Large Magnetic Entropy Change in GdRuSi Optimal for Magnetocaloric Liquefaction of Nitrogen
Abstract
1. Introduction
2. Materials and Methods
3. Results
3.1. Crystal Structure Analysis
3.2. Magnetic Properties and Electronic Structure
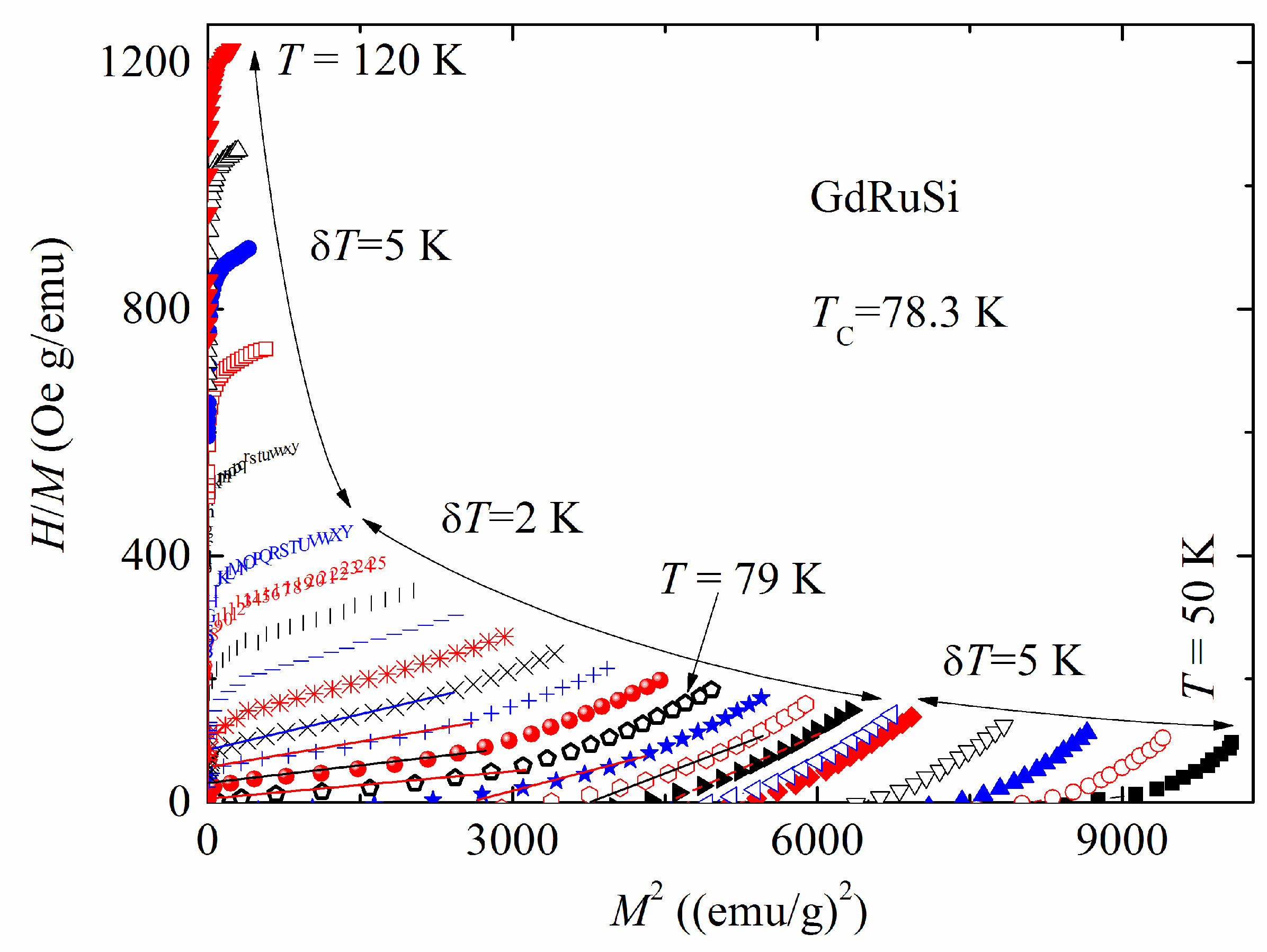
3.3. Magnetocaloric Effect
4. Conclusions
Author Contributions
Funding
Institutional Review Board Statement
Informed Consent Statement
Data Availability Statement
Acknowledgments
Conflicts of Interest
References
- Li, L.; Yan, M. Recent progresses in exploring the rare earth based intermetallic compounds for cryogenic magnetic refrigeration. J. Alloys Compd. 2020, 823, 153810. [Google Scholar] [CrossRef]
- Franco, V.; Blázquez, J.S.; Ipus, J.J.; Law, J.Y.; Moreno-Ramírez, L.M.; Conde, A. Magnetocaloric effect: From materials research to refrigeration devices. Prog. Mater. Sci. 2018, 93, 112–232. [Google Scholar] [CrossRef]
- Takeuchi, I.; Sandemana, K. Solid-state cooling with caloric materials. Phys. Today 2015, 68, 48–54. [Google Scholar] [CrossRef]
- Li, L. Review of magnetic properties and magnetocaloric effect in the intermetallic compounds of rare earth with low boiling point metals. Chin. Phys. 2016, 25, 037502. [Google Scholar] [CrossRef]
- Zhang, Y. Review of the structural, magnetic and magnetocaloric properties in ternary rare earth RE2T2X type intermetallic compounds. J. Alloys Compd. 2019, 787, 1173–1186. [Google Scholar] [CrossRef]
- Li, Y.; Zeng, Q.; Wei, Q.; Liu, E.; Han, X.; Du, Z.; Li, L.; Xi, X.; Wang, W.; Wang, S.; et al. An efficient scheme to tailor the magnetostructural transitions by staged quenching and cyclical ageing in hexagonal martensitic compounds. Acta Mater. 2019, 174, 289–299. [Google Scholar] [CrossRef]
- Qu, Y.; Cong, D.; Li, S.; Gui, W.; Nie, Z.; Zhang, M.; Ren, Y.; Wang, Y. Simultaneously achieved large reversible elastocaloric and magnetocaloric effects and their coupling in a magnetic shape memory compound. Acta Mater. 2018, 151, 41–55. [Google Scholar] [CrossRef]
