Bulk Ultrasonic Treatment of Crystalline Materials
Abstract
1. Introduction
2. Mechanisms of the Effect of Ultrasound on the Structure of Materials
3. Methods and Instruments of Bulk Ultrasonic Treatment of Metals

4. Structural Changes in Metals and Alloys under Ultrasonic Irradiation
4.1. Zinc Crystals
4.2. Aluminum and Its Alloys
4.3. Copper Crystals

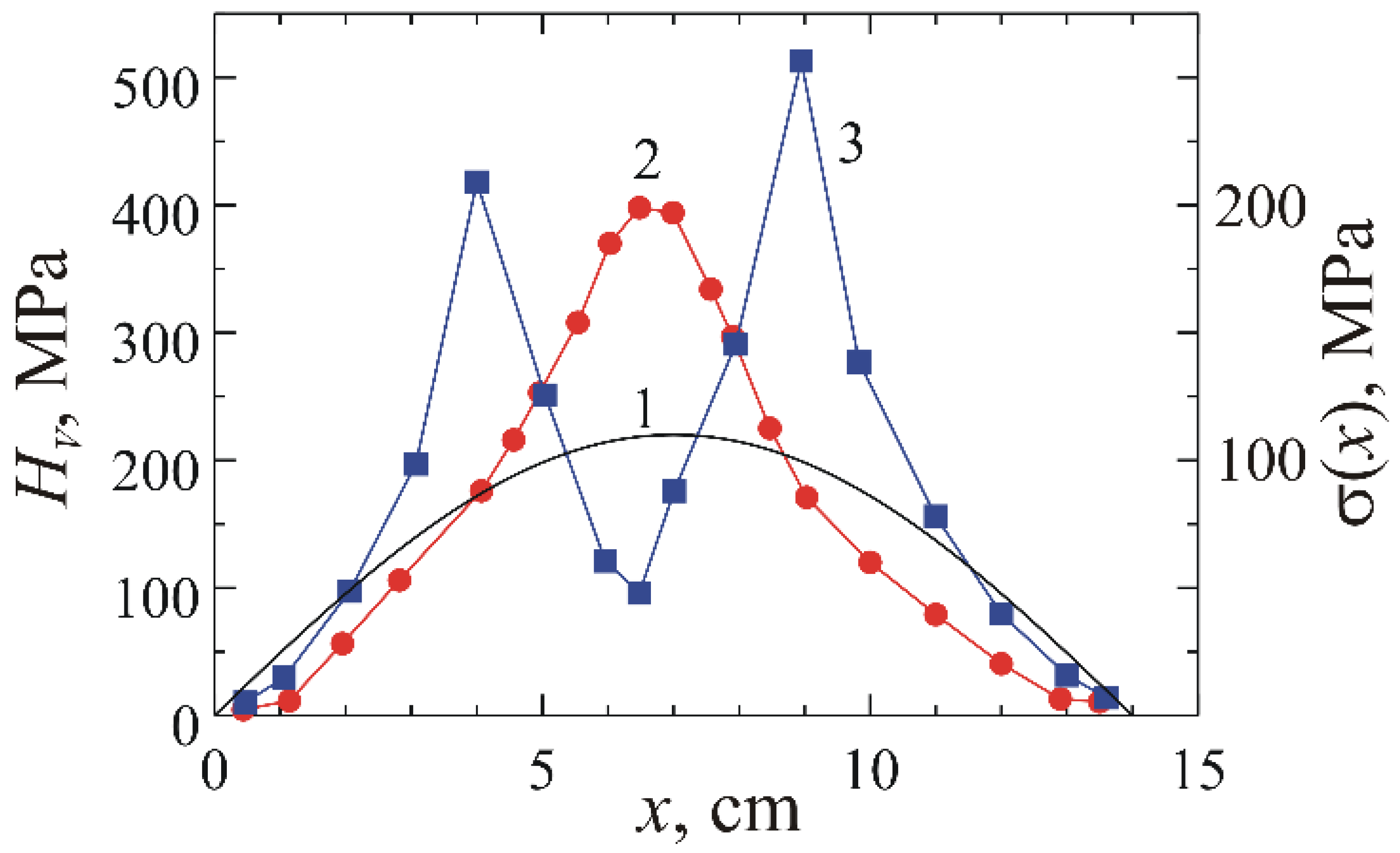
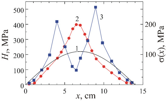
4.4. Nickel and Its Alloys


| Specimen | X-ray | EBSD | Hv, MPa | ||||||
|---|---|---|---|---|---|---|---|---|---|
| <d> (nm) | Microstrain | Dislocation Density (m−2) | <d> (µm) Intercept | <d> (µm) Diameter | LAB (%) | CSL (%) | Dislocation Density (m−2) | ||
| CG | 782 ± 85 | 7.19 × 10−5 | 1.28 × 1012 | 156 | 180 | 7.8 | 50.7 | 2.44 × 1011 | 1060 ± 50 | 
| UST 20 | 681 ± 24 | 6.57 × 10−4 | 1.34 × 1013 | 164 | 173 | 19.4 | 40.7 | 3.16 × 1012 | 1375 ± 47 | 
| UST 40 | 354 ± 44 | 2.10 × 10−4 | 0.8 × 1013 | 212 | 147 | 71.9 | 7.3 | 7.6 × 1012 | 1570 ± 45 | 
| UST 80 | 377 ± 18 | 3.78 × 10−4 | 1.37 × 1013 | 103 | 80 | 59.4 | 17.4 | 10.2 × 1012 | 1645 ± 43 | 
4.5. Steels
4.6. Refractory Metals
4.7. Ionic Crystals
5. Ultrasound-Induced Dispersion Strengthening of Alloys

6. Recovery Processes under Ultrasonic Treatment


7. Effect of Bulk Ultrasound Treatment on the Structure and Mechanical Properties of UFG Metals
7.1. Ultrafine-Grained Nickel




7.2. Hexagonal Close-Packed Metals and Alloys
8. Simulations of the Effect of Ultrasound on Crystal Lattice Defects
8.1. Discrete Dislocation Simulations




8.2. Molecular Dynamics Simulations





| State No. | Equilibrium | 0.05_1 | 0.05_2 | 0.10_1 | 0.10_2 | 0.15_1 | 0.15_2 | 
|---|---|---|---|---|---|---|---|
| 0 K | |||||||
| , Jm−2 | 1.27 | 1.41 | 1.39 | 1.56 | 1.54 | 1.79 | 1.74 | 
| , Jm−2 | 0 | 0.14 | 0.12 | 0.29 | 0.27 | 0.52 | 0.47 | 
| 300 K | |||||||
| , Jm−2 | 1.26 | 1.36 | 1.34 | 1.52 | 1.50 | 1.75 | 1.64 | 
| 0 | 0.0183 | 1.75 | 
| 2 | 0.0174 | 1.66 | 
| 3 | 0.0158 | 1.50 | 
| 4 | 0.0127 | 1.21 | 

9. Problems and Prospects
10. Summary
- Ultrasonic irradiation is a versatile method of the treatment of crystalline materials, the effect of which spans from the intensive generation of dislocations and work hardening to the rearrangement and annihilation of dislocations with subsequent softening. In materials with a low density of dislocations, i.e., well-annealed materials, USTs result in a dislocation accumulation and work hardening. In materials with a high density of dislocation, i.e., deformed ones, USTs lead to the relaxation of the dislocation structure and in the most cases to softening.
- USTs not only change the dislocation structure of materials but greatly affect the ageing in alloys. UST-assisted ageing can result in an order-of-magnitude increase in the rate of the precipitation of hardening particles which enables us to carry out the ageing processes at lower temperatures than those of ordinary ageing.
- The post-SPD treatment of ultrafine-grained materials by ultrasound can result in a relaxation of their nonequilibrium structure and internal stresses, thereby enhancing their thermal stability and ductility without compromising the strength achieved due to the SPD. This effect is particularly pronounced in fcc Ni, but for hcp metals and alloys, the result may depend on their stacking fault energy.
- Discrete dislocation dynamics and molecular dynamics simulations allow for in-depth studies of the effect of cyclic stresses on the dislocation and atomic structures of deformed materials and reveal two basic mechanisms of the relaxation under the effect of UST: the absorption and emission of lattice dislocations by nonequilibrium grain boundaries, which compensates for the EGBD systems accumulated in the grain boundaries during the SPD.
