A Determination of the Influence of Technological Parameters on the Quality of the Created Layer in the Process of Cataphoretic Coating
Abstract
1. Introduction
2. Materials and Methods
2.1. Material Selection
2.2. Technological Process of Production
- (a)
- Chemical degreasing of the samples—chemical degreasing was carried out in a high alkaline medium emulsifying agent containing low-foaming tensides. Each sample was subjected to a degreasing time of 8 min under a constant temperature of 65 °C with a constant chemical composition of the solution (40 g·L−1). The degreasing was followed by a two-stage rinse in demineralized water.
- (b)
- Pre-phosphating activation—this was carried out in a commercial preparation from Pragochema CZ, trade name Pragofos 1927, under the following constant conditions: pH = 9.5, Tact = 40 °C, and tact = 2 min.
- (c)
- Phosphating—the phosphating itself was carried out in a multi-cation phosphatizing solution without nitrite accelerators. The samples were phosphated under constant operating conditions: Tph = 50 °C and tph = 5 min and a constant chemical composition: a total Fisher spot content of 16 points, a free acid content of 0.8 g·L−1, an accelerator content of 2.3 g·L−1, a zinc content of 0.95 g·L−1, and a phosphate content of 12.5 g·L−1, with a pH of 3.40. The surface weight of the deposited phosphate coating ranged from 1.97 to 2.09 g·m−2. The surface homogeneity after phosphating can be seen in the image of the checking sample shown in Figure 1. The SEM images were captured using a Scanning Electron Microscope Tescan Mira 3 FE equipped with an integrated EDX analyzer from Oxford Instruments, which allowed for an observation of the microstructure of the material and the performance of an elemental analysis (spot and surface distribution). For the SEM images, the secondary electron mode (SE) and an accelerating voltage of 15 kV were used. The distance between the sample and detector was 15 mm and the view field was 185 μm. A three-stage rinse in demineralized water followed the phosphating process.
- (d)
- Cataphoresis varnishing—this was carried out according to the matrix of the experiment plan using a central composite plan. The basic variable factors are presented in Table 1. In the cataphoresis varnishing of the individual samples, the constant temperature of the cataphoresis paint was TKTL = 32.5 °C and the value of the current flowing through the electrochemical system, namely IKTL = 200 A, was kept constant. The chemical parameters of the cataphoresis paint during the experiment were also maintained at a constant level: dry matter (1 h at 110 °C) at 15.300, P/B ratio (binder/paint) at 0.151, pH (at 25 °C) at 5.82, and conductivity (at 25 °C) at 1660 μS·cm−1.
2.3. Thickness Measurement
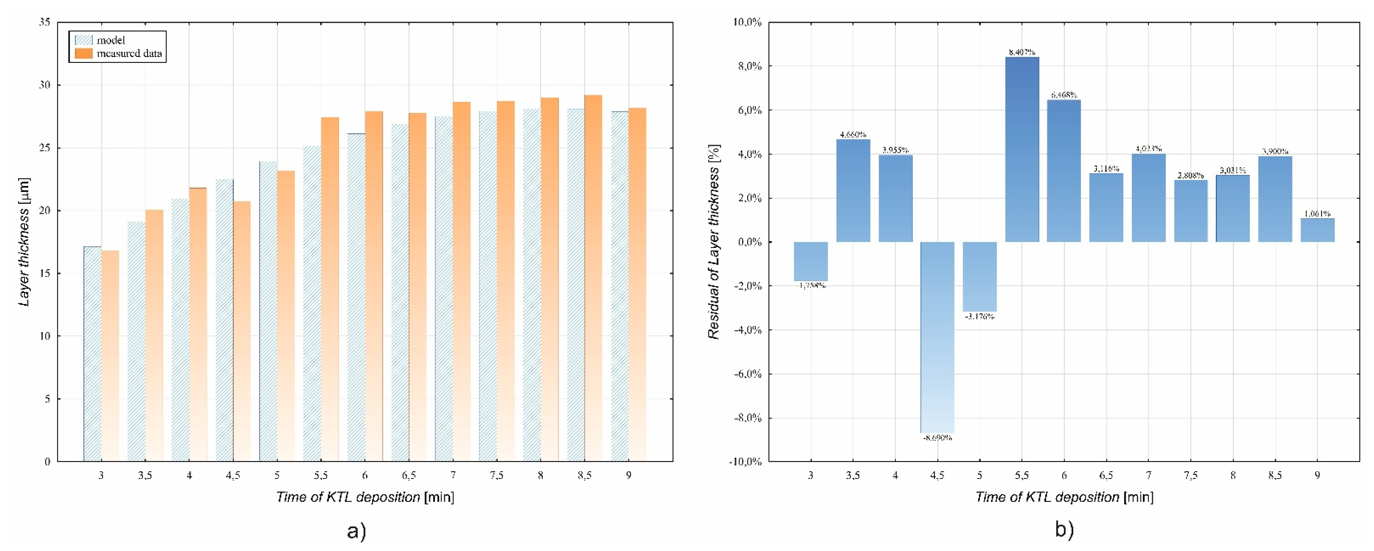
3. Results and Discussion
4. Conclusions
Author Contributions
Funding
Institutional Review Board Statement
Informed Consent Statement
Data Availability Statement
Acknowledgments
Conflicts of Interest
References
- Brüggemann, M.; Rach, A. Electrocoat; Vincentz Verlag: Hannover, Germany, 2020. [Google Scholar]
- Goldschmidt, A.; Streitberger, H.J. BASF-Handbuch: Lackiertechnik; Vincentz Verlag: Hannover, Germany, 2002. [Google Scholar]
- Brock, T.; Groteklaes, M.; Mischke, P. European Coatings Handbook, 2nd ed.; Vincentz Verlag: Hannover, Germany, 2010. [Google Scholar]
- Akafuah, N.K.; Poozesh, S.; Salaimeh, A.; Patrick, G.; Lawler, K.; Saito, K. Evolution of the Automotive Body Coating Process-A Review. Coatings 2016, 6, 24. [Google Scholar] [CrossRef]
- Skotnicki, W.; Jedrzejczyk, D. The comparative analysis of the coatings deposited on the automotive parts by the cataphoresis method. Materials 2021, 14, 6155. [Google Scholar] [CrossRef] [PubMed]
- Mazeran, P.E.; Arvieu, M.F.; Bigerelle, M.; Delalande, S. Torsion delamination test, a new method to quantify the adhesion of coating: Application to car coatings. Prog. Org. Coat. 2017, 110, 134–139. [Google Scholar] [CrossRef]
- Romano, A.P.; Olivier, M.G.; Vandermiers, C.; Poelman, M. Influence of the curing temperature of a cataphoretic coating on the development of filiform corrosion of aluminium. Prog. Org. Coat. 2006, 57, 400–407. [Google Scholar] [CrossRef]
- Miskovic-Stankovic, V.B.; Stanic, M.R.; Drazic, D.M. Corrosion protection of aluminium by a cataphoretic epoxy coating. Prog. Org. Coat. 1999, 36, 53–63. [Google Scholar] [CrossRef]
- Olivier, M.G.; Poelman, M.; Demuynck, M.; Petitjean, J.P. EIS evaluation of the filiform corrosion of aluminium coated by a cataphoretic paint. Prog. Org. Coat. 2005, 52, 263–270. [Google Scholar] [CrossRef]
- Rossi, S.; Calovi, M.; Fedel, M. Corrosion protection of aluminum foams by cataphoretic deposition of organic coatings. Prog. Org. Coat. 2017, 109, 144–151. [Google Scholar] [CrossRef]
- Poulain, V.; Petitjean, J.P.; Dumont, E.; Dugnoille, B. Pretreatments and filiform corrosion resistance of cataphoretic painted aluminium characterization by EIS and spectroscopic ellipsometry. Electrochim. Acta 1996, 41, 1223–1231. [Google Scholar] [CrossRef]
- Almeida, E.; Alves, I.; Brites, C.; Fedrizzi, L. Cataphoretic and autophoretic automotive primers: A comparative study. Prog. Org. Coat. 2003, 46, 8–20. [Google Scholar] [CrossRef]
- Deflorian, F.; Rossi, S.; Prosseda, S. Improvement of corrosion protection system for aluminium body bus used in public transportation. Mater. Des. 2006, 27, 758–769. [Google Scholar] [CrossRef]
- Su, Y.; Zhitomirsky, I. Cataphoretic assembly of cationic dyes and deposition of carbon nanotube and graphene films. J. Colloid Interface Sci. 2013, 399, 46–53. [Google Scholar] [CrossRef] [PubMed]
- Rudawska, A.; Wahab, M.A. The effect of cataphoretic and powder coatings on the strength and failure modes of EN AW-5754 aluminium alloy adhesive joints. Int. J. Adhes. Adhes. 2019, 89, 40–50. [Google Scholar] [CrossRef]
- Calovi, M.; Dire, S.; Ceccato, R.; Deflorian, F.; Rossi, S. Corrosion protection properties of functionalised graphene–acrylate coatings produced via cataphoretic deposition. Prog. Org. Coat. 2019, 136, 105261. [Google Scholar] [CrossRef]
- Rossi, S.; Calovi, M. Addition of graphene oxide plates in cataphoretic deposited organic coatings. Prog. Org. Coat. 2018, 125, 40–47. [Google Scholar] [CrossRef]
- Zanella, C.; Fedel, M.; Deflorian, F. Correlation between electrophoretic clearcoats properties and electrochemical character-istics of noble substrates. Prog. Org. Coat. 2012, 74, 349–355. [Google Scholar] [CrossRef]
- Fedel, M.; Druart, M.E.; Olivier, M.; Poelman, M.; Deflorian, F.; Rossi, S. Compatibility between cataphoretic electro-coating and silane surface layer for the corrosion protection of galvanized steel. Prog. Org. Coat. 2010, 69, 118–125. [Google Scholar] [CrossRef]
- Romano, A.P.; Fedel, M.; Deflorian, F.; Olivier, M.G. Silane sol-gel film as pretreatment for improvement of barrier properties and filiform corrosion resistance of 6016 aluminium alloy covered by cataphoretic coating. Prog. Org. Coat. 2011, 72, 695–702. [Google Scholar] [CrossRef]
- Manas, D.; Manas, M.; Gajzlerova, L.; Ovsik, M.; Kratky, P.; Senkerik, V.; Skrobak, A.; Danek, M.; Manas, M. Effect of low doses beta irradiation on micromechanical properties of surface layer of injection molded polypropylene composite. Radiat. Phys. Chem. 2015, 114, 25–30. [Google Scholar] [CrossRef]
- Mishra, R.; Behera, B.K.; Muller, M.; Petru, M. Finite element modeling based thermodynamic simulation of aerogel embedded nonwoven thermal insulation material. Int. J. Therm. Sci. 2021, 164, 106898. [Google Scholar] [CrossRef]
- Botko, F.; Hatala, M.; Beraxa, P.; Duplak, J.; Zajac, J. Determination of CVD Coating Thickness for Shaped Surface Tool. TEM J. Technol. Educ. Manag. Inform. 2018, 7, 428–432. [Google Scholar] [CrossRef]
- Jurko, J.; Panda, A.; Gajdos, M.; Zaborowski, T. Verification of Cutting Zone Machinability during the Turning of a New Austenitic Stainless Steel. Adv. Comput. Sci. Educ. Appl. 2011, 202, 338. [Google Scholar]
- Behalek, L.; Novak, J.; Brdlik, P.; Boruvka, M.; Habr, J.; Lenfeld, P. Physical Properties and Non-Isothermal Crystallisation Kinetics of Primary Mechanically Recycled Poly(l-lactic acid) and Poly(3-hydroxybutyrate-co-3-hydroxyvalerate). Polymers 2021, 13, 3396. [Google Scholar] [CrossRef] [PubMed]
- Svetlik, J.; Malega, P.; Rudy, V.; Rusnak, J.; Kovac, J. Application of Innovative Methods of Predictive Control in Projects Involving Intelligent Steel Processing Production Systems. Materials 2021, 14, 1641. [Google Scholar] [CrossRef] [PubMed]
- Milosevic, M.; Cep, R.; Cepova, L.; Lukic, D.; Antic, A.; Djurdjev, M. A Hybrid Grey Wolf Optimizer for Process Planning Optimization with Precedence Constraints. Materials 2021, 14, 7360. [Google Scholar] [CrossRef] [PubMed]
- Nova, I.; Frana, K.; Solfronk, P.; Sobotka, J.; Korecek, D.; Svec, M. Characteristics of Porous Aluminium Materials Produced by Pressing Sodium Chloride into Their Melts. Materials 2021, 14, 4809. [Google Scholar] [CrossRef]
- Baron, P.; Kocisko, M.; Blasko, L.; Szentivanyi, P. Verification of the operating condition of stationary industrial gearbox through analysis of dynamic signal, measured on the pinion bearing housing. Measurement 2017, 96, 24–33. [Google Scholar] [CrossRef]
- Panda, A.; Duplak, J.; Jurko, J.; Behun, M. New experimental expression of durability dependence for ceramic cutting tool. Appl. Mech. Mater. 2013, 275–277, 2230–2236. [Google Scholar] [CrossRef]
- Cuha, D.; Hatala, M. Effect of a modified impact angle of an ultrasonically generated pulsating water jet on aluminum alloy erosion using upward and downward stair trajectory. Wear 2022, 500, 204369. [Google Scholar] [CrossRef]
- Bukovska, S.; Moravec, J.; Solfronk, P.; Pekarek, M. Assessment of the Effect of Residual Stresses Arising in the HAZ of Welds on the Fatigue Life of S700MC Steel. Metals 2022, 12, 1890. [Google Scholar] [CrossRef]
- Kamble, Z.; Mishra, R.K.; Behera, B.K.; Tichy, M.; Kolar, V.; Muller, M. Design, Development, and Characterization of Advanced Textile Structural Hollow Composites. Polymers 2021, 13, 3535. [Google Scholar] [CrossRef]









| Factor Code | Factor | Unit | Factor Level | ||||
|---|---|---|---|---|---|---|---|
| −2 | −1 | 0 | +1 | +2 | |||
| x1 | UKTL | V | 200 | 220 | 240 | 260 | 280 |
| x2 | tKTL | min | 3.0 | 4.5 | 6.0 | 7.5 | 9.0 |
| x3 | tpol | min | 15 | 20 | 25 | ||
| Source | df | SS | MS | F | p |
|---|---|---|---|---|---|
| Model | 5 | 3956.890 | 791.378 | 58.5323 | <0.0001 * |
| Error | 144 | 1946.932 | 13.52 | ||
| C. Total | 149 | 5903.821 |
| Source | df | SS | MS | F | p |
|---|---|---|---|---|---|
| Lack Of Fit | 3 | 283.9322 | 94.6441 | 8.0245 | 0.1853 |
| Pure Error | 141 | 1663.000 | 11.7943 | ||
| Total Error | 144 | 1946.932 |
| Term | Estimate | Std Error | t | p | −95% CI | +95% CI |
|---|---|---|---|---|---|---|
| Intercept | 26.114 | 0.567 | 46.030 | <0.0001 * | 24.993 | 27.236 |
| x1 | 3.170 | 0.274 | 11.560 | <0.0001 * | 2.628 | 3.711 |
| x2 | 2.686 | 0.274 | 9.800 | <0.0001 * | 2.144 | 3.227 |
| x1·x2 | 3.286 | 0.475 | 6.920 | <0.0001 * | 2.347 | 4.224 |
| x1·x1 | −0.474 | 0.233 | −2.030 | 0.0439 * | −0.934 | −0.013 |
| x2·x2 | −0.902 | 0.233 | −3.870 | 0.0002 * | −1.362 | −0.441 |
Disclaimer/Publisher’s Note: The statements, opinions and data contained in all publications are solely those of the individual author(s) and contributor(s) and not of MDPI and/or the editor(s). MDPI and/or the editor(s) disclaim responsibility for any injury to people or property resulting from any ideas, methods, instructions or products referred to in the content. |
© 2023 by the authors. Licensee MDPI, Basel, Switzerland. This article is an open access article distributed under the terms and conditions of the Creative Commons Attribution (CC BY) license (https://creativecommons.org/licenses/by/4.0/).
Share and Cite
Dobránsky, J.; Gombár, M.; Fejko, P.; Balint Bali, R. A Determination of the Influence of Technological Parameters on the Quality of the Created Layer in the Process of Cataphoretic Coating. Metals 2023, 13, 1080. https://doi.org/10.3390/met13061080
Dobránsky J, Gombár M, Fejko P, Balint Bali R. A Determination of the Influence of Technological Parameters on the Quality of the Created Layer in the Process of Cataphoretic Coating. Metals. 2023; 13(6):1080. https://doi.org/10.3390/met13061080
Chicago/Turabian StyleDobránsky, Jozef, Miroslav Gombár, Patrik Fejko, and Róbert Balint Bali. 2023. "A Determination of the Influence of Technological Parameters on the Quality of the Created Layer in the Process of Cataphoretic Coating" Metals 13, no. 6: 1080. https://doi.org/10.3390/met13061080
APA StyleDobránsky, J., Gombár, M., Fejko, P., & Balint Bali, R. (2023). A Determination of the Influence of Technological Parameters on the Quality of the Created Layer in the Process of Cataphoretic Coating. Metals, 13(6), 1080. https://doi.org/10.3390/met13061080

