google Scholar] [CrossRef]
- Jeon, S.; Tabelin, C.B.; Takahashi, H.; Park, I.; Ito, M.; Hiroyoshi, N. Enhanced Cementation of gold via galvanic interaction using activated carbon and zero-valent aluminum: A novel Approach to recover gold ions from ammonium thiosulfate medium. Hydrometallurgy 2019, 191, 105165. [Google Scholar] [CrossRef]
- Jeon, S.; Bright, S.; Park, I.; Tabelin, C.B.; Ito, M.; Hiroyoshi, N. A simple and efficient recovery technique for gold ions from ammonium thiosulfate medium by galvanic interactions of zero-valent aluminum and activated carbon: A parametric and mechanistic study of cementation. Hydrometallurgy 2021, 208, 105815. [Google Scholar] [CrossRef]
- Jeon, S.; Bright, S.; Park, I.; Kuze, A.; Ito, M.; Hiroyoshi, N. A kinetic study on enhanced cementation of gold ions by galvanic interactions between aluminum as an electron donor and activated carbon as an electron mediator in ammonium thiosulfate system. Minerals 2022, 12, 91. [Google Scholar] [CrossRef]
- Aylmore, M.; Muir, D. Thiosulfate leaching of gold—A review. Miner. Eng. 2001, 14, 135. [Google Scholar] [CrossRef]
- Arima, H.; Fujita, T.; Yen, W. Gold cementation from ammonium thiosulfate solution by zinc, copper, and aluminum powders. Mater. Trans. 2002, 43, 485–493. [Google Scholar] [CrossRef]
- Xu, B.; Kong, W.; Li, Q.; Yang, Y.; Jiang, T.; Liu, X. A review of thiosulfate leaching of gold: Focus on thiosulfate consumption and gold recovery from pregnant solution. Met.-Open Access Metall. J. 2017, 7, 222. [Google Scholar] [CrossRef]
- Feng, D.; van Deventer, J. Thiosulfate leaching of gold in the presence of pyrite. Hydrometallurgy 2006, 82, 126–132. [Google Scholar] [CrossRef]
- Feng, D.; van Deventer, J. Effect of hematite on thiosulphate leaching of gold. Int. J. Miner. Process. 2007, 82, 138–147. [Google Scholar] [CrossRef]
- Karavasteva, M. Kinetics and deposit morphology of gold cemented on magnesium, aluminum, zinc, iron, and copper from ammonium thiosulfate-ammonia solutions. Hydrometallurgy 2010, 104, 119–122. [Google Scholar] [CrossRef]
- Gallagher, N.P.; Hendrix, J.L.; Milosavljevic, E.G.; Nelson, J.H.; Solujic, L. Affinity of activated carbon towards some gold (I) complexes. Hydrometallurgy 1990, 25, 305–316. [Google Scholar] [CrossRef]
- Choi, S.; Jeon, S.; Park, I.; Ito, M.; Hiroyoshi, N. Addition of Fe3O4 as electron mediator for enhanced cementation of cd2+ and Zn2+ on aluminum powder from sulfate solutions and magnetic separation to concentrate cemented metals from cementation products. J. Environ. Chem. Eng. 2021, 9, 106699. [Google Scholar] [CrossRef]
- Hu, G.; Dam-Johansen, K.; Wedel, S.; Hansen, J.P. Decomposition and Oxidation of Pyrite. Prog. Energy Combust. Sci. 2006, 32, 295–314. [Google Scholar] [CrossRef]
- IAlp; Celep, O.; Paktunç, D.; Thibault, Y. Influence of potassium hydroxide pretreatment on the extraction of gold and silver from a refractory ore. Hydrometallurgy 2014, 146, 64. [Google Scholar] [CrossRef]
- Balarini, J.C.; Polli, L.d.O.; Miranda, T.L.S.; de Castro, R.M.Z.; Salum, A. Importance of roasted sulphide concentrates characterization in the hydrometallurgical extraction of zinc. Miner. Eng. 2008, 21, 100–110. [Google Scholar] [CrossRef]
- Fu, P.; Li, Z.; Feng, J.; Bian, Z. Recovery of Gold and Iron from Cyanide Tailings with a Combined Direct Reduction Roasting and Leaching Process. Metals 2018, 8, 561. [Google Scholar] [CrossRef]
- Tabelin, C.B.; Veerawattananun, S.; Ito, M.; Hiroyoshi, N.; Igarashi, T. Pyrite oxidation in the presence of hematite and alumina: II. Effects on the cathodic and anodic half-cell reactions. Sci. Total Environ. 2017, 581–582, 126–135. [Google Scholar] [CrossRef] [PubMed]
- Ke, B.; Li, Y.; Chen, J.; Zhao, C.; Chen, Y. DFT study on the galvanic interaction between pyrite (100) and galena (100) surfaces. Appl. Surf. Sci. 2016, 367, 270–276. [Google Scholar] [CrossRef]













| Assigned Reductions Reactions | Potential (V) |
|---|---|
| + | −0.2 |
| + | −0.5 |
| + | −0.8 |
| 2S2O32− + + 8e− → 4S0 + 12OH− | −0.9 |
| + O + 12 | −1.0 |
Disclaimer/Publisher’s Note: The statements, opinions and data contained in all publications are solely those of the individual author(s) and contributor(s) and not of MDPI and/or the editor(s). MDPI and/or the editor(s) disclaim responsibility for any injury to people or property resulting from any ideas, methods, instructions or products referred to in the content. |
© 2023 by the authors. Licensee MDPI, Basel, Switzerland. This article is an open access article distributed under the terms and conditions of the Creative Commons Attribution (CC BY) license (https://creativecommons.org/licenses/by/4.0/).
Share and Cite
Zoleta, J.; Jeon, S.; Kuze, A.; Okada, N.; Park, I.; Ito, M.; Elakneswaran, Y.; Hiroyoshi, N. Selective Cementation of Gold Using an Iron Oxide and Zero-Valent Aluminum Galvanic System from Gold–Copper Ammoniacal Thiosulfate Solutions. Metals 2023, 13, 1289. https://doi.org/10.3390/met13071289
Zoleta J, Jeon S, Kuze A, Okada N, Park I, Ito M, Elakneswaran Y, Hiroyoshi N. Selective Cementation of Gold Using an Iron Oxide and Zero-Valent Aluminum Galvanic System from Gold–Copper Ammoniacal Thiosulfate Solutions. Metals. 2023; 13(7):1289. https://doi.org/10.3390/met13071289
Chicago/Turabian StyleZoleta, Joshua, Sanghee Jeon, Akuru Kuze, Nako Okada, Ilhwan Park, Mayumi Ito, Yogarajah Elakneswaran, and Naoki Hiroyoshi. 2023. "Selective Cementation of Gold Using an Iron Oxide and Zero-Valent Aluminum Galvanic System from Gold–Copper Ammoniacal Thiosulfate Solutions" Metals 13, no. 7: 1289. https://doi.org/10.3390/met13071289
APA StyleZoleta, J., Jeon, S., Kuze, A., Okada, N., Park, I., Ito, M., Elakneswaran, Y., & Hiroyoshi, N. (2023). Selective Cementation of Gold Using an Iron Oxide and Zero-Valent Aluminum Galvanic System from Gold–Copper Ammoniacal Thiosulfate Solutions. Metals, 13(7), 1289. https://doi.org/10.3390/met13071289

