Abstract
The mechanical properties of Cu alloyed steels are influenced significantly by the Cu content and the respective state of Cu precipitations as well as the C content. In this context, the effect of an increased C content on the fatigue crack initiation and growth of differently aged Cu alloyed steels with 0.005 (X0.5CuNi2-2: X0.5) and 0.21 wt.-% C (X21CuNi2-2: X21) was investigated in this study. Notched specimens were examined via SEM in interrupted fatigue tests to detect the location of crack initiation and growth. The results showed that fatigue crack initiation and growth occurred for both steels at grain boundaries, and within ferrite grains. However, a higher C content increased the incidence of crack initiation and growth at grain boundaries. This is caused by the smaller grains of X21 and especially by the presence of cementite on the grain boundaries. This explains why, in contrast to X0.5, no influence of the Cu precipitation state on the defect-based failure was observed for X21, as the precipitates are located within the ferrite grains and, thus, only have a minor impact on the fatigue failure mechanisms of X21.
1. Introduction
A detailed knowledge of the material’s fatigue behavior, including the microstructural mechanisms leading to the initiation and growth of fatigue cracks, is a prerequisite for a safe and reliable design of structural metallic components subjected to cyclic loads. Fatigue cracks initiate as a result of localized plastic deformation due to locally increased stresses during cyclic loading [1]. The microstructural mechanisms that lead to crack initiation depend on the material and the load amplitude. While in the case of metals with a low strength fatigue crack initiation at slip bands and grain boundaries dominates, for high strength metals fatigue crack initiation occurs oftentimes at microstructural defects or imperfections [1,2,3,4,5]. Moreover, Chan et al. [1,6] showed that for Ni200 (99.35 wt.-% Ni, 0.4 wt.-% Fe, and 0,25 wt.-% Cu) the proportion of crack initiation at grain boundaries increases with increasing load amplitude, while for low load amplitudes failure was initiated at slip bands [1,6].
The C content of steels has a significant effect on the microstructure and, thus, the fatigue behavior, the fatigue crack initiation and growth. Regarding the cyclic deformation behavior, Eifler et al. demonstrated that for normalized plain C steels up to a C content of 0.45 wt.-% the cyclic plastic deformation occurs almost entirely in ferrite grains, while for higher C contents, plastic deformation is also detected within the ferrite of the pearlite [7]. In the studies by Pilo Gonzalez [8], the influence of C content on the fatigue crack initiation of C22E (SAE 1022), C70E (SAE 1070) and C80E (SAE 1080) was analyzed using notched specimens with a stress concentration factor αK = 1.5. In the case of the mainly ferritic steel C22E, decreasing the stress amplitude changes the location of fatigue crack initiation from grain boundaries and slip bands to mainly slip bands located in the ferrite grains [8]. This is confirmed by further investigations of ferritic-pearlitic steels with 0.4 wt.-% C [9] and 0.45 wt.-% C [10]. The mainly pearlitic C70E and the fully pearlitic C80, show fatigue crack initiation for high stress amplitudes at grain boundaries and for low stress amplitudes within the ferrite grains or the ferrite lamellas of the pearlite [8].
Besides crack initiation, the C content and the pearlite fraction influence the fatigue crack growth. Tokaji et al. [10] demonstrated that in the ferritic-pearlitic steel S45C (SAE 1045) the short crack growth occurs preferentially in the ferrite, while the pearlite decelerates the growth rate in dependence of the cementite lamella orientation. This observation is confirmed by investigations of 0.4 wt.-% C steels conducted by Rios et al. [9], who further observed that cracks stopped at grain boundaries acting as a barrier. Moreover, Tokaji and Ogawa [11] showed that in the mainly ferritic steel S10C (SAE 1010) the fatigue crack growth rate decreases at ferrite grain boundaries and at triple points of grain boundaries, leading to a decreasing crack growth for smaller grain sizes.
Apart from the formation as cementite lamellas in the pearlitic transformation, cementite can also precipitate transgranularly, i.e., within ferrite grains, and intergranularly, i.e., on grain boundaries [12,13]. The possible amount of cementite segregated on grain boundaries depends on the C content. For steels with a C content up to the maximum solubility in ferrite, which is 0.02 wt.-% C at 735 °C, Grabke [14] calculated a maximum concentration of 55 ppm C on grain boundaries. In the case of steels with higher C contents, the C concentration is determined for slow cooling by the equilibrium with cementite in the phase diagram and is, therefore, relatively high in the critical temperature range slightly below the eutectoid temperature [14]. In monotonic loading, steels with intergranular cementite exhibit cracking of the cementite plates at the grain boundaries, which was reported by Lindley et al. [15] (0.18 wt.-% C) and Koyama et al. [13] (0.017 wt.-% C). In addition to that, Koyama et al. showed that in the case of cyclic loading, relatively high stress amplitudes lead to cracking of the interface between ferrite and intergranular cementite [13]. However, as shown by Xi et al. [16] for steels with 0.017 wt.-% C, inter- and transgranular cementite can also act as obstacles for fatigue cracks.
Cu is another alloying element which can have a significant effect on the mechanical behavior of steels. Applying a suitable aging heat treatment to Cu alloyed steels leads to the formation of Cu precipitates [17,18,19], which increase the hardness as well as the monotonic and fatigue strength in dependence of the respective precipitation state [20,21,22,23]. Moreover, McGrath et al. [24] showed that in an Fe-1.5 wt.-% Cu alloy a decreasing precipitation size leads to more pronounced cyclic hardening in the Low Cycle Fatigue (LCF) regime [24]. Fournelle et al. [25] also found an influence of Cu precipitates on the cyclic hardening behavior of a quenched and differently aged steel (0.3 wt.-% C, 4 wt.-% Ni, 1 wt.-% Al, and 1 wt.-% Cu): LCF loading of the variants without Cu precipitates leads to pure cyclic softening, whereas the presence of Cu precipitates induces initial cyclic hardening, followed by cyclic softening. Additionally, a higher fatigue strength was observed by Fournelle et al. [25] due to Cu precipitation strengthening, which is confirmed by Yokoi et al. [26] in investigations of two ultra-low C steels (0.002 wt.-% C,0.2% Mn and 0.002 wt.-% C, 0.2% Mn, 1.5 wt.-% Cu).
For the steels investigated in the presented work, i.e., X0.5CuNi2-2 (X0.5) and X21CuNi2-2 (X21), the influence of different aging times on the Cu precipitation state was analyzed in detail [27,28]. In these previous works, 3D atom probe tomography (3DAPT) revealed similar precipitation kinetics for X0.5 and X21, but slightly different precipitation states at similar aging times, caused by different C contents. Depending on the respective aging time and C content, average Cu precipitation sizes between 1.9 and 4.8 nm and number densities between 4.0 × 1022 and 1.2 × 1023 m−3 were detected. Note that among these sizes the lattice structure of the Cu precipitates can be expected to change, as shown by Shen et al. [28]. Furthermore, these investigations showed that cyclic indentation tests can identify different precipitation states of Cu with high sensitivity based on microhardness and the cyclic hardening exponentCHT eII. Moreover, the mechanical properties, and especially the fatigue behavior was characterized extensively in [21,27,28,29] and showed a strong influence of the Cu precipitation state, correlating with the hardness and eII. Tensile and fatigue tests demonstrated that precipitation hardening by Cu increases the monotonic and fatigue strength of both X0.5 and X21 in dependence of the Cu precipitation state. While X21 has a higher tensile strength than X0.5, the fatigue strengths of both steels are comparable. This can be associated with the higher cyclic hardening potential of X0.5, which was determined in cyclic indentation tests and can be quantified by the cyclic hardening exponentCHT eII [21,27]. In addition, the formation of Cu precipitates influences the defect tolerance of X0.5. Aging for 2400 s leads to an increased defect tolerance in relation to an aging time of 120 s. This increase in defect tolerance correlates with an increasing cyclic hardening potential, i.e., an increase in |eII|. In contrast, aging X21 for 120 s and 2400 s, respectively, results in a similar defect tolerance despite a significantly different cyclic hardening potential. Consequently, Cu precipitation hardening influences the defect tolerance of X0.5, whereas no influence is found in the case of X21 [29]. A possible explanation for the latter observation is that fatigue crack initiation and growth differ between X0.5 and X21 in the case of defect-based failure. To prove this assumption, in the presented work, the fatigue crack initiation and crack growth in X0.5 and X21 was monitored by Scanning Electron Microscopy (SEM) in interrupted fatigue tests at notched specimens. The analyses of these tests focused on the influence of the different C content on the failure mechanisms.
2. Materials and Methods
The Cu-alloyed steels X0.5CuNi2-2 (X0.5) and X21CuNi2-2 (X21) were produced as laboratory-melts at the Steel Institute (IEHK) of the RWTH Aachen (Aachen, Germany), with the chemical composition given in Table 1. The specimens used in this study were manufactured from the only elastically loaded shafts of round fatigue specimens, which failed in their gauge section during fatigue tests described in [21,29]. Due to fully elastic deformation of the clamping shafts, no load-induced changes can be assumed and, thus, these shafts are in the initial material condition. These round fatigue specimens were produced from cylindrical bars with a diameter of 12 mm and a length of 140 mm. The heat treatment of the cylindrical bars was as follows: austenitization for 13 min at 900 °C in a salt bath, quenching to 550 °C in a salt bath and aging for 120 s and 2400 s, respectively, followed by final quenching in water to ambient temperature. The resulting microstructure of X0.5 is entirely ferritic and in the case of X21 ferritic–pearlitic with 7–8 area % pearlite. In addition, as indicated in Table 2, X21 reveals a smaller grain size compared to X0.5 [21]. More detailed descriptions of the production process and the microstructure are given in [21,26].
Table 1.
Chemical composition of the investigated steels X0.5 and X21 in wt.-%; data from [21,28].
Table 2.
ASTM grain size, Vickers hardness HV10 [30], cyclic hardening exponentCHT |eII|, lower yield strength Rel and ultimate tensile strength Rm [21] of the investigated steel variants; data from [21,30].
The values of Vickers hardness, cyclic hardening exponentCHT |eII|, lower yield strength Rel, ultimate tensile strength Rm and the ratio Rm/Rel, which indicates the strain hardening in tensile tests, are given in Table 2 for all heat treatment conditions. Increasing the aging time from 120 s to 2400 s leads to the same HV10 but significantly increased |eII|, Rel and Rm. In addition, the variants of X21 have a higher hardness, lower |eII| and increased quasi-static strength compared to X0.5, which can be explained by the higher C content and the additional amount of pearlite [21]. Note that the strain hardening does not correspond to the cyclic hardening potential detected in CIT as already discussed in [21] since the loading conditions, i.e., monotonic tension and multiaxial cyclic compression, are substantially different.
The flat specimens used in this study had a notch to generate a sufficiently high stress concentration, which restricts the crack initiation and propagation to a limited area. At the same time, the notch should be flat enough for investigation in the SEM and obtaining a sufficiently large number of crack initiation sites, including all relevant constituents of the microstructure, i.e., in the case of X21 ferrite and pearlite grains. Based on this, the geometry depicted in Figure 1 with a notch radius of 2 mm was chosen. After machining, the specimens were polished manually in the notch to avoid the influence of surface roughness on crack initiation.
Figure 1.
Geometry of notched specimens.
To determine the stress concentration factor and the resulting stress distribution, a linear elastic FEM (finite element method) simulation was conducted with Abaqus FEA. In this simulation, the specimen was loaded with a nominal tensile stress of 342 MPa. This load leads to a maximum notch stress σk,max of 545 MPa. Therefore, based on the simulation αk, i.e., the ratio of maximum to nominal stress, is 1.59. As illustrated in Figure 2a, the maximum stress occurs at the surface of the notch root, being highest in its center (see Figure 2b). To evaluate the area of the notch root that undergoes a similarly high stress concentration, the sections with stresses of at least 99% of σk,max were determined (Figure 2b,c). These stresses occur for 2.06 mm along the notch root and 0.41 mm along the radius, leading to an area of 0.85 mm2, which is big enough to include a sufficient number of grains for a reliable statistical analysis.
Figure 2.
Results of FEM simulation of notched specimens: (a) stress distribution at notch; (b) stress distribution at notch root; (c) stress distribution at notch radius.
The fatigue tests were performed in stress-control with a sinusoidal load function, a frequency of 5 Hz and a stress ratio of R = −1, using the servo-hydraulic testing system MTS Bionix, Model 358.02 (MTS Systems Corporation, Eden Prairie, MN, USA). The nominal stress amplitudes σn,a used in the experiments refer to the cross section of the notch. As the focus of the experiments was to investigate the influence of the higher C content and, thus, the cementite on the fatigue crack initiation and propagation, in total three specimens were tested for each condition of X21, while for both conditions of X0.5 one specimen was tested for comparison (see Table 2).
The fatigue experiments were interrupted after defined numbers of cycles and investigated by means of an FEI Quanta 600 SEM (FEI Company, Thermo Fisher Scientific Inc., Waltham, MA, USA) to monitor the crack initiation and propagation. Initially, all specimens were loaded in the polished state. After reaching a sufficiently large fatigue crack length, the specimens were etched with a 3% HNO3 solution to reveal the microstructure in the region of the fatigue cracks, which enables the reconstruction of the crack growth through the microstructure.
3. Results
Table 3 shows the number of cycles to failure Nf resulting from the respective nominal stress amplitude σn,a for each experiment, the number of cycles Ni at which the tests were interrupted as well as the number of cycles at which the first cracks were observed. Note that all specimens failed between 38,000 and 100,000 cycles, i.e., in the upper HCF regime. Therefore, the underlying loading conditions have similar effects on the failure mechanisms.
Table 3.
Nominal stress amplitude σn,a, number of cycles to failure Nf and test interruptions Ni (i: 1…10) for all tested specimens. The Ni at which the first cracks were observed are marked with *.
To characterize the crack initiation sites, the microcracks were recorded at their first occurrence and subsequently after the defined Ni. After reaching a sufficiently large crack length, each sample was etched, which enabled allocating the previously recorded crack initiation sites to the respective microstructural features. Figure 3 shows exemplary crack initiation sites for both conditions of the X21 steel. In general, crack initiation occurs at grain boundaries and within ferrite grains at slip bands.
Figure 3.
Representative examples of crack initiation sites observed in X21-120 (a,b,e,f) after a loading of σn,a = 340 MPa (1) for N = 10,000 (a,b) and N = 35,000 (e,f) as well as crack initiation sites observed in X21-2400 (c,d,g,h) after a loading of σn,a = 340 MPa (2) for N = 10,000 (c,d) and N = 20,000 (g,h). For both variants crack initiation at grain boundaries (a,e,c,g) as well as within the grain (b,f,d,h) are shown exemplarily.
Figure 3a,e depicts a microcrack, which was formed in X21-120 loaded at σn,a = 340 MPa (1). As clearly visible in Figure 3e, the crack initiated at a grain boundary near a grain boundary triple point with a larger amount of tertiary cementite. Figure 3b illustrates two other crack initiation sites in the same specimen being located at slip bands, which are formed within a ferrite grain (see Figure 4f). As can be seen in Figure 4f, after further cyclic loading, these two microcracks coalesce to one microcrack.
