Effect of Yttrium Doping on Glass-Forming Ability, Thermal Stability, and Corrosion Resistance of Zr50.7Cu28Ni9Al12.3 Bulk Metallic Glass
Abstract
1. Introduction
2. Experimental Procedure
3. Results and Discussion
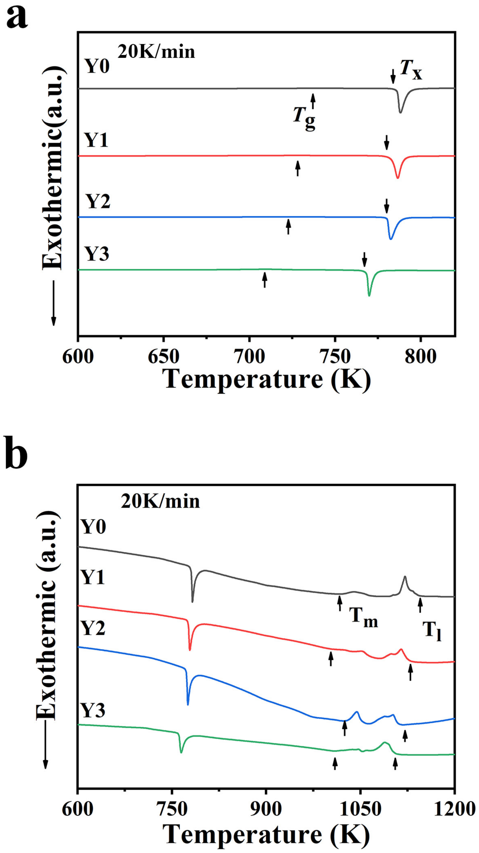
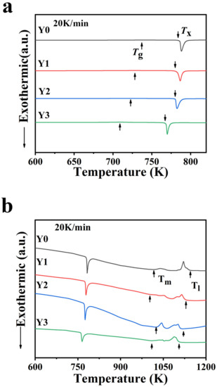
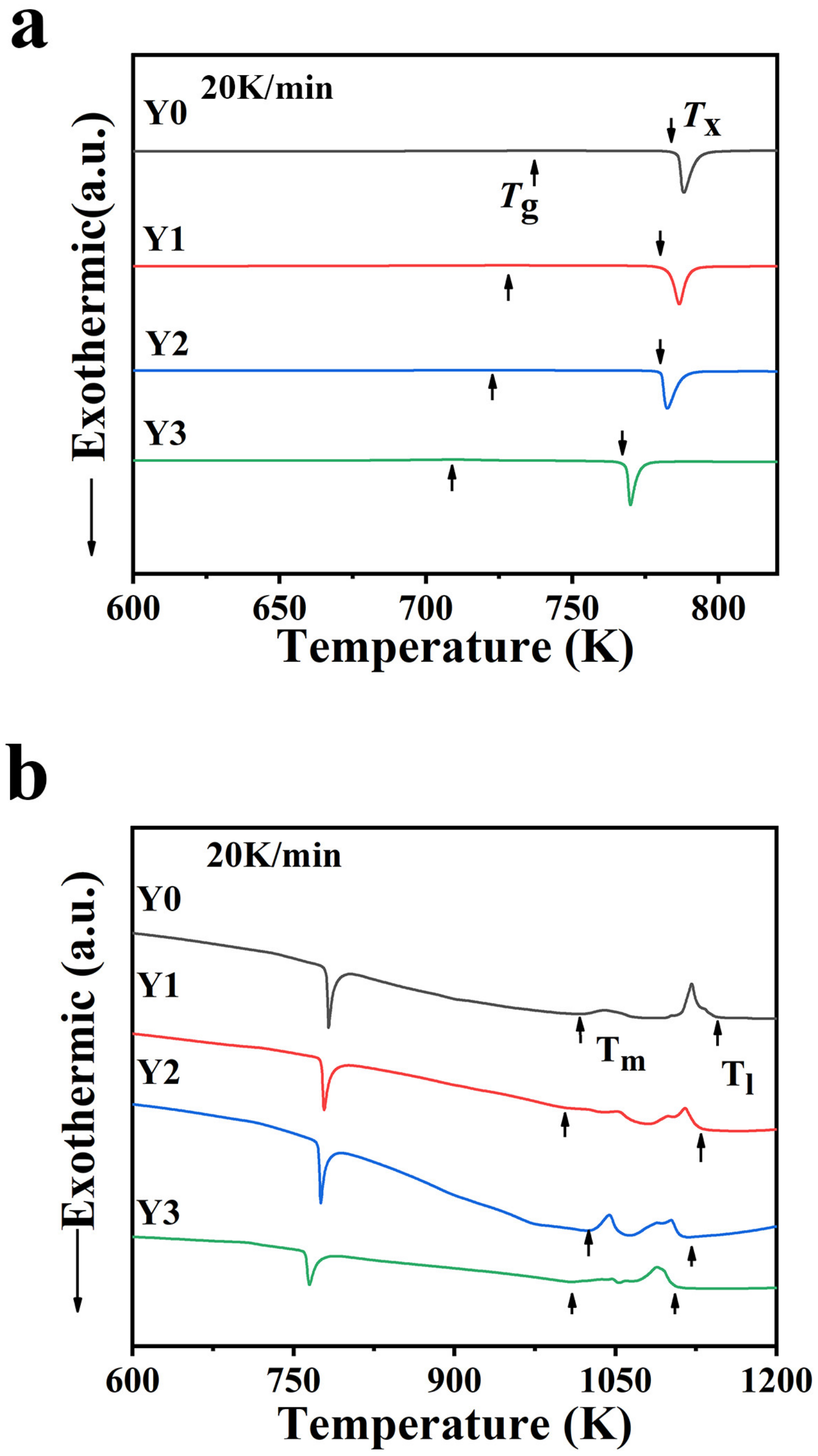
3.1. Structure Characterization
3.2. Thermodynamic Parameters Characterization
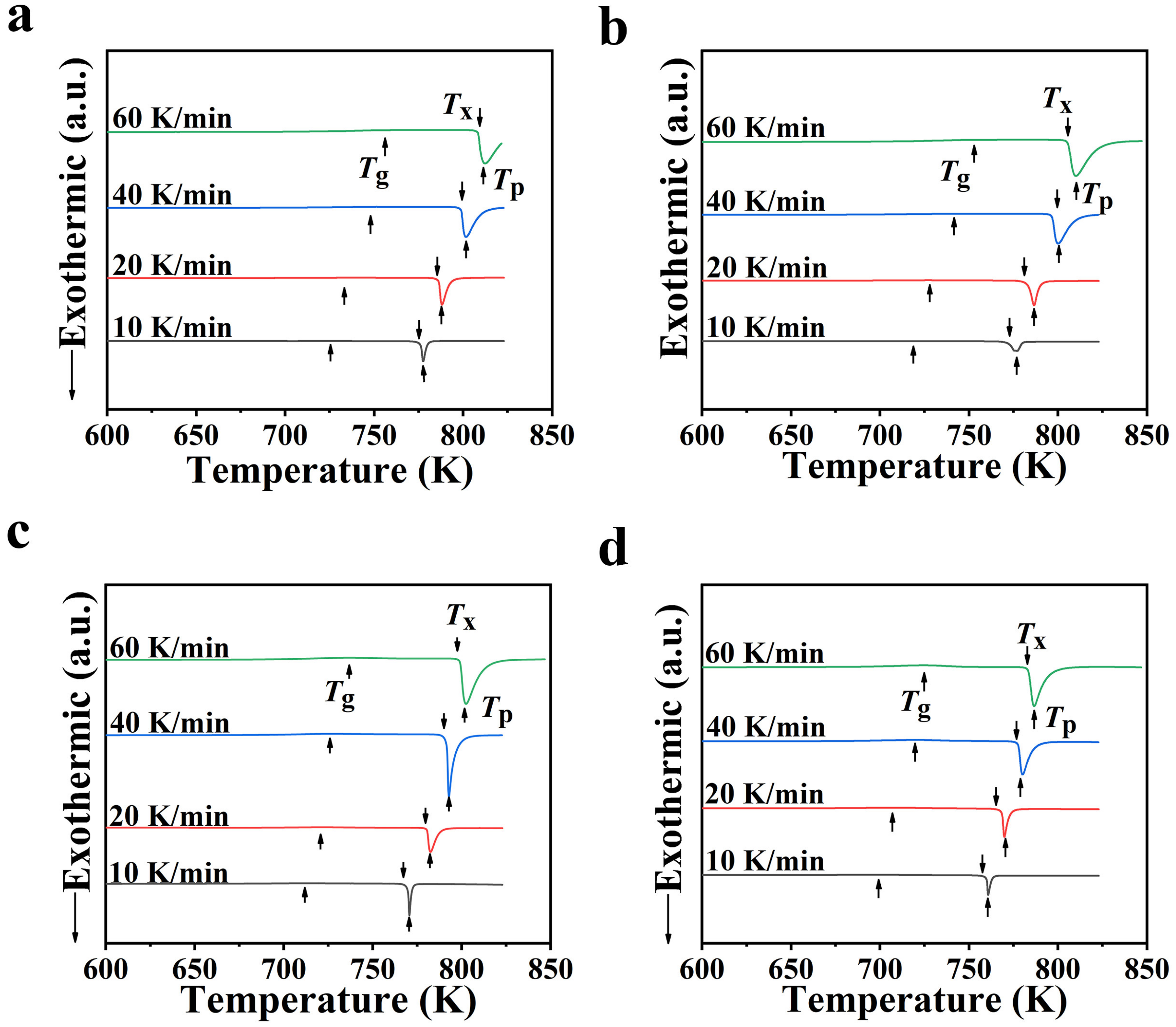
3.3. Activation Energy for Crystallization
3.4. Corrosion Resistance Characterization
4. Conclusions
- (1)
- The yttrium doping can improve the GFA of the Zr50.7Cu28Ni9Al12.3 MG. With increasing yttrium doping content, the GFA of the alloys firstly increases and then decreases. Y2 alloy possesses the best GFA among the (Zr50.7Cu28Ni9Al12.3)100−xYx (x = 0, 1, 2, 3) alloys.
- (2)
- The yttrium doping can improve the crystallization resistance of the Zr50.7Cu28Ni9Al12.3 MG by increasing the activation energy for crystallization.
- (3)
- Compared to the Y0 alloy, the self-corrosion potential of the yttrium-doped MGs decreases, while the Y2 alloy’s self-corrosion current density decreases and the charge transfer resistance at the metal interface significantly increases, indicating that the newly developed Y2 alloy exhibits enhanced corrosion resistance compared to the Zr50.7Cu28Ni9Al12.3 MG.
- (4)
- This work demonstrates the simultaneous increase of GFA, crystallization activation energy, and corrosion resistance of the Zr50.7Cu28Ni9Al12.3 MG by proper yttrium doping. This can greatly facilitate the final application of Zr-Cu-Ni-Al MGs as protective coatings.
Supplementary Materials
Author Contributions
Funding
Institutional Review Board Statement
Informed Consent Statement
Data Availability Statement
Conflicts of Interest
References
- Halim, Q.; Mohamed, N.; Rejab, M.; Wan, N.; Ma, Q. Metallic glass properties, processing method and development perspective: A review. Int. J. Adv. Manuf. Technol. 2021, 112, 1231–1258. [Google Scholar] [CrossRef]
- Chen, Y.; Dai, Z.W.; Jiang, J.Z. High entropy metallic glasses: Glass formation, crystallization and properties. J. Alloys Compd. 2021, 866, 158852. [Google Scholar] [CrossRef]
- Liu, X.; Chen, N.; Gu, J.L.; Du, J.; Yao, K.F. Novel Cu-Ag bimetallic porous nanomembrane prepared from a multi-component metallic glass. RSC Adv. 2015, 5, 50565–50571. [Google Scholar] [CrossRef]
- Xie, S.; Zeng, X.; Qian, H. Correlations between the relaxed excess free volume and the plasticity in Zr-based bulk metallic glasses. J. Alloys Compd. 2009, 480, L37–L40. [Google Scholar] [CrossRef]
- Demetriou, M.D.; Launey, M.E.; Garrett, G.; Schramm, J.P.; Hofmann, D.C.; Johnson, W.L.; Ritchie, R.O. A damage-tolerant glass. Nat. Mater. 2011, 10, 123–128. [Google Scholar] [CrossRef]
- Liu, X.; Ma, B.; Hu, L.; Li, J.-F.; Qu, F.; Le, G.; Li, X. Fe–Si–Al Coatings with Stable Wear Resistance Prepared by Laser Cladding Industrial Wastes. Metals 2019, 9, 96. [Google Scholar] [CrossRef]
- Salehan, R.; Shahverdi, H.R.; Miresmaeili, R. Effects of annealing on the tribological behavior of Zr60Cu10Al15Ni15 bulk metallic glass. J. Non-Cryst. Solids 2019, 517, 127–136. [Google Scholar] [CrossRef]
- Khan, M.M.; Shabib, I.; Haider, W. A combinatorially developed Zr-Ti-Fe-Al metallic glass with outstanding corrosion resistance for implantable medical devices. Scr. Mater. 2019, 162, 223–229. [Google Scholar] [CrossRef]
- Zhang, G.; Sun, W.; Xie, L.; Zhang, C.; Tan, J.; Peng, X.; Li, Q.; Ma, X.; Zhao, D.; Yu, J. Multicomponent Fe-Based Bulk Metallic Glasses with Excellent Corrosion and Wear Resistances. Metals 2022, 12, 564. [Google Scholar] [CrossRef]
- Yu, M.; Zhang, M.; Sun, J.; Liu, F.; Wang, Y.; Ding, G.; Xie, X.; Liu, L.; Zhao, X.; Li, H. Facile Electrochemical Method for the Fabrication of Stable Corrosion-Resistant Superhydrophobic Surfaces on Zr-Based Bulk Metallic Glasses. Molecules 2021, 26, 1558. [Google Scholar] [CrossRef]
- Liu, X.; Gu, J.-L.; Yang, G.-N.; Shao, Y.; Chen, N.; Yao, K.-F. Theoretical and experimental study of metallic glass die-imprinting for manufacturing large-size micro/nano structures. J. Mater. Process. Technol. 2022, 307, 117699. [Google Scholar] [CrossRef]
- Liu, X.; Shao, Y.; Han, Z.D.; Yao, K.F. Morphology and structure evolution of metallic nanowire arrays prepared by die nanoimprinting. Sci. Bull. 2015, 60, 629–633. [Google Scholar] [CrossRef]
- Kumar, G.; Tang, H.X.; Schroers, J. Nanomoulding with amorphous metals. Nature 2009, 457, 868–872. [Google Scholar] [CrossRef]
- Souza, C.A.C.; Ribeiro, D.V.; Kiminami, C.S. Corrosion resistance of Fe-Cr-based amorphous alloys: An overview. J. Non-Cryst. Solids 2016, 442, 56–66. [Google Scholar] [CrossRef]
- Yang, X.; Gao, M.; Liu, Y.; Li, J.; Huang, Y.; Wang, G.; Wang, J.-Q.; Huo, J. Superior corrosion resistance of high-temperature Ir-Ni-Ta-(B) amorphous alloy in sulfuric acid solution. Corros. Sci. 2022, 200, 110227. [Google Scholar] [CrossRef]
- Yang, Y.J.; Fan, X.D.; Wang, F.L.; Qi, H.N.; Yue, Y.; Ma, M.Z.; Zhang, X.Y.; Li, G.; Liu, R.P. Effect of Nb content on corrosion behavior of Ti-based bulk metallic glass composites in different solutions. Appl. Surf. Sci. 2019, 471, 108–117. [Google Scholar] [CrossRef]
- Baulin, O.; Bugnet, M.; Fabrègue, D.; Lenain, A.; Gravier, S.; Cazottes, S.; Kapelski, G.; Ter-Ovanessian, B.; Balvay, S.; Hartmann, D.J.; et al. Improvement of mechanical, thermal, and corrosion properties of Ni- and Al-free Cu-Zr-Ti metallic glass with yttrium addition. Materialia 2018, 1, 249–257. [Google Scholar] [CrossRef]
- Yao, K.F.; Kui, H.W. Evidence of a two-dimensional nucleation and growth mechanism for metastable nanocrystals embedded in Pd40.5Ni40.5P19 glass. Appl. Phys. Lett. 2000, 77, 2313–2315. [Google Scholar] [CrossRef]
- Gong, P.; Wang, X.; Shao, Y.; Chen, N.; Liu, X.; Yao, K.F. A Ti-Zr-Be-Fe-Cu bulk metallic glass with superior glass-forming ability and high specific strength. Intermetallics 2013, 43, 177–181. [Google Scholar] [CrossRef]
- Khan, M.M.; Deen, K.M.; Haider, W. Combinatorial development and assessment of a Zr-based metallic glass for prospective biomedical applications. J. Non-Cryst. Solids 2019, 523, 119544. [Google Scholar] [CrossRef]
- Li, J.F.; Shao, Y.; Liu, X.; Yao, K.F. Fe-based bulk amorphousalloys with high glass formation ability and high saturation magnetization. Sci. Bull. 2015, 60, 396–399. [Google Scholar] [CrossRef]
- Liu, X.; Shao, Y.; Lu, S.Y.; Yao, K.F. High-accuracy bulk metallic glass mold insert for hot embossing of complex polymer optical devices. J. Polym. Sci. Part B Polym. Phys. 2015, 53, 463–467. [Google Scholar] [CrossRef]
- Gulenko, A.; Chungong, L.F.; Gao, J.; Todd, I.; Hannon, A.C.; Martin, R.A.; Christie, J.K. Atomic structure of Mg-based metallic glasses from molecular dynamics and neutron diffraction. Phys. Chem. Chem. Phys. 2017, 19, 8504–8515. [Google Scholar] [CrossRef] [PubMed]
- Hu, L.; Liu, X.; Chen, T.; Le, G.; Li, J.; Qu, F.; Zhou, Y.; Qi, L.; Wang, D. Characterization of laser cladded Zr-Cu-Ni-Al in-situ metallic glass matrix composite coatings with enhanced corrosion-resistance. Vacuum 2021, 185, 109996. [Google Scholar] [CrossRef]
- Lu, S.; Li, X.; Liang, X.; He, J.; Shao, W.; Li, K.; Chen, J. Effect of Ho Addition on the Glass-Forming Ability and Crystallization Behaviors of Zr54Cu29Al10Ni7 Bulk Metallic Glass. Materials 2022, 15, 2516. [Google Scholar] [CrossRef]
- Huang, C.H.; Huang, J.C.; Li, J.B.; Jang, J.S.C. Simulated body fluid electrochemical response of Zr-based metallic glasses with different degrees of crystallization. Mater. Sci. Eng. C 2013, 33, 4183–4187. [Google Scholar] [CrossRef]
- Hu, L.; Liu, X.; Liang, C.; Zhao, S.; Chen, T.; Li, J.; Le, G.; Qu, F.; Zhou, Y.; Qi, L.; et al. Microstructure evolution and corrosion mechanism of laser cladded Zr-Cu-Ni-Al in-situ metallic glass matrix composite coatings. Surf. Coat. Technol. 2021, 409, 126908. [Google Scholar] [CrossRef]
- Zhou, W.; Meng, Y.; Duan, F.; Huang, W.; Yao, J.; Pan, J.; Wang, Y.; Li, Y. The effect of oxygen on phase formation in an industrial Zr based bulk metallic glass. Intermetallics 2021, 129, 107055. [Google Scholar] [CrossRef]
- Eckert, J.; Mattern, N.; Zinkevitch, M.; Seidel, M. Crystallization behavior and phase formation in Zr-Al-Cu-Ni metallic glass containing oxygen. Mater. Trans. JIM 1998, 39, 623–632. [Google Scholar] [CrossRef]
- Gebert, A.; Eckert, J.; Schultz, L. Effect of oxygen on phase formation and thermal stability of slowly cooled Zr65Al7. 5Cu17. 5Ni10 metallic glass. Acta Mater. 1998, 46, 5475–5482. [Google Scholar] [CrossRef]
- Luo, J.; Duan, H.; Ma, C.; Pang, S.; Zhang, T. Effects of yttrium and erbium additions on glass-forming ability and mechanical properties of bulk glassy Zr-Al-Ni-Cu alloys. Mater. Trans. 2006, 47, 450–453. [Google Scholar] [CrossRef]
- Hu, Q.; Fu, M.; Zeng, X. Thermostability and thermoplastic formability of (Zr65Cu17. 5Ni10Al7. 5)100−xREx (x= 0.25–3.25, RE: Y, Gd, Tb, Dy, Ho, Er, Tm, Yb, Lu) bulk metallic glasses. Mater. Des. 2014, 64, 301–306. [Google Scholar] [CrossRef]
- Yan, M.; Shen, J.; Zhang, T.; Zou, J. Enhanced glass-forming ability of a Zr-based bulk metallic glass with yttrium doping. J. Non-Cryst. Solids 2006, 352, 3109–3112. [Google Scholar] [CrossRef]
- Hao, G.J.; Zhang, Y.; Lin, J.P. Bulk metallic glass formation of Ti-based alloys from low purity elements. Mater. Lett. 2006, 60, 1256–1260. [Google Scholar] [CrossRef]
- Yan, M.; Zou, J.; Shen, J. Effect of over-doped yttrium on the microstructure, mechanical properties and thermal properties of a Zr-based metallic glass. Acta Mater. 2006, 54, 3627–3635. [Google Scholar] [CrossRef]
- Sun, Y.J.; Qu, D.D.; Huang, Y.J.; Liss, K.D.; Wei, X.S.; Xing, D.W.; Shen, J. Zr-Cu-Ni-Al bulk metallic glasses with superhigh glass-forming ability. Acta Mater. 2009, 57, 1290–1299. [Google Scholar] [CrossRef]
- Baulin, O.; Douillard, T.; Fabrègue, D.; Perez, M.; Pelletier, J.-M.; Bugnet, M. Three-dimensional structure and formation mechanisms of Y2O3 hollow-precipitates in a Cu-based metallic glass. Mater. Des. 2019, 168, 107660. [Google Scholar] [CrossRef]
- Nishiyama, N.; Inoue, A. Direct comparison between critical cooling rate and some quantitative parameters for evaluation of glass-forming ability in Pd-Cu-Ni-P alloys. Mater. Trans. 2002, 43, 1913–1917. [Google Scholar] [CrossRef]
- Inoue, A. Stabilization of metallic supercooled liquid and bulk amorphous alloys. Acta Mater. 2000, 48, 279–306. [Google Scholar] [CrossRef]
- Lu, Z.; Liu, C. A new glass-forming ability criterion for bulk metallic glasses. Acta Mater. 2002, 50, 3501–3512. [Google Scholar] [CrossRef]
- Chen, Q.; Shen, J.; Zhang, D.; Fan, H.; Sun, J.; McCartney, D. A new criterion for evaluating the glass-forming ability of bulk metallic glasses. Mater. Sci. Eng. A 2006, 433, 155–160. [Google Scholar] [CrossRef]
- Mondal, K.; Murty, B. On the parameters to assess the glass forming ability of liquids. J. Non-Cryst. Solids 2005, 351, 1366–1371. [Google Scholar] [CrossRef]
- Chen, J.; Zhang, Y.; He, J.P.; Yao, K.F.; Chen, G.L. Metallographic analysis of Cu-Zr-Al bulk amorphous alloys with yttrium addition. Scr. Mater. 2006, 54, 1351–1355. [Google Scholar] [CrossRef]
- Luo, Y.; Ke, H.; Zeng, R.; Liu, X.; Luo, J.; Zhang, P. Crystallization behavior of Zr60Cu20Fe10Al10 amorphous alloy. J. Non-Cryst. Solids 2020, 528, 119728. [Google Scholar] [CrossRef]
- Yang, Y.; Cheng, B.; Jin, Z.; Gao, H.; Ma, M.; Zhang, X. Crystallization kinetics and mechanical properties of Zr56Cu24Al9Ni7−xTi4Agx (x = 0, 1, 3, 5, and 7) metallic glasses. J. Alloys Compd. 2020, 816, 152589. [Google Scholar] [CrossRef]
- Bizhanova, G.; Li, F.; Ma, Y.; Gong, P.; Wang, X. Development and crystallization kinetics of novel near-equiatomic high-entropy bulk metallic glasses. J. Alloys Compd. 2019, 779, 474–486. [Google Scholar] [CrossRef]
- Xu, K.; Lan, A.; Qiao, J.; Yang, H.; Han, P.; Liaw, P. Corrosion behaviors and mechanisms of in-situ Ti-based MGMCs in chloride-containing and chloride-free solutions. Intermetallics 2019, 105, 179–186. [Google Scholar] [CrossRef]
- Wang, X.; Gao, Y.; Li, K.; Yan, J.; Li, Y.; Feng, J. Effect of yttrium on the corrosion behaviour of 09CrCuSb alloy in concentrated sulphuric acid. Corros. Sci. 2013, 69, 369–375. [Google Scholar] [CrossRef]
- Yu, L.; Tang, J.; Wang, H.; Wang, Y.; Qiao, J.; Apreutesei, M.; Normand, B. Corrosion behavior of bulk (Zr58Nb3Cu16Ni13Al10)100−xYx (x = 0, 0.5, 2.5 at.%) metallic glasses in sulfuric acid. Corros. Sci. 2019, 150, 42–53. [Google Scholar] [CrossRef]








| Alloys | Tg (K) | Tx (K) | Tm (K) | Tl (K) | ΔT (K) | Trg (Tg/Tl) | γ (Tx/Tl + Tg) | δ (Tx/Tl − Tg) |
|---|---|---|---|---|---|---|---|---|
| Y0 | 737 | 784 | 1017 | 1143 | 47 | 0.645 | 0.417 | 1.931 |
| Y1 | 727 | 780 | 1002 | 1137 | 53 | 0.639 | 0.418 | 1.902 |
| Y2 | 722 | 779 | 1029 | 1116 | 57 | 0.647 | 0.424 | 1.977 |
| Y3 | 709 | 767 | 1008 | 1112 | 58 | 0.638 | 0.421 | 1.903 |
| Alloys | Heating Rates (K/min) | Tg (K) | Tx (K) | Tp (K) |
|---|---|---|---|---|
| Y0 | 10 | 725 | 774 | 778 |
| 20 | 737 | 784 | 788 | |
| 40 | 748 | 798 | 802 | |
| 60 | 761 | 808 | 812 | |
| Y1 | 10 | 719 | 771 | 776 |
| 20 | 727 | 780 | 787 | |
| 40 | 741 | 796 | 800 | |
| 60 | 753 | 806 | 810 | |
| Y2 | 10 | 712 | 767 | 771 |
| 20 | 722 | 779 | 782 | |
| 40 | 727 | 788 | 793 | |
| 60 | 737 | 798 | 802 | |
| Y3 | 10 | 699 | 759 | 761 |
| 20 | 709 | 767 | 770 | |
| 40 | 719 | 777 | 780 | |
| 60 | 725 | 783 | 787 |
| Alloys | Fitting Methods | Eg (kJ/mol) | Ex (kJ/mol) | Ep (kJ/mol) |
|---|---|---|---|---|
| Y0 | Kissinger | 221 ± 21 | 259 ± 19 | 261 ± 19 |
| Ozawa | 222 ± 21 | 259 ± 18 | 261 ± 18 | |
| Y1 | Kissinger | 220 ± 28 | 244 ± 30 | 263 ± 15 |
| Ozawa | 213 ± 27 | 258 ± 13 | 263 ± 14 | |
| Y2 | Kissinger | 312 ± 45 | 290 ± 22 | 288 ± 35 |
| Ozawa | 308 ± 43 | 288 ± 20 | 286 ± 12 | |
| Y3 | Kissinger | 278 ± 1 | 349 ± 22 | 327 ± 19 |
| Ozawa | 276 ± 1 | 348 ± 12 | 323 ± 18 |
| Samples | Ecorr (V) | Icorr (A/cm2) | Rs (Ω·cm2) | Rp (kΩ·cm2) | CPE | |
|---|---|---|---|---|---|---|
| n | Q0 (Ω−1·cm−2·s−n) | |||||
| Y0 | −0.31 | 2.0 × 10−8 | 0.10 | 900 | 0.92 | 1.0 × 10−5 |
| Y1 | −0.44 | 1.4 × 10−8 | 0.04 | 613 | 0.94 | 1.3 × 10−5 |
| Y2 | −0.42 | 1.1 × 10−8 | 0.08 | 1114 | 0.90 | 2.0 × 10−5 |
| Y3 | −0.61 | 2.7 × 10−8 | 0.13 | 235 | 0.89 | 1.6 × 10−5 |
Disclaimer/Publisher’s Note: The statements, opinions and data contained in all publications are solely those of the individual author(s) and contributor(s) and not of MDPI and/or the editor(s). MDPI and/or the editor(s) disclaim responsibility for any injury to people or property resulting from any ideas, methods, instructions or products referred to in the content. |
© 2023 by the authors. Licensee MDPI, Basel, Switzerland. This article is an open access article distributed under the terms and conditions of the Creative Commons Attribution (CC BY) license (https://creativecommons.org/licenses/by/4.0/).
Share and Cite
Zhou, Y.; Zhao, L.; Qu, Y.; Hu, L.; Qi, L.; Qu, F.; He, S.; Liu, X. Effect of Yttrium Doping on Glass-Forming Ability, Thermal Stability, and Corrosion Resistance of Zr50.7Cu28Ni9Al12.3 Bulk Metallic Glass. Metals 2023, 13, 521. https://doi.org/10.3390/met13030521
Zhou Y, Zhao L, Qu Y, Hu L, Qi L, Qu F, He S, Liu X. Effect of Yttrium Doping on Glass-Forming Ability, Thermal Stability, and Corrosion Resistance of Zr50.7Cu28Ni9Al12.3 Bulk Metallic Glass. Metals. 2023; 13(3):521. https://doi.org/10.3390/met13030521
Chicago/Turabian StyleZhou, Yuzhao, Ling Zhao, Yuwei Qu, Liwei Hu, Li Qi, Fengsheng Qu, Shixiong He, and Xue Liu. 2023. "Effect of Yttrium Doping on Glass-Forming Ability, Thermal Stability, and Corrosion Resistance of Zr50.7Cu28Ni9Al12.3 Bulk Metallic Glass" Metals 13, no. 3: 521. https://doi.org/10.3390/met13030521
APA StyleZhou, Y., Zhao, L., Qu, Y., Hu, L., Qi, L., Qu, F., He, S., & Liu, X. (2023). Effect of Yttrium Doping on Glass-Forming Ability, Thermal Stability, and Corrosion Resistance of Zr50.7Cu28Ni9Al12.3 Bulk Metallic Glass. Metals, 13(3), 521. https://doi.org/10.3390/met13030521