- Developing methods for exciting ultrasonic stresses in bulk materials, studying the fundamentals of the effect of UST on the structure and properties of nonequilibrium materials with different crystal structures, the ageing of alloys and the phyciso-mechanical properties of commercial alloys can be considered as key directions for future research in this field.
Author Contributions
Funding
Data Availability Statement
Conflicts of Interest
Abbreviations
| CSL | Coincidence site lattice | 
| DDD | Discrete dislocation dynamics | 
| EBSD | Electron back scatter diffraction | 
| ECAP | Equal channel angular pressing | 
| HPT | High pressure torsion | 
| IPF | Inverse pole figure | 
| KAM | Kernel average misorientation | 
| LAB | Low-angle boundary | 
| HAB | High-angle boundary | 
| MD | Molecular dynamics | 
| SPD | Severe plastic deformation | 
| UST | Ultrasonic treatment | 
| UFG | Ultrafine-grained | 
| XRD | X-ray diffraction | 
References
- Eskin, G.L. Ultrasonic Treatment of Light Alloy Melts; Gordon and Breach: Amsterdam, The Netherlands, 1998. [Google Scholar]
- Abramov, O.V. Ultrasound in Liquid and Solid Metals; CRC Press: London, UK, 1994. [Google Scholar]
- Blaha, F.; Langenecker, B. Dehnung von Zink Kristallen unter Ultraschalleinwirkung. Naturwissenschaften 1955, 42, 556. [Google Scholar] [CrossRef]
- Severdenko, V.G.; Klubovich, V.V.; Stepanenko, A.V. Metal Forming with Ultrasound; Nauka i Tekhnika: Minsk, Belarus, 1973. (In Russian) [Google Scholar]
- Graff, K.F. Ultrasonic Metal Forming: Materials. In Power Ultrasonics-Applications of High-Intensity Ultrasound; GallegoJuárez, J.A., Graff, K.F., Eds.; Woodhead: Cambridge, UK, 2015; pp. 337–376. [Google Scholar]
- Graff, K.F. Ultrasonic Metal Forming: Processing. In Power Ultrasonics-Applications of High-Intensity Ultrasound; GallegoJuárez, J.A., Graff, K.F., Eds.; Woodhead: Cambridge, UK, 2015; pp. 377–438. [Google Scholar]
- Puskar, A. Surface Strengthening of mild-steel by high amplitude ultrasonics. Acta Metall. Mater. 1976, 24, 861–866. [Google Scholar] [CrossRef]
- Peslo, A. Ultrasonic hardening of aluminum-alloys. Ultrasonics 1984, 22, 37–41. [Google Scholar] [CrossRef]
- Mordyuk, B.N.; Prokopenko, G.I. Ultrasonic impact peening for the surface properties’ management. J. Sound Vibr. 2007, 308, 855–866. [Google Scholar] [CrossRef]
- Panin, A.V.; Melnikova, E.A.; Perevalova, O.B.; Pochivalov, Y.I.; Leontyeva-Smirnova, M.V.; Chernov, V.M.; Ivanov, Y.F. Nanocrystalline structure formation in EK-181 steel surface layers on ultrasonic treatment. Phys. Mesomech. 2009, 12, 150–159. [Google Scholar] [CrossRef]
- Graff, K.F. Ultrasonic Metal Welding. In New Developments in Advanced Welding; Ahmed, T., Ed.; Woodhead: Cambridge, UK, 2005; pp. 241–269. [Google Scholar]
- White, D. Ultrasonic Object Consolidation. U.S. Patent 6,519,500, 23 March 2000. [Google Scholar]
- Hehr, A.; Norfolk, M. A comprehensive review of ultrasonic additive manufacturing. Rapid Prototyping J. 2019, 26, 445–458. [Google Scholar] [CrossRef]
- Abramov, O.V. High-Intensity Ultrasonics: Theory and Industrial Applications; CRC Press: Boca Raton, FL, USA, 1999. [Google Scholar]
- Tanibayashi, T. A theory of the Blaha effect. Phys. Status Solidi (A) 1991, 128, 83–94. [Google Scholar] [CrossRef]
- Malygin, G.A. Acoustoplastic effect and the stress superimosition mechanism. Phys. Solid State 2000, 42, 72–78. [Google Scholar] [CrossRef]
- John, M.; Kalvala, P.R.; Misra, M.; Menezes, P.L. Peening techniques for surface modification: Processes, properties, and applications. Materials 2021, 14, 3841. [Google Scholar] [CrossRef]
- Gindin, I.A.; Neklyudov, I.M.; Starolat, M.P.; Malik, G.N.; Volchok, O.I. Dislocation structure of nickel after alternating loading with low and high frequencies. Fiz. Tverd. Tela 1970, 12, 2456–2458. (In Russian) [Google Scholar]