- Ouyang, Y.; Zhang, M.; Yan, A.; Wang, W.; Guillou, W.; Liu, J. Plastically deformed La-Fe-Si: Microstructural evolution, magnetocaloric effect and anisotropic thermal conductivity. Acta Mater. 2020, 187, 1. [Google Scholar] [CrossRef]
- Gupta, S.; Suresh, K. Review on magnetic and related properties of RTX compounds. J. Alloys Compd. 2015, 618, 562–606. [Google Scholar] [CrossRef]
- Zhang, H.; Shen, B. Magnetocaloric effects in RTX intermetallic compounds (R = Gd–Tm, T= Fe–Cu and Pd, X = Al and Si). Chin. Phys. 2015, 24, 127504. [Google Scholar] [CrossRef]
- Duy Khanh, N.; Nakajima, T.; Yu, X.; Gao, S.; Shibata, K.; Hirschberger, M.; Yamasaki, Y.; Sagayama, H.; Nakao, H.; Peng, L.; et al. Nanometric square skyrmion lattice in a centrosymmetric tetragonal magnet. Nat. Nanotechnol. 2020, 15, 444–449. [Google Scholar] [CrossRef] [PubMed]
- Welter, R.; Venturini, G.; Malaman, B. Magnetic properties of RFeSi (R≡La–Sm, Gd–Dy) from susceptibility measurements and neutron diffraction studies. J. Alloys Compd. 1992, 189, 49–58. [Google Scholar] [CrossRef]
- Welter, R.; Venturini, G.; Malaman, B.; Ressouche, E. Crystallographic data and magnetic properties of new RTX compounds (R=La–Sm, Gd; T=Ru, Os; X=Si, Ge). Magnetic structure of NdRuSi. J. Alloys Compd. 1993, 202, 165–172. [Google Scholar] [CrossRef]
- Wlodarczyk, P.; Hawelek, L.; Zackiewicz, P.; Roy, T.; Chrobak, A.; Kaminska, M.; Kolano-Burian, A.; Szade, J. Characterization of magnetocaloric effect, magnetic ordering and electronic structure in the GdFe1-xCoxSi intermetallic compounds. Mater. Chem. Phys. 2015, 162, 273–278. [Google Scholar] [CrossRef]
- Kuchin, A.; Platonov, S.; Gaviko, V.; Yakovleva, M. Magnetic and Structural Properties of GdFe1–xTixSi. IEEE Magn. Lett. 2019, 10, 2509204. [Google Scholar] [CrossRef]
- Zhang, H.; Sun, Y.J.; Niu, E.; Yang, L.H.; Shen, J.; Hu, F.X.; Sun, J.R.; Shen, B.G. Large magnetocaloric effects of RFeSi (R=Tb and Dy) compounds for magnetic refrigeration in nitrogen and natural gas liquefaction. Appl. Phys. Lett. 2013, 103, 202412. [Google Scholar] [CrossRef]
- Guzik, A.; Talik, E.; Zajdel, P. Magnetocaloric effect of the Gd3-xTbxCo system. Intermetallics 2020, 118, 106686. [Google Scholar] [CrossRef]