Figure 4.
Representative examples of crack initiation sites observed in X0.5-120 (a,b,e,f) after a loading of σn,a = 340 MPa for N = 10,000 (a,b) and N = 20,000 (e,f) as well as crack initiation sites observed in X0.5-2400 (c,d,g,h) after a loading of σn,a = 340 MPa for N = 30,000 (c), N = 45,000 (d) and N = 60,000 (g,h). For both variants crack initiation at grain boundaries (a,e,c,g) as well as within the ferrite grains (b,f,d,h) are shown exemplarily.
Equivalent to X21-120, Figure 3c,g demonstrates the formation of various microcracks at grain boundaries for X21-2400, which clearly show tertiary cementite. Furthermore, in X21-2400 cracks also initiate within ferrite grains at slip bands, which is demonstrated by Figure 3d,h. Note that in X21 only few microcracks initiated in pearlite and, thus, this mechanism is neglected in further discussion, which focuses on the crack initiation at the grain boundaries and within the ferrite grains.
Corresponding to X21, for both heat treatment variants of X0.5, the fatigue cracks initiated at grain boundaries and within ferrite grains. Figure 4a,e illustrates the formation of a crack at a grain boundary of X0.5-120, whereas for X0.5-120 crack initiation at a slip band located in a ferrite grain can be seen in Figure 4b,f. The same observations can be made for X0.5-2400 (see Figure 4c,d,g,h). An example of crack initiation at a grain boundary for this variant is demonstrated in Figure 4c,g, while Figure 4d,h shows the formation of a microcrack at a slip band.
The comparison of the micrographs of X21 and X0.5 in the etched state (Figure 3e–h and Figure 4e–h) reveals differently pronounced cementite between these two steels. While in case of X21 significant amounts of tertiary cementite can be seen on the grain boundaries, no or only small amounts of cementite is formed at the grain boundaries of X0.5. As X0.5 has a very low C content (0.005 wt.-%), which is below the maximum solubility of C in ferrite, these small amounts of cementite can be expected, whereas in the case of X21 (0.21 wt.-%) precipitation of tertiary cementite on the grain boundaries during the heat treatment is reasonable.
However, despite the differently pronounced cementite formation, the qualitative comparison of crack initiation does not reveal any difference between X0.5 and X21, since both steels show crack initiation at grain boundaries and within grains. However, the question arises whether the dominating mechanism of crack initiation changes with increasing C content. To answer this question, a large number of crack initiation sites were analyzed (see Table 4). Note that for the variant X0.5-2400, a significantly lower number of crack initiation sites was investigated. However, the results can still be used for a sufficient assessment of this variant.
Table 4.
Total number of crack initiation sites investigated for all tested specimens.
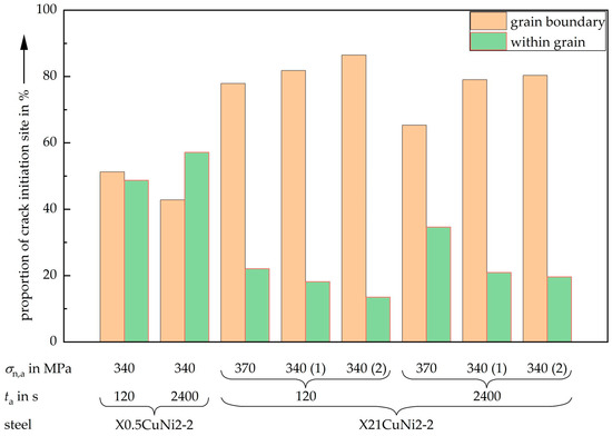
The results of these analyses are given in Figure 5 in a normalized form. Note that each bar belongs to one specimen, representing the number of crack initiation sites at grain boundaries and within grains related to the total number of crack initiation sites detected in the respective specimen. Figure 5 reveals a significant difference in the distribution of crack initiation sites between X0.5 and X21. While for both variants of the X0.5 crack initiation occurs in approximately equal proportions at grain boundaries and within grains, for both variants of X21 the crack initiation at grain boundaries dominates since, depending on the specimen, for X21 between 65 and 86 % of crack initiation takes place at grain boundaries.
Figure 5.
Proportions of crack initiation sites for all tested specimens.
In addition to the analysis of the crack initiation, the short fatigue crack growth was investigated. For this purpose, starting from the crack initiation site, approximately ±50 µm of the respective microcrack was examined in more detail. In these analyses, crack propagation across the ferrite grains, i.e., transgranular crack growth, and along the grain boundaries, i.e., intergranular crack growth, was observed.
Figure 6 shows exemplarily a microcrack of X21-2400. For easier identification, the crack sections which can be assigned to crack initiation as well as to trans- and intergranular crack growth are color-coded. On the left-hand side, the crack grew transgranularly downward at a relatively sharp angle. After crossing the boundary to the next grain, the crack path changed in the middle of the grain by almost 90° to a crack growth direction perpendicular to the load direction, indicating mechanisms that led to the deflection of the crack. Then the crack crossed the boundary to the next grain near a grain boundary parallel to the growth direction, along which growth was intergranular before transgranular growth occurred again in the next grain. On the right-hand side, the crack initially grew transgranularly until it encountered a grain boundary aligned approximately parallel to the growth direction, along which growth took place intergranularly.
Figure 6.
Example of crack growth in X21-2400 s (σn,a = 370 MPa, N = 45,000).
In Figure 7, a microcrack of X0.5-120 is shown exemplarily to illustrate and explain the crack growth mechanisms in X0.5 steel. The crack shown in Figure 8 consists of four coalescing microcracks. During their respective growth, both trans- and intergranular crack segments occurred. At the crack initiation site 1, i.e., on the left-hand side, the crack initially grew into the grain and was then deflected downward. After crossing the grain boundary, the crack grew intergranularly and was deflected upward by a grain boundary oriented approximately perpendicular to the growth direction. The crack propagated along this grain boundary into the antecedent grain where it grew transgranularly and was also deflected downward near a grain boundary. In the case of crack initiation site 3 on the right-hand side, the crack initially propagated transgranularly to the right, before it encountered a grain boundary oriented in the direction of growth, along which further growth took place. Equivalent to that, the crack growth from initiation site 4 to the right occurred at first intergranularly along a grain boundary oriented parallel to the crack growth direction and continued transgranularly.
Figure 7.
Example of crack growth in X0.5-120 s (σn,a = 340 MPa, N = 20,000); the labels 1–4 indicate the four different crack initiation sites.
Figure 8.
Proportions of crack growth mechanisms for all tested specimens.
In summary, in X0.5 the cracks can grow along the grain boundaries, but these boundaries can also act as obstacles for crack propagation. The role of the grain boundaries for crack propagation seems to depend on the orientation of the grain boundaries to the crack.
Equivalent to crack initiation, the qualitative analysis of micro crack growth did not reveal any clear differences between X0.5 and X21. Thus, a quantitative analysis of the crack propagation mechanisms was performed on a larger range of cracks. The total summed length of all cracks considered is given in Table 5, while the results of this quantitative analysis are illustrated in Figure 8. Similar to Figure 5, each bar belongs to one specimen, representing the total length of intergranular and transgranular crack growth related to the total crack length detected in the respective specimen. For both variants of X0.5 steel, transgranular growth clearly dominates, constituting approximately 80% of the considered total crack length. In contrast to that, both variants of X21 show inter- and transgranular crack growth to similar proportions. Thus, grain boundaries play a greater role in short fatigue crack growth for the investigated variants of X21 steel than for those of X0.5 steel.
Table 5.
Total investigated crack length for all tested specimens.
Consequently, the crack propagation mechanisms differ between X0.5 and X21, which is in correspondence with the crack initiation behavior. However, for both crack initiation and propagation, no difference was observed between the different aging times. Therefore, based on the analysis made, no influence of the aging time on crack initiation and growth can be observed.
4. Discussion
The presented results show that both steels in both heat treatment variants exhibit the same mechanisms of crack initiation, i.e., crack initiation at grain boundaries and slip bands, and of crack growth, i.e., inter- and transgranular. However, for X21 the crack initiation and crack propagation at or along the grain boundaries is more pronounced, which can be explained by differences in the microstructure: The grain size of X21 is smaller, which leads to a larger number of grain boundaries compared to X0.5. Therefore, the probability of crack formation at grain boundaries increases statistically. Furthermore, X21 has significant amounts of brittle tertiary cementite precipitated at the grain boundaries. As shown by Koyama et al. [13] for cyclic loading with relatively high stress amplitudes, the presence of intergranular cementite favors the formation of cracks at grain boundaries. This can be explained by the embrittling effect of the cementite at the grain boundaries and possibly by the stress concentration induced by the cementite. Consequently, both microstructural features, i.e., the smaller grain size and the tertiary cementite, lead to a more pronounced crack initiation and crack growth at the grain boundaries of X21 in comparison with X0.5.
The presented results can be contextualized to existing observations in the literature. As already discussed in the introduction, an increasing load shifts the crack initiation from slip bands within grains to grain boundaries. Since the experiments conducted are within the upper HCF regime and as notched specimens were used, which induces stress concentration, the dominance of crack initiation at grain boundaries is plausible. However, the individual microstructural features also influence the extent of crack initiation at slip bands or at grain boundaries, the latter being favored by a smaller grain size and tertiary cementite as already discussed above.
In addition, the findings presented in this work help to understand the fatigue behavior of X0.5 and X21 presented in [21,29]. As discussed in the introduction and described in detail in [21], extending the aging time from 120 s to 2400 s results for both steels in an increase in the fatigue strength in the case of non-defect-based failure. This was associated with different precipitation states of Cu, correlating with an increased cyclic hardening potential of the variants aged for 2400 s. In [21,29] unnotched specimens were tested in the HCF regime. Based on the literature, crack initiation at slip bands within the ferrite can be assumed to dominate for these experiments. Therefore, the higher cyclic hardening potential of the ferrite grains in the variants aged for 2400 s influences the crack initiation by retarding the formation of slip bands and, thus, the formation of subsequent fatigue cracks. Consequently, the different precipitation hardening of Cu influences the non-defect-based fatigue strength of both steels.
In further investigations, the defect tolerance of X0.5 and X21 was analyzed by using specimens with artificially introduced defects [29]. The defect tolerance was evaluated among others by the √area approach established by Murakami [31]. Using this approach, the fatigue limit σw,Mur can be estimated in the case of defect-based failure considering the location of the defect, the defect size perpendicular to the maximum tensile stress (represented by the √area) and the Vickers hardness as input parameters. As σw,Mur represents the endurance limit of the material, the ratio of applied stress amplitude σa and σw,Mur, i.e., σa/σw,Mur, is a parameter to quantify the relative stress intensity at the defect. Note that σa/σw,Mur < 1 should not lead to failure. Since higher σa/σw,Mur, and hence higher relative stress intensities, at the same Nf indicate an enhanced ability of the material to withstand stress concentrations at defects, this approach enables evaluating the defect tolerance. Consequently, higher σa/σw,Mur at similar Nf represent a higher defect tolerance [29,32,33].
As demonstrated in [29], compared to X0.5-120, X0.5-2400 has higher σa/σw,Mur for all Nf and, thus, an enhanced defect tolerance, which can be correlated with a higher cyclic hardening potential. The cyclic hardening potential of all variants was obtained in cyclic indentation tests and is represented by the cyclic hardening exponentCHT|eII|. As discussed in the introduction and shown in [27,28], the differences in |eII| are caused by the different precipitation states of Cu (compare Figure 9 and Table 2). However, the position of the σa/σw,Mur-Nf curves is similar for both variants of X21, indicating that X21-2400 does not have a higher defect tolerance than X21-120 despite the increased cyclic hardening potential. Therefore, precipitation hardening of Cu leads to an increased defect tolerance of X0.5, whereas no influence is found in the case of X21.
Figure 9.
σa/σw,Mur-Nf curves of X0.5 and X21 aged for 120 s and 2400 s, respectively; adapted from [29] with permission from Elsevier, 2023.
The results obtained in the analyses of the crack initiation and crack growth can be used to explain this difference between X0.5 and X21, concerning the effect of precipitation state on the defect tolerance. First, it must be pointed out that the loading conditions in the notch root are not equivalent to the one in front of a defect. From the perspective of fracture mechanics, a notch induces stress concentration, whereas a stress intensity acts in front of a defect considered as a crack according to [31]. Thus, for a similar nominal stress amplitude, even higher loads can be expected in front of a defect compared to the still relatively shallow notch used in this study. Given the observations presented and the findings from the literature that the proportion of crack initiation at grain boundaries increases with an increasing load amplitude, it can be deduced that crack initiation at grain boundaries is also the dominant crack initiation mechanism in the case of defect-based failure, presuming that the defect significantly exceeds the grain size. In X21, the grain boundaries fail in a brittle way due to the influence of tertiary cementite. In contrast, for X0.5 the ferritic matrix can be expected to plasticize even in the case of crack initiation at grain boundaries, since there is no embrittling effect due to the absence of tertiary cementite. As a result, the increased cyclic hardening potential of the variants aged for 2400 s, induced by different precipitation states of Cu, results in an enhanced defect tolerance in the case of X0.5 steel, whereas no influence is given for X21 steel, since the ferrite only makes a minor contribution to the defect-based failure of the steel with a higher C content.
5. Summary and Conclusions
In this work the fatigue crack initiation and growth of the Cu alloyed steels X0.5CuNi2-2 (X0.5) and X21CuNi2-2 (X21), both aged for 120 s and 2400 s, was investigated. For this purpose, notched specimens were subjected to cyclic loading in intermitted fatigue tests, while in the test interruptions, SEM analyses of the fatigue cracks were conducted. The results can be summarized as follows:
- Crack initiation occurred for both steels at grain boundaries and at slip bands within the ferrite grains. However, in the case of X0.5 the cracks initiated in equal proportions at grain boundaries and within ferrite grains, while grain boundary crack initiation dominated in X21.
- Both inter- and transgranular crack growth was observed. In X0.5, transgranular crack growth dominated, whereas X21 showed inter- and transgranular growth in equal proportions.
- The different aging times did not induce differences in crack initiation or propagation.
- The bigger influence of grain boundaries on the fatigue crack initiation and growth of X21 compared to X0.5 is expected to be caused by the smaller grain sizes of X21, and especially by the more pronounced tertiary cementite at the grain boundaries of X21. The latter leads to an embrittlement of the grain boundaries, favoring crack initiation and propagation.
- The presence of cementite leads to a more pronounced occurrence of fatigue cracks at grain boundaries, which can overrule differences in the cyclic hardening potential of the ferritic matrix, e.g., caused by different precipitation states of Cu. Thus, strengthening mechanisms can lose their efficacy if the failure mechanism changes, e.g., from non-defect-based to defect-based failure.
Future investigations, e.g., EBSD (electron backscatter diffraction) analysis might help in attaining a more detailed and deeper understanding of the local crack initiation and propagation mechanisms. However, in this work the overall mechanisms were the focus. In addition, the characterization of dislocation type and fatigue induced dislocation structure could enhance the comprehension of the underlying microstructural mechanisms.