- Gottstein, G. Physical Foundations of Materials Science; Springer: Berlin/Heidelberg, Germany, 2004. [Google Scholar]
- Lothe, J.; Hirth, J.P. Theory of Dislocations; McGraw-Hill Book Company: New York, NY, USA, 1967. [Google Scholar]
- Blanter, M.S.; Golovin, I.S.; Neuhauser, H.; Sinning, H.-R. Internal Friction in Metallic Materials: A Handbook; Springer: Berlin/Heidelberg, Germany, 2007. [Google Scholar]
- Mordyuk, N.S. Effect of ultrasonic vibrations on physical properties of metals and alloys. In Metallifizika; Issue 31; Naukova Dumka: Kiev, Ukraine, 1970; pp. 83–107. (In Russian) [Google Scholar]
- Langenecker, B. Ultrasonic treatment of specimens in the electron microscope. Rev. Sci. Istr. 1966, 37, 103–106. [Google Scholar] [CrossRef]
- Belostotskiy, V.F.; Kashevskaya, O.N.; Polotsliy, I.G. On structural changes in nickel occurring under the effect of ultrasound and subseauent thermal annealing. In Metallofizika; Issue 42; Naukova Dumka: Kiev, Ukraine, 1972; pp. 97–201. (In Russian) [Google Scholar]
- Samigullina, A.A.; Nazarov, A.A.; Mulyukov, R.R.; Tsarenko, Y.V.; Rubanik, V.V. Effect of ultrasonic treatment on the strength and ductility of bulk nanostructured nickel processed by equal-channel angular pressing. Rev. Adv. Mater. Sci. 2014, 39, 48–53. [Google Scholar]
- Badalyan, V.G.; Vorontsova, N.N.; Kazantsev, V.F.; Nazarov, A.V. Change in dislocation structure of copper due to the interaction of static and ultrasonic stresses. Phys. Met. Metallogr. 1982, 54, 138–141. [Google Scholar]
- Gindin, I.A.; Malik, G.N.; Neklyudov, I.M.; Rozumnyi, O.T. Effect of ultrasonic vibrations on the parameters of the hardening curve for copper single crystals. Sov. Phys. J. 1971, 15, 192–196. [Google Scholar] [CrossRef]
- Gleiter, G. Nanocrystalline materials. Progr. Mater. Sci. 1989, 33, 223–315. [Google Scholar] [CrossRef]
- Nazarova, A.A.; Mulyukov, R.R.; Rubanik, V.V.; Tsarenko, Y.V.; Nazarov, A.A. Effect of ultrasonic treatment on the structure and properties of ultrafine-grained nickel. Phys. Metals Metallogr. 2010, 110, 574–581. [Google Scholar] [CrossRef]
- Samigullina, A.A.; Mukhametgalina, A.A.; Sergeyev, S.N.; Zhilyaev, A.P.; Nazarov, A.A.; Zagidullina, Y.R.; Parkhimovich, N.Y.; Rubanik, V.V.; Tsarenko, Y.V. Microstructure changes in ultrafine-grained nickel processed by high pressure torsion under ultrasonic treatment. Ultrasonics 2018, 82, 313–321. [Google Scholar] [CrossRef]
- Samigullina, A.; Murzinova, M.; Mukhametgalina, A.; Zhilyaev, A.; Nazarov, A. Effect of ultrasonic treatment on the characteristics of superplasticity of titanium alloy Ti-6Al-4V. Defect Diffus. Forum 2018, 385, 53–58. [Google Scholar] [CrossRef]
- Mukhametgalina, A.A.; Murzinova, M.A.; Nazarov, A.A.; Samigullina, A.A.; Janeček, M.; Stráský, J.; Bartha, K.; Čížek, J. Ultrasonic treatment of Ti-5Al-0.5V alloy subjected to equal-channel angular pressing. Met. Mater. Int. 2022, 28, 1257–1263. [Google Scholar] [CrossRef]
- Langenecker, B. Work hardening of zinc crystals by high-amplitude ultrasonic waves. Proc. Am. Soc. Test Mater. 1962, 62, 602–609. [Google Scholar]
- Oelschlagel, D. Recent investigations into the ultrasonic influence on crystal plasticity. Acta Phys. Austriaca 1964, 18, 175–179. [Google Scholar]
- Westmacott, K.H.; Langenecker, B. Dislocation structure in ultrasonically irradiated aluminum. Phys. Rev. 1965, 14, 221–224. [Google Scholar] [CrossRef]
- Vildanova, N.F.; Noskova, N.I.; Pavlov, V.A. Effect of ultrasonic vibrations on mechanical properties and fine structure of aluminum and aluminummagnesium alloy. Fiz. Met. Metalloved. 1973, 36, 129–134. (In Russian) [Google Scholar]
- Abramov, O.V.; Kovalev, A.I.; Smirnov, O.M. The effect of ultrasonic treatment on the dislocation structure of aluminum and Al-4% Cu alloy. Fiz.Khimiya Obrab. Mater. 1974, 4, 142–144. (In Russian) [Google Scholar]
- Gindin, I.A.; Neklyudov, I.M.; Malik, G.N.; Rozumnyi, O.T. Action of ulrasonic vibrations on the resistance to plastic deformation of crystals. Fiz. Tverd. Tela 1972, 14, 1308–1313. (In Russian) [Google Scholar]
- Hayes, G.A.; Shyne, J.C. The Influence of ultrasound on the kinetics of recrystallization in copper. Met. Sci. J. 1971, 5, 19–25. [Google Scholar] [CrossRef]
- Demchenko, L.V.; Kononenko, V.A.; Mordyuk, N.S. Change of substructure misorientation of nickel-aluminum alloy during ultrasonic treatment and creep. Fiz. Met. Metalloved. 1973, 35, 1303–1312. (In Russian) [Google Scholar]
- Belostotskiy, V.F. Volume effects during heatinf of nickel irradiated by ultrasound. Fiz. Met. Metalloved. 1972, 33, 651–652. (In Russian) [Google Scholar]
- Belostotskiy, V.F.; Polotskiy, I.G. Influence of ultrasonic irradiation on the concentration of vacancies and dislocations in nickel. Fiz. Met. Metalloved. 1973, 35, 660–662. (In Russian) [Google Scholar]
- Belostotskiy, V.F. Point defects formed during low-temperature ultrasonic fatigue of copper and nickel. Fiz. Met. Metalloved. 1990, 69, 173–179. (In Russian) [Google Scholar]
- Zhilyaev, A.P.; Samigullina, A.A.; Nazarov, A.A.; Shayakhmetova, E.R. Structure evolution in coarse-grained nickel under ultrasonic treatment. Mater. Sci. Eng. A 2018, 731, 231–238. [Google Scholar] [CrossRef]
- Samigullina, A.A.; Zhilyaev, A.P.; Shayakhmetova, E.R.; Nazarov, A.A.; Mukhametgalina, A.A. Effect of ultrasonic treatment on the structure of coarse-grained nickel. Mater. Sci. Eng. A 2020, 772, 138764. [Google Scholar] [CrossRef]
- Bachurin, D.V.; Murzaev, R.T.; Nazarov, A.A. Relaxation of dislocation structures under ultrasonic influence. Int. J. Sol. Str. 2018, 156, 1–13. [Google Scholar] [CrossRef]
- Fedorova, L.R.; Kovalenko, P.I. Effect of ultrasonic vibrations on microstresses in deformed steel Kh18N10T. Met. Sci. Heat Treat. 1975, 17, 262–264. [Google Scholar] [CrossRef]
- Pushkar, A. Influence of high-frequency cyclic loading on mechanical properties and dislocation structure of mild steel. Fiz. Met. Metalloved. 1973, 36, 844–848. (In Russian) [Google Scholar]
- Prokopenko, G.I.; Trefilov, V.I.; Firstov, S.A. Effect of ultrasound on the dislocation structure of molybdenum single crystals. Fiz. Tverd. Tela 1969, 11, 755–757. (In Russian) [Google Scholar]
- Kovsh, S.V.; Kotko, V.A.; Polotskiy, I.G.; Prokpoenko, G.I.; Trefilov, V.I.; Firstov, S.A. Action of ultrasound on the dislocation structure and mechanical properties of molybdenum. Fiz. Met. Metalloved. 1973, 35, 1199–1205. (In Russian) [Google Scholar]
- Tyapunina, N.A.; Zinenkova, G.M.; Shtrom, E.V. Dislocation multiplication in alkali halid crystals exposed to ultrasonic waves. Phys. Status Solidi 1978, 48, 327–336. [Google Scholar] [CrossRef]
- Tyapunina, N.A.; Blagoveshchenskii, V.V. Dislocation behaviour and multiplication under ultrasound. Phys. Status Solidi (A) 1982, 69, 77–83. [Google Scholar] [CrossRef]
- Tyapunina, N.A.; Blagoveshchenskii, V.V.; Zinenkova, G.M.; Ivashkin, Y.A. Characteristics of plastic deformation under the action of ultrasound. Sov. Phys. J. 1982, 25, 569–578. [Google Scholar] [CrossRef]
- Tyapunina, N.A.; Blagoveshchenskii, V.V.; Lomakin, A.L. Influence of the stress field of a tilt boundary on a Frank-Read source generating dislocations under the action of ultrasound. Sov. Phys. J. 1985, 28, 118–121. [Google Scholar] [CrossRef]
- Tyapunina, N.A.; Naimi, E.K.; Zinenkova, G.M. Action of Ultrasound on Crystals with Defects; Moscow State University Press: Moscow, Russia, 1999. (In Russian) [Google Scholar]
- Tyapunina, N.A.; Ivashkin, Y.A. Excess concentration of point defects in alkali halide crystals exposed to ultrasonic waves. Phys. Status Solidi (A) 1983, 79, 351–359. [Google Scholar] [CrossRef]
- Elango, M.A. Mechanism of radiation-induced coloration of NaCl crystals. J. Appl. Spectrosc. 1966, 5, 399–400. [Google Scholar] [CrossRef]
- Kulemin, A.V. Ultrasound and Diffusion in Metals; Metallurgy: Moscow, Russia, 1978. (In Russian) [Google Scholar]
- Gladman, T. Precipitation hardening in metals. Mater. Sci. Technol. 1999, 15, 30–36. [Google Scholar] [CrossRef]
- Gorsky, F.K.; Efremov, V.I. Effect of ultrasound on decomposition of solid solutions. Izv. AN BSSR 1953, 3, 155–164. (In Russian) [Google Scholar]
- Pogodina-Alekseeva, K.V.; Eskin, G.I. Effect of ultrasonic vibrations on dispersion strengthening and processes during tempering of some alloys. Met.Termicheskaya Obrab. 1956, 1, 42–44. (In Russian) [Google Scholar]
- Gudtsov, N.G.; Gavze, M.N. Effect of ultrasonic vibrations on the processes occurring in metallic alloys. Russ. J. Inorg. Chem. 1956, 1, 79. [Google Scholar]
- Al’ftan, E.A.; Ermakov, V.S. Effect of ultrasound on ageing of nickel-chrome-titanium alloy. Sov. Phys.-Acoust. 1958, 4, 319–326. [Google Scholar]
- Parhutik, P.A. Aging of alloys in a non-uniform field of ultrasonic vibrations. Met. Sci. Heat Treat. 1964, 6, 39–41. [Google Scholar] [CrossRef]
- Schenck, V.H.; Schmidtmann, E. Einfluß von Wechselbeanspruchungen auf Diffusions und Ausscheidungsvörgange in unlegierten Stählen. Arch. Eisenhüttenwesen 1954, 25, 579–588. [Google Scholar] [CrossRef]
- Hayes, G.A.; Shyne, J.C. The influence of ultrasound on the kinetics of precipitation-hardening in a Cu-Be alloy. Metal Sci. J. 1968, 2, 81–85. [Google Scholar] [CrossRef]
- Bazelyuk, G.Y.; Polotskiy, I.G.; Kashevskaya, O.N.; Sherman, O.G.; Nesterova, T.N. Effect of ultrasonic vibrations on the strength parameters of dispersion-hardening alloy AK4-1. Phys. Met. Metallogr. 1976, 42, 163–166. [Google Scholar]
- Hempel, M. Beitrag zur Frage der Wechselfestigkeit bei unterschiedlicher Probengröße. Arch. Für Das Eisenhüttenwesen 1951, 22, 425–436. [Google Scholar] [CrossRef]
- Sinclair, G.M. An investigation of the coaxing effect in fatigue of metals. Proc. Am. Soc. Test Mater. 1952, 52, 743–751. [Google Scholar]
- Pogodina-Alekseeva, K.M.; Kremlev, E.M. Influence of ultrasonic vibrations on the relief of residual stresses during tempering of KhVG steel. Met. Sci. Heat Treat. 1966, 8, 690–691. [Google Scholar] [CrossRef]
- Mats, O.V.; Netesov, V.M.; Sokolenko, V.I.; Kovtun, K.V. Relaxation effects in the strained hafnium at an ultrasonic action. Probl. At. Sci. Technol. 2009, 62, 167–169. (In Russian) [Google Scholar]
- Mats, A.V.; Netesov, V.M.; Sokolenko, V.I. Dislocation structure and impact toughness of reactor pressure vessel steel 15Kh2NMFA. Strength Mater. 2011, 43, 515–518. [Google Scholar] [CrossRef]
- Mordyuk, N.S.; Mordyuk, V.S.; Buryak, V.V. Change of the properties of molybenum and tungsten under the application of ultrasound in deformation process. Metallofizika 1978, 72, 45–49. (In Russian) [Google Scholar]
- Zohrevand, M.; Aghaie-Khafri, M.; Forouzan, F.; Vuorinen, E. Softening mechanisms in ultrasonic treatment of deformed austenitic stainless steel. Ultrasonics 2021, 116, 106519. [Google Scholar] [CrossRef]
- Zohrevand, M.; Aghaie-Khafri, M.; Forouzan, F.; Vuorinen, E. Internal stress relief and microstructural evolution by ultrasonic treatment of austeno-ferritic 2205 duplex stainless steel. Mater. Sci. Eng. A 2021, 815, 141290. [Google Scholar] [CrossRef]
- Zohrevand, M.; Aghaie-Khafri, M.; Forouzan, F.; Vuorinen, E. Microstructural evolutions under ultrasonic treatment in 304 and 316 austenitic stainless steels: Impact of stacking fault energy. Steel Res. Int. 2021, 92, 2100041. [Google Scholar] [CrossRef]
- Voyevodin, V.N.; Volchok, O.I.; Ozhigov, L.S.; Okovit, V.S.; Chirkina, L.A. The effect of ultrasonic action on relaxation processes and irradiation embrittlement in reactor vessel steels. Probl. At. Sci. Technol. 2017, 108, 3–13. [Google Scholar]
- Nazarov, A.A.; Mulyukov, R.R. Nanostructured Materials. In Nanoscience, Engineering and Technology Handbook; Lyshevski, S., Brenner, D., Iafrate, J., Goddard, W., Eds.; CRC Press: Boca Raton, FL, USA, 2002; pp. 22-1–22-41. [Google Scholar]
- Valiev, R.Z.; Zhilyaev, A.P.; Langdon, T.G. Bulk Nanostructured Materials: Fundamentals and Applications; Wiley: Hoboken, NJ, USA, 2014. [Google Scholar]
- Valiev, R.Z.; Nazarov, A.A. Bulk nanostructured materials by SPD processing: Techniques, microstructures and properties. In Bulk Nanostructured Materials; Zehetbauer, M.J., Zhu, Y.T., Eds.; Wiley: Hoboken, NJ, USA; pp. 21–48.
- Mulyukov, R.R.; Nazarov, A.A.; Imayev, R.M. Analysis of the fundamental mechanisms and efficiency of the deformation methods of nanostructuring. Mater. Sci. Forum 2008, 584, 29–34. [Google Scholar] [CrossRef]
- Imayev, R.; Nazarov, A.; Mulyukov, R. Principles of fabrication of bulk ultrafine-grained and nanostructured materials by multiple isothermal forging. Mater. Sci. Forum 2010, 638, 1702–1707. [Google Scholar] [CrossRef]
- Valiev, R.Z.; Korznikov, A.V.; Mulyukov, R.R. Structure and properties of metallic materials with a submicrocrystalline structure. Phys. Met. Metallogr. 1992, 4, 70. [Google Scholar]
- Valiev, R.Z.; Korznikov, A.V.; Mulyukov, R.R. Structure and properties of ultrafine-grained materials produced by severe plastic deformation. Mater. Sci. Eng. A 1993, 168, 141–148. [Google Scholar] [CrossRef]
- Nazarov, A.A. Review: Nonequilibrium grain boundaries in bulk nanostructured metals and their recovery under the influences of heating and cyclic deformation. Lett. Mater. 2018, 8, 372–381. [Google Scholar] [CrossRef]
- Nazarova, A.; Mulyukov, R.; Tsarenko, Y.; Rubanik, V.; Nazarov, A. Effect of ultrasonic treatment on the microstructure and properties of nanostructured nickel processed by high pressure torsion. Mater. Sci. Forum 2011, 667–669, 605–609. [Google Scholar] [CrossRef]
- Mukhametgalina, A.A.; Samigullina, A.A.; Sergeev, S.N.; Zhilyaev, A.P.; Nazarov, A.A.; Zagidullina, Y.R.; Parkhimovich, N.Y.; Rubanik, V.V.; Tsarenko, Y.V. Effect of ultrasonic treatment on the structure and microhardness of ultrafine grained nickel processed by high pressure torsion. Lett. Mater. 2017, 7, 85–90. [Google Scholar] [CrossRef]
- Zhilyaev, A.P.; Samigullina, A.A.; Medvedeva, A.E.; Sergeev, S.N.; Cabrera, J.M.; Nazarov, A.A. Softening and hardening of ECAP nickel under ultrasonic treatment. Mater. Sci. Eng. A 2017, 698, 136–142. [Google Scholar] [CrossRef]
- Samigullina, A.A.; Mulyukov, R.R.; Nazarov, A.A.; Mukhametgalina, A.A.; Tsarenko, Y.V.; Rubanik, V.V. The increase of impact strength of ultrafine grained nickel after ultrasonic treatment. Lett. Mater. 2014, 4, 52–54. [Google Scholar] [CrossRef]
- Qin, W. Improvement and application of zirconium alloys. Metals 2018, 8, 794. [Google Scholar] [CrossRef]
- Eroshenko, A.Y.; Mairambekova, A.M.; Sharkeev, Y.P.; Kovalevskaya, Z.G.; Khimich, M.A.; Uvarkin, P.V. Structure, Phase composition and mechanical properties of bioinert zirconium-based alloy after severe plastic deformation. Lett. Mater. 2017, 7, 469–472. [Google Scholar] [CrossRef]
- Sokolenko, V.I.; Gorbatenko, V.M.; Karaseva, E.V.; Mats, A.V.; Savchuk, E.S.; Frolov, V.A. Ultrasound influence on the creep nanostructured Zr. Probl. At. Sci. Technol. 2016, 101, 41–44. [Google Scholar]
- Sokolenko, V.I.; Gorbatenko, V.M.; Karaseva, E.V.; Mats, A.V.; Savchuk, E.S.; Frolov, V.A. Effect of ultrasonic impact treatment on creep characteristics and evolution of Zr1Nb alloy nanostructure. Funct. Mater. 2018, 25, 458–462. [Google Scholar] [CrossRef]
- Mats, A.V.; Netesov, V.M. Ultrasonic influence on nanostructure in Zr-2.5% Nb alloy. Probl. At. Sci. Technol. 2011, 74, 108–110. [Google Scholar]
- Lütjering, G.; Williams, J.C. Titanium, 2nd ed.; Springer: Berlin/Heidelberg, Germany, 2007. [Google Scholar] [CrossRef]
- Elias, C.N.; Lima, J.H.C.; Valiev, R.; Meyers, M.A. Biomedical applications of titanium and its alloys. JOM 2008, 60, 46–49. [Google Scholar] [CrossRef]
- Mukhametgalina, A.A.; Murzinova, M.A.; Nazarov, A.A. The microstructure and properties of the alloy Ti-5Al-0.5V subjected to ECAP and ultrasonic treatment. IOP Conf. Ser. Mater. Sci. Eng. 2019, 672, 012047. [Google Scholar] [CrossRef]
- Murzaev, R.T.; Bachurin, D.V.; Mukhametgalina, A.A.; Murzinova, M.A.; Nazarov, A.A. Ultrasonic treatment of ultrafine-grained titanium. Phys. Lett. A 2020, 384, 126906. [Google Scholar] [CrossRef]
- Savchuk, E.S.; Sokolenko, V.I.; Karaseva, E.V.; Mats, A.V.; Frolov, V.A. Modification of structure and properties of nanostructured VT1-0 titanium alloy under ultrasonic influence. Probl. At. Sci. Technol. 2022, 140, 44–48. [Google Scholar] [CrossRef]
- Al-Samman, T.; Letzig, D.; Yi, S. Microstructure–Mechanical Properties and Application of Magnesium Alloys. Metals 2021, 11, 1958. [Google Scholar] [CrossRef]
- Aksenov, D.A.; Nazarov, A.A.; Raab, G.I.; Raab, A.G.; Fakhretdinova, E.I.; Asfandiyarov, R.N.; Shishkunova, M.A.; Sementeeva, Y.R. Effects of severe plastic deformation and ultrasonic treatment on the structure, strength, and corrosion resistance of Mg-Al-Zn alloy. Materials 2022, 15, 7200. [Google Scholar] [CrossRef] [PubMed]
- Raabe, D. Computational Materials Science: The Simulation of Materials Microstructures and Properties; Wiley: New York, NY, USA, 1998. [Google Scholar]
- Zhou, K.; Liu, B. Molecular Dynamics Simulation Fundamentals and Applications; Elsevier: Amsterdam, The Netherlands, 2022. [Google Scholar]
- Fokin, A.I.; Khannanov, S.K. Numerical study of the motion of dislocation tripoles under the action of oscillating stresses. In Numerical Methods in Applied Mathematics: Collection of Papers; Bashkiria Branch USSR Academy of Science: Ufa, Russia, 1985; pp. 111–118. (In Russian) [Google Scholar]
- Hull, D.; Bacon, D.J. Introduction to Dislocations, 5th ed.; Butterworth-Heinemann: Oxford, UK, 2011. [Google Scholar]
- Murzaev, R.T.; Bachurin, D.V.; Nazarov, A.A. Interaction of dislocation tripoles with a standing sound wave. Phys. Met. Metallogr. 2015, 116, 1057–1065. [Google Scholar] [CrossRef]
- Murzaev, R.T.; Bachurin, D.V.; Nazarov, A.A. Drift of dislocation tripoles under ultrasound influence. Ultrasonics 2016, 64, 77–82. [Google Scholar] [CrossRef]
- Nazarov, A.A.; Khannanov, S.K. Ultrasonic stimulation of the polygonization process. Phys. Chem. Mater. Treat. 1986, 4, 109–114. (In Russian) [Google Scholar]
- Tyapunina, N.A.; Lomakin, M.M.; Khristu, K. Dynamic structures of dislocation dipoles under ultrasound action. Fiz. Tverd. Tela 1990, 32, 1097–1101. (In Russian) [Google Scholar]
- Bushueva, G.V.; Zinenkova, G.M.; Tyapunina, N.A.; Degtyarev, V.T.; Losev, A.Y.; Plotnikov, F.A. Self-organization of dislocations in an ultrasound field. Crystallogr. Rep. 2008, 53, 474–479. [Google Scholar] [CrossRef]
- Bachurin, D.V.; Murzaev, R.T.; Nazarov, A.A. Ultrasonic influence on evolution of disordered dislocation structures. Modell. Simul. Mater. Sci. Eng. 2017, 25, 085010. [Google Scholar] [CrossRef]
- Murzaev, R.T.; Bachurin, D.V.; Nazarov, A.A. Relaxation of the residual defect structure in deformed polycrystals under ultrasonic action. Phys. Met. Metallogr. 2017, 118, 621–629. [Google Scholar] [CrossRef]
- Murzaev, R.T.; Bachurin, D.V.; Nazarov, A.A. Simulation of the effect of ultrasound on the dislocation structure of deformed polycrystals. Phys. Met. Metallogr. 2018, 119, 993–1003. [Google Scholar] [CrossRef]
- Bachurin, D.V.; Murzaev, R.T.; Nazarov, A.A. Discrete dislocation simulation of the ultrasonic relaxation of non-equilibrium grain boundaries in a deformed polycrystal. Ultrasonics 2021, 117, 106555. [Google Scholar] [CrossRef]
- Rupert, T.J.; Schuh, C.A. Mechanically driven grain boundary relaxation: A mechanism for cyclic hardening in nanocrystalline Ni. Philos. Mag. 2012, 92, 20–28. [Google Scholar] [CrossRef]
- Hasnaoui, A.; Van Swygenhoven, H.; Derlet, P.M. On non-equilibrium grain boundaries and their effect on thermal and mechanical behaviour: A molecular dynamics computer simulation. Acta Mater. 2002, 50, 3927–3939. [Google Scholar] [CrossRef]
- Nazarov, A.A. Kinetics of grain boundary recovery in deformed polycrystals. Interface Sci. 2000, 8, 315–322. [Google Scholar] [CrossRef]
- Nazarov, A.A. Molecular dynamics simulation of the relaxation of a grain boundary disclination dipole under ultrasonic stresses. Lett. Mater. 2016, 6, 179–182. [Google Scholar] [CrossRef]
- Nazarov, A.A. Molecular dynamics simulation of the effect of ultrasonic vibrations on the structure of nonequilibrium [112] tilt grain boundaries in nickel. Rev. Adv. Mater. Sci. 2016, 47, 42–48. [Google Scholar]
- Nazarov, A.A.; Murzaev, R.T. A method for the construction of initial structures for molecular dynamics simulations of nanocrystals with nonequilibrium grain boundaries containing extrinsic dislocations. Lett. Mater. 2018, 8, 5–10. [Google Scholar] [CrossRef]
- Nazarov, A.A.; Murzaev, R.T. Nonequilibrium grain boundaries and their relaxation under oscillating stresses in columnar nickel nanocrystals studied by molecular dynamics. Comp. Mater. Sci. 2018, 151, 204–213, Erratum in Comput. Mater. Sci. 2018, 155, 554. [Google Scholar] [CrossRef]
- Nazarov, A.A. Molecular dynamics simulation of the effect of cyclic stresses on nanocrystals with nonequilibrium grain boundaries: The role of the grain size. IOP Conf. Ser. Mater. Sci. Eng. 2018, 447, 012003. [Google Scholar] [CrossRef]





| State | Ultimate Strength, MPa | Yield Stress, MPa | Elongation, % | 
|---|---|---|---|
| Initial | 190 ± 10 | 120 ± 5 | 8 ± 1 | 
| SPD-processed | 280 ± 10 | 185 ± 10 | 14 ± 1 | 
| SPD + UST | 310 ± 5 | 215 ± 10 | 14 ± 1 | 
| Disclaimer/Publisher’s Note: The statements, opinions and data contained in all publications are solely those of the individual author(s) and contributor(s) and not of MDPI and/or the editor(s). MDPI and/or the editor(s) disclaim responsibility for any injury to people or property resulting from any ideas, methods, instructions or products referred to in the content. | 
© 2023 by the authors. Licensee MDPI, Basel, Switzerland. This article is an open access article distributed under the terms and conditions of the Creative Commons Attribution (CC BY) license (https://creativecommons.org/licenses/by/4.0/).
Share and Cite
Nazarov, A.A.; Murzinova, M.A.; Mukhametgalina, A.A.; Shayakhmetova, E.R. Bulk Ultrasonic Treatment of Crystalline Materials. Metals 2023, 13, 344. https://doi.org/10.3390/met13020344
Nazarov AA, Murzinova MA, Mukhametgalina AA, Shayakhmetova ER. Bulk Ultrasonic Treatment of Crystalline Materials. Metals. 2023; 13(2):344. https://doi.org/10.3390/met13020344
Chicago/Turabian StyleNazarov, Ayrat A., Mariya A. Murzinova, Aygul A. Mukhametgalina, and Elvina R. Shayakhmetova. 2023. "Bulk Ultrasonic Treatment of Crystalline Materials" Metals 13, no. 2: 344. https://doi.org/10.3390/met13020344
APA StyleNazarov, A. A., Murzinova, M. A., Mukhametgalina, A. A., & Shayakhmetova, E. R. (2023). Bulk Ultrasonic Treatment of Crystalline Materials. Metals, 13(2), 344. https://doi.org/10.3390/met13020344
 
         
                                                


 
       