- Yang, Y.; Zhang, Y.K.; Xu, X.; Geng, S.H.; Hou, L.; Li, X.; Ren, Z.M.; Wilde, G. Magnetic and magnetocaloric properties of the ternary cadmium based intermetallic compounds of Gd2Cu2Cd and Er2Cu2Cd. J. Alloys Compd. 2017, 692, 665–669. [Google Scholar] [CrossRef]
- Anisimov, V.I.; Aryasetiawan, F.; Lichtenstein, A.I. First-principles calculations of the electronic structure and spectra of strongly correlated systems: The LDA+U method. J. Phys. Condens. Matter 1997, 9, 767–808. [Google Scholar] [CrossRef]
- Giannozzi, P.; Andreussi, O.; Brumme, T.; Bunau, O.; Buongiorno Nardelli, M.; Calandra, M.; Car, R.; Cavazzoni, C.; Ceresoli, D.; Cococcioni, M.; et al. Advanced capabilities for materials modelling with Quantum ESPRESSO. J. Phys. Condens. Matter 2017, 29, 465901. [Google Scholar] [CrossRef]
- Giannozzi, P.; Baroni, S.; Bonini, N.; Calandra, M.; Car, R.; Cavazzoni, C.; Ceresoli, D.; Chiarotti, G.L.; Cococcioni, M.; Dabo, I.; et al. Quantum ESPRESSO: A modular and open-source software project for Quantum simulations of materials. J. Phys. Condens. Matter 2009, 21, 395502. [Google Scholar] [CrossRef]
- Perdew, J.P.; Burke, J.P.; Ernzerhof, M. Generalized gradient approximation made simple. Phys. Rev. Lett. 1996, 77, 3865–3868. [Google Scholar] [CrossRef]
- Topsakal, M.; Wentzcovitch, R. Accurate projected augmented wave (PAW) datasets for rare-earth elements (RE = La–Lu). Comput. Mater. Sci. 2014, 95, 263–270. [Google Scholar] [CrossRef]
- Quantum ESPRESSO, Pseudopotentials. Available online: https://www.quantum-espresso.org/pseudopotentials (accessed on 29 December 2022).
- Kuchin, A.G.; Platonov, S.P.; Lukoyanov, A.V.; Volegov, A.S.; Gaviko, V.S.; Mukhachev, R.D.; Yakovleva, M.Y. Remarkable increase of Curie temperature in doped GdFeSi compound. Intermetallics 2021, 133, 107183. [Google Scholar] [CrossRef]
- Napoletano, M.; Canepa, F.; Manfrinetti, P.; Merlo, F. Magnetic properties and the magnetocaloric effect in the intermetallic compound GdFeSi. J. Mater. Chem. 2000, 10, 1663–1665. [Google Scholar] [CrossRef]
- Ