Cracking Behavior and High-Temperature Thermoplastic Analysis of 09CrCuSb Steel Billets
Abstract
:1. Introduction
2. Materials and Experimental Procedure
3. Results
3.1. Crack Morphology and Elemental Analysis of 09CrCuSb Continuous Casting Billet
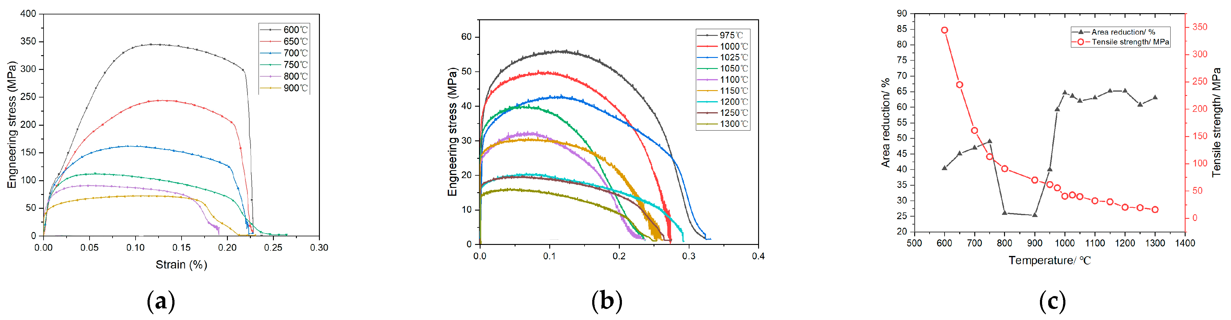
3.2. High-Temperature Thermo-Plasticity of 09CrCuSb Steel
3.3. Microstructure Deviation and Elements Segregation near Cracks in 09CrCuSb Steel during the High-Temperature Tensile Process
4. Discussion
5. Conclusions
Author Contributions
Funding
Institutional Review Board Statement
Informed Consent Statement
Data Availability Statement
Acknowledgments
Conflicts of Interest
References
- Cai, H. Application of 09CrCuSb Steel in Boiler Manufacturing. Ind. Boil. 2005, 5, 22–25. [Google Scholar]
- Ling, L.; Xu, X.; Fu, H. Welding Practice of 09CrCuSb Sulfuric Acid Dew Point Corrosion Resistant Steel. Medium Nitrogen Fertil. 2011, 2. [Google Scholar]
- NB/T47019-2021; Technical Conditions for Ordering Pipes for Boilers and Heat Exchangers. National Energy Administration of China: Beijing, China, 2021.
- Zuo, W.; Zhang, X.; Li, Y. Review of flue gas acid dew-point and related low temperature corrosion. J. Energy Inst. 2020, 93, 1666–1677. [Google Scholar] [CrossRef]
- Zeng, Y.; Li, K.; Hughes, R.; Luo, J.-L. Corrosion mechanisms and materials selection for the construction of flue gas component in advanced heat and power systems. Ind. Eng. Chem. Res. 2017, 56, 14141–14154. [Google Scholar] [CrossRef]
- Chen, Z.; Wang, Q.; Cai, Y.; Wang, Z. Analysis on the Formation Mechanism of Surface Cracks on 09CrCuSb Billets. Mod. Transp. Metall. Mater. 2021, 1, 83–87. [Google Scholar]
- Yu, H.; Wang, Y.; Zhang, J.; Yang, S.; Liu, X. Review on the Causes of Surface Cracks in Continuous Casting Billets and Their Evolutionary Behavior during Rolling Process. Forg. Stamp. Technol. 2010, 2, 1–5. [Google Scholar]
- Ito, K.; Tanaka, Y.; Sawada, H. Application of Grain Boundary Segregation Prediction Using a Nano-Polycrystalline Grain Boundary Model to Transition Metal Solute Elements: Prediction of Grain Boundary Segregation of Mn and Cr in bcc-Fe Polycrystals. Mater. Trans. 2022, 63, 269–277. [Google Scholar] [CrossRef]
- Han, J.P.; Li, Y.; Jiang, Z.H.; Yang, Y.C.; Wang, X.X.; Wang, L.; Li, K.T. Summary of the Function of Sn in Iron and Steel. In Advanced Materials Research; Trans Tech Publications Ltd.: Bäch, Switzerland, 2013; pp. 406–411. [Google Scholar]
- Hu, H.; Zhu, L.; Sun, L.; Zhou, J. Mechanism and Preventive Measures of Corner Cracks in 09CrCuSb Steel Continuous Casting Billets. Shanghai Met. 2020, 42, 7. [Google Scholar]
- Chen, Y.; Ji, C.; Zhu, M. Prediction Model of the Proeutectoid Ferrite Growth of a Continuous Casting Slab. Metall. Mater. Trans. 2023, 54, 1101–1115. [Google Scholar] [CrossRef]
- Wei, F.; Cheng, B.; Chew, L.T.; Lee, J.J.; Cheong, K.H.; Wu, J.; Zhu, Q.; Tan, C.C. Grain distribution characteristics and effect of diverse size distribution on the Hall–Petch relationship for additively manufactured metal alloys. J. Mater. Res. Technol. 2022, 20, 4130–4136. [Google Scholar] [CrossRef]
- Cao, J.; Dong, J.; Saglik, K.; Zhang, D.; Solco, S.F.D.; You, I.J.W.J.; Liu, H.; Zhu, Q.; Xu, J.; Wu, J. Non-equilibrium strategy for enhancing thermoelectric properties and improving stability of AgSbTe2. Nano Energy 2023, 107, 108118. [Google Scholar] [CrossRef]
- Zhou, J.; Zhu, L.; Sun, L.; Wang, B.; Xiao, P. Analysis of the Formation Mechanism of Surface Cracks of Continuous Casting Slabs Caused by Mold Wear. Processes 2022, 10, 797. [Google Scholar] [CrossRef]
- Al-Asad, M.; Alam, M.N.; Tunç, C.; Sarker, M. Heat Transport Exploration of Free Convection Flow inside Enclosure Having Vertical Wavy Walls. J. Appl. Comput. Mech. 2021, 7, 520–527. [Google Scholar]
- Akinshilo, A.; Davodi, A.; Rezazadeh, H.; Sobamowo, G.; Tunç, C. Heat Transfer and Flow of Mhd Micropolarnanofluid through the Porous Walls, Magnetic Fields and Thermal Radiaton. Palest. J. Math. 2022, 11, 604–616. [Google Scholar]
- Lu, T. Analysis on the Causes of Surface Cracks in 09CrCuSb Billets and Improvement Measures; Anhui University of Technology: Ma’anshan, China, 2016. [Google Scholar]
- Huang, X. The Effect of Grain Boundary Segregation of Residual Elements As, Sn, Sb on the Thermoplasticity of Continuous Casting Steel; Wuhan University of Science and Technology: Wuhan, China, 2006. [Google Scholar]
- Hu, H.; Zhu, L.; Sun, L.; Zhou, J. High Temperature Mechanical Properties of 09CrCuSb Steel Continuous Casting Billets. Iron Steel Vanadium Titan. 2020, 41, 132–136. [Google Scholar]
- Mintz, B. The influence of composition on the hot ductility of steels and to the problem of transverse cracking. ISIJ Int. 1999, 39, 833–855. [Google Scholar] [CrossRef]
- Chen, D.; Huang, L.; Wang, Y.; Wen, L.; Feng, K.; Liu, Q.; Han, Z. Experimental Study on High Temperature Plastic Modulus of Q345 Steel. In Proceedings of the 2006 National Metallurgical Physical Chemistry Academic Conference of China, Jinan, China, 29–30 December 2006. [Google Scholar]
- Zener, C.; Hollomon, J.H. Effect of strain rate upon plastic flow of steel. J. Appl. Phys. 1944, 15, 22–32. [Google Scholar] [CrossRef]
- Meyers, M.A.; Chawla, K.K. Mechanical Behavior of Materials; Cambridge University Press: Cambridge, UK, 2008. [Google Scholar]
- Anelli, E. Application of mathematical modelling to hot rolling and controlled cooling of wire rods and bars. ISIJ Int. 1992, 32, 440–449. [Google Scholar] [CrossRef]
- Yang, Z.; Wang, K.; Sun, X.; Da, G. Morphology of grain boundary ferrite and grain boundary cracks in niobium titanium microalloyed steel billets. Iron Steel 2018, 53, 10. [Google Scholar]
- Li, J.; Sun, F. The Effect of Austenitic Deformation on the Incubation Period of Isothermal Formation of Pre eutectoid Ferrite. Acta Metall. Sin. 1990, 4, 161–164. [Google Scholar]
- NB/T47019-2011; Technical Conditions for Ordering Pipes for Boilers and Heat Exchangers. National Energy Administration of China: Beijing, China, 2011.
- Liu, M.; Li, Y.; Cui, Z.; Yang, Q. High ductility of spray formed low density TRIP steel with the improvement of δ-ferrite matrix. Mater. Charact. 2019, 156, 109828. [Google Scholar] [CrossRef]
- Shao, Y.; Liu, C.; Yan, Z.; Li, H.; Liu, Y. Formation mechanism and control methods of acicular ferrite in HSLA steels: A review. J. Mater. Sci. Technol. 2018, 34, 737–744. [Google Scholar] [CrossRef]
- Equihua-Guillén, F.; Salinas-Rodriguez, A. Role of the austenite-ferrite transformation start temperature on the high-temperature ductility of electrical steels. J. Mater. Eng. Perform. 2011, 20, 102–107. [Google Scholar] [CrossRef]
- Ghosh, C.; Aranas, C., Jr.; Jonas, J.J. Dynamic transformation of deformed austenite at temperatures above the Ae3. Prog. Mater. Sci. 2016, 82, 151–233. [Google Scholar] [CrossRef]
- Toloui, M.; Militzer, M. Phase field modeling of the simultaneous formation of bainite and ferrite in TRIP steel. Acta Mater. 2018, 144, 786–800. [Google Scholar] [CrossRef]
- Maubane, D.R.N.; Mostert, R.J.; Banks, K.M. Re-Austenitisation of Thin Ferrite Films in C–Mn Steels during Thermal Rebound at Continuously Cast Slab Corner Surfaces. Metals 2022, 12, 2155. [Google Scholar] [CrossRef]
- Aaronson, H.; Reynolds, W.; Purdy, G. Coupled-solute drag effects on ferrite formation in Fe-CX systems. Metall. Mater. Trans. A 2004, 35, 1187–1210. [Google Scholar] [CrossRef]
- Kwok, T.; Dye, D. A review of the processing, microstructure and property relationships in medium Mn steels. Int. Mater. Rev. 2023, 1–37. [Google Scholar] [CrossRef]
- Yin, J.; Hillert, M.; Borgenstam, A. Morphology of proeutectoid ferrite. Metall. Mater. Trans. A 2017, 48, 1425–1443. [Google Scholar] [CrossRef]
- Li, F.; Tian, J.; Li, H.; Deineko, L.; Jiang, Z. Simultaneously Enhancing Strength, Ductility and Corrosion Resistance of a Martensitic Stainless Steel via Substituting Carbon by Nitrogen. Acta Metall. Sin. (Engl. Lett.) 2023, 36, 705–716. [Google Scholar] [CrossRef]
- Liu, F.; Kang, C.; Qian, R.; Jiang, Z.; Geng, X.; Li, H. Effect of Tempering Temperature on Microstructure and Properties of a New Type of Nitrogen—Containing Hot-Work Die Steel 3Cr7Mo2NiSiVN. Steel Res. Int. 2022, 93, 2200013. [Google Scholar] [CrossRef]
- Yang, Y.; Jia, X.; Ma, Y.; Wang, P.; Zhu, F.; Yang, H.; Wang, C.; Wang, S. Effect of Nb on microstructure and mechanical properties between base metal and high heat input coarse-grain HAZ in a Ti-deoxidized low carbon high strength steel. J. Mater. Res. Technol. 2022, 18, 2399–2412. [Google Scholar] [CrossRef]
- Anthony, T.R. Solute segregation in vacancy gradients generated by sintering and temperature changes. Acta Metall. 1969, 17, 603–609. [Google Scholar] [CrossRef]
- Yang, S.; Ma, J.; Chen, C.; Zhang, C.; Ren, J.; Jiang, Z.; Fan, G.; Han, P. Effects of B and Ce Grain Boundary Segregation on Precipitates in Super Austenitic Stainless Steel. Metals 2023, 13, 326. [Google Scholar] [CrossRef]
- Xu, T. Non-equilibrium grain-boundary segregation kinetics. J. Mater. Sci. 1987, 22, 337–345. [Google Scholar] [CrossRef]
- Li, Q.; Li, L.; Zheng, L.; Liu, E.; Guo, J.; Shanglin, Y. Non-equilibrium grain boundary segregation kinetics of phosphorus in 12Cr1MoV steel at different solution temperatures. J. Mater. Sci. 2004, 39, 6551–6554. [Google Scholar]
- Salje, G.; Feller-Kniepmeier, M. The diffusion and solubility of copper in iron. J. Appl. Phys. 1977, 48, 1833–1839. [Google Scholar] [CrossRef]
- Babapour, A.; Hosseinipour, S.J.; Jamaati, R.; Abbasi, M. Effect of Sb and Initial Annealing on the Microstructure, Texture, and Magnetic Behavior of Low Silicon Steel Produced by Single-Roll Drive Rolling. Met. Mater. Int. 2022, 29, 1815–1824. [Google Scholar] [CrossRef]
- Chen, C.; Zhou, J.; Yu, J.; Ju, J.; Zhang, Y.; Wang, J.; Fan, B. Interfacial microstructures and infiltrated cracks in tin bronze/steel bimetallic materials fabricated by arc cladding. J. Mater. Sci. 2023, 58, 4679–4693. [Google Scholar] [CrossRef]









| 09CrCuSb | C% | P% | S% | Cu% | Cr% |
| 0.06 | 0.009 | 0.003 | 0.45 | 0.95 | |
| Sn% | Sb% | W% | Ni% | Ceq% | |
| 0.13 | 0.192 | 0.183 | 0.24 | 0.42 |
Disclaimer/Publisher’s Note: The statements, opinions and data contained in all publications are solely those of the individual author(s) and contributor(s) and not of MDPI and/or the editor(s). MDPI and/or the editor(s) disclaim responsibility for any injury to people or property resulting from any ideas, methods, instructions or products referred to in the content. |
© 2023 by the authors. Licensee MDPI, Basel, Switzerland. This article is an open access article distributed under the terms and conditions of the Creative Commons Attribution (CC BY) license (https://creativecommons.org/licenses/by/4.0/).
Share and Cite
Peng, Z.; Mei, T.; Zheng, J.; Yuan, Y.; Wang, L. Cracking Behavior and High-Temperature Thermoplastic Analysis of 09CrCuSb Steel Billets. Metals 2023, 13, 1058. https://doi.org/10.3390/met13061058
Peng Z, Mei T, Zheng J, Yuan Y, Wang L. Cracking Behavior and High-Temperature Thermoplastic Analysis of 09CrCuSb Steel Billets. Metals. 2023; 13(6):1058. https://doi.org/10.3390/met13061058
Chicago/Turabian StylePeng, Zhixian, Tao Mei, Jian Zheng, Yuan Yuan, and Liwang Wang. 2023. "Cracking Behavior and High-Temperature Thermoplastic Analysis of 09CrCuSb Steel Billets" Metals 13, no. 6: 1058. https://doi.org/10.3390/met13061058
APA StylePeng, Z., Mei, T., Zheng, J., Yuan, Y., & Wang, L. (2023). Cracking Behavior and High-Temperature Thermoplastic Analysis of 09CrCuSb Steel Billets. Metals, 13(6), 1058. https://doi.org/10.3390/met13061058