Author Contributions
Conceptualization, D.G., B.B. and T.B.; methodology, D.G., B.B. and T.B.; formal analysis, D.G.; investigation, D.G.; writing—original draft preparation, D.G.; writing—review and editing, B.B. and T.B.; visualization, D.G.; supervision, B.B. and T.B.; project administration, B.B. and T.B.; funding acquisition, T.B. All authors have read and agreed to the published version of the manuscript.
Funding
This research was funded by the German Research Foundation (DFG), grant number “BE 2350/9-2” (project number 335746905).
Data Availability Statement
Not applicable.
Acknowledgments
The authors thank the Steel Institute of RWTH Aachen for supplying the material within the collaborative research project.
Conflicts of Interest
The authors declare no conflict of interest.
References
- Chan, K.S. Roles of microstructure in fatigue crack initiation. Int. J. Fatigue 2010, 32, 1428–1447. [Google Scholar] [CrossRef]
- Krupp, U. Fatigue Crack Propagation in Metals and Alloys: Microstructural Aspects and Modelling Concepts; Wiley-VCH: Weinheim, Germany, 2007; ISBN 9783527610686. [Google Scholar]
- Lukáš, P.; Kunz, L. Small cracks: Nucleation, growth and implication to fatigue life. Int. J. Fatigue 2003, 25, 855–862. [Google Scholar] [CrossRef]
- McDowell, D.L. Basic issues in the mechanics of high cycle metal fatigue. Int. J. Fract. 1996, 80, 103–145. [Google Scholar] [CrossRef]
- Schönbauer, B.M.; Ghosh, S.; Kömi, J.; Frondelius, T.; Mayer, H. Influence of small defects and nonmetallic inclusions on the high and very high cycle fatigue strength of an ultrahigh-strength steel. Fatigue Fract. Eng. Mater. Struct. 2021, 44, 2990–3007. [Google Scholar] [CrossRef]
- Chan, K.S.; Tian, J.W.; Yang, B.; Liaw, P.K. Evolution of Slip Morphology and Fatigue Crack Initiation in Surface Grains of Ni200. Metall. Mat. Trans. A 2009, 40, 2545–2556. [Google Scholar] [CrossRef]
- Eifler, D.; Macherauch, E. Microstructure and cyclic deformation behaviour of plain carbon and low-alloyed steels. Int. J. Fatigue 1990, 12, 165–174. [Google Scholar] [CrossRef]
- Pilo Gonzalez, D. Zum Wechselverformungsverhalten Normalisierter Unlegierter Stähle Mit Kohlenstoffgehalten von 0,01 Bis 1,02 Gew. %; Universität Karlsruhe: Karlsruhe, Germany, 1979. [Google Scholar]
- de los Rios, E.R.; Tang, Z.; Miller, K.J. Short Crack Fatigue Behaviour in a Medium Carbon Steel. Fatigue Fract. Eng. Mater. Struct. 1984, 7, 97–108. [Google Scholar] [CrossRef]
- Tokaji, K.; Ogawa, T.; Osako, S. The Growth of Microstructurally Small Fatigue Cracks in a Ferritic-Pearlitic Steel. Fatigue Fract. Eng. Mater. Struct. 1988, 11, 331–342. [Google Scholar] [CrossRef]
- Tokaji, K.; Ogawa, T. The growth behaviour of microstructurally small fatigue cracks in metals. In Short Fatigue Cracks; Miller, K.J., de los Rios, E.R., Eds.; Mechanical Engineering Publications Limited: London, UK, 1992; pp. 85–99. ISBN 9780852988091. [Google Scholar]
- Yoshimura, N.; Ushioda, K.; Yonemura, M.; Koyama, M.; Tanaka, M.; Noguchi, H. Effect of the state of carbon on ductility in Fe-0.017mass%C ferritic steel. Mater. Sci. Eng. A 2017, 701, 120–128. [Google Scholar] [CrossRef]
- Koyama, M.; Yu, Y.; Zhou, J.-X.; Yoshimura, N.; Sakurada, E.; Ushioda, K.; Noguchi, H. Elucidation of the effects of cementite morphology on damage formation during monotonic and cyclic tension in binary low carbon steels using in situ characterization. Mater. Sci. Eng. A 2016, 667, 358–367. [Google Scholar] [CrossRef]
- Grabke, H.J. Surface and grain boundary segregation on and in lron and steels. ISIJ Int. 1989, 29, 529–538. [Google Scholar] [CrossRef]
- Lindley, T.; Oates, G.; Richards, C. A critical of carbide cracking mechanisms in ferride/carbide aggregates. Acta Metall. 1970, 18, 1127–1136. [Google Scholar] [CrossRef]
- Xi, Z.-J.; Koyama, M.; Yoshida, Y.; Yoshimura, N.; Ushioda, K.; Noguchi, H. Effects of cementite morphology on short-fatigue-crack propagation in binary Fe–C steel. Philos. Mag. Lett. 2015, 95, 384–391. [Google Scholar] [CrossRef]
- Heo, Y.-U.; Kim, Y.-K.; Kim, J.-S.; Kim, J.-K. Phase transformation of Cu precipitates from bcc to fcc in Fe–3Si–2Cu alloy. Acta Mater. 2013, 61, 519–528. [Google Scholar] [CrossRef]
- Sun, M.; Zhang, W.; Liu, Z.; Wang, G. Direct observations on the crystal structure evolution of nano Cu-precipitates in an extremely low carbon steel. Mater. Lett. 2017, 187, 49–52. [Google Scholar] [CrossRef]
- Sun, H.; Li, D.; Diao, Y.; He, Y.; Yan, L.; Pang, X.; Gao, K. Nanoscale Cu particle evolution and its impact on the mechanical properties and strengthening mechanism in precipitation-hardening stainless steel. Mater. Charact. 2022, 188, 111885. [Google Scholar] [CrossRef]
- Deschamps, A.; Militzer, M.; Poole, W.J. Precipitation Kinetics and Strengthening of a Fe-0.8 wt%Cu Alloy. ISIJ Int. 2001, 41, 196–205. [Google Scholar] [CrossRef]
- Görzen, D.; Schwich, H.; Blinn, B.; Bleck, W.; Beck, T. Influence of different precipitation states of Cu on the quasi-static and cyclic deformation behavior of Cu alloyed steels with different carbon contents. Int. J. Fatigue 2020, 136, 105587. [Google Scholar] [CrossRef]
- Li, Z.; Chai, F.; Yang, L.; Luo, X.; Yang, C. Mechanical properties and nanoparticles precipitation behavior of multi-component ultra high strength steel. Mater. Des. 2020, 191, 108637. [Google Scholar] [CrossRef]
- Sun, M.; Xu, Y.; Xu, T. Cu Precipitation Behaviors and Microscopic Mechanical Characteristics of a Novel Ultra-Low Carbon Steel. Materials 2020, 13, 3571. [Google Scholar] [CrossRef]
- McGrath, J.T.; Bratina, W.J. Fatigue of an Fe-1.5% Cu alloy containing stable, non-coherent precipitate particles. Philos. Mag. 1970, 21, 1087–1091. [Google Scholar] [CrossRef]
- Fournelle, R.A.; Grey, E.A.; Fine, M.E. Fatigue behavior of a precipitation hardening Ni–Al–Cu medium carbon steel. Metall. Trans. 1976, 7, 669–682. [Google Scholar] [CrossRef]
- Yokoi, T.; Takahashi, M.; Maruyama, N.; Sugiyama, M. Cyclic stress response and fatigue behavior of Cu added ferritic steels. J. Mater. Sci. 2001, 36, 5757–5765. [Google Scholar] [CrossRef]
- Schwich, H.; Görzen, D.; Blinn, B.; Beck, T.; Bleck, W. Characterization of the precipitation behavior and resulting mechanical properties of copper-alloyed ferritic steel. Mater. Sci. Eng. A 2020, 772, 138807. [Google Scholar] [CrossRef]
- Shen, X.; Görzen, D.; Xu, Z.; Blinn, B.; Bleck, W.; Beck, T.; Krupp, U.; Song, W. Nano-sized Cu precipitation and microstructural evolution in aged ultralow and medium carbon steels. Materialia 2022, 26, 101626. [Google Scholar] [CrossRef]
- Görzen, D.; Schwich, H.; Blinn, B.; Song, W.; Krupp, U.; Bleck, W.; Beck, T. Influence of Cu precipitates and C content on the defect tolerance of steels. Int. J. Fatigue 2021, 144, 106042. [Google Scholar] [CrossRef]
- Görzen, D.; Ostermayer, P.; Lehner, P.; Blinn, B.; Eifler, D.; Beck, T. A New Approach to Estimate the Fatigue Limit of Steels Based on Conventional and Cyclic Indentation Testing. Metals 2022, 12, 1066. [Google Scholar] [CrossRef]
- Murakami, Y. Metal Fatigue: Effects of Small Defects and Nonmetallic Inclusions, 1st ed.; Elsevier: Amsterdam, The Netherlands, 2002; ISBN 0080440649. [Google Scholar]
- Blinn, B.; Ley, M.; Buschhorn, N.; Teutsch, R.; Beck, T. Investigation of the anisotropic fatigue behavior of additively manufactured structures made of AISI 316L with short-time procedures PhyBaLLIT and PhyBaLCHT. Int. J. Fatigue 2019, 124, 389–399. [Google Scholar] [CrossRef]
- Bambach, M.D.; Bleck, W.; Kramer, H.S.; Klein, M.; Eifler, D.; Beck, T.; Surm, H.; Zoch, H.-W.; Hoffmann, F.; Radulescu, A. Tailoring the Hardening Behavior of 18CrNiMo7-6 via Cu Alloying. Steel Res. Int. 2016, 87, 550–561. [Google Scholar] [CrossRef]
Disclaimer/Publisher’s Note: The statements, opinions and data contained in all publications are solely those of the individual author(s) and contributor(s) and not of MDPI and/or the editor(s). MDPI and/or the editor(s) disclaim responsibility for any injury to people or property resulting from any ideas, methods, instructions or products referred to in the content. |
© 2023 by the authors. Licensee MDPI, Basel, Switzerland. This article is an open access article distributed under the terms and conditions of the Creative Commons Attribution (CC BY) license (https://creativecommons.org/licenses/by/4.0/).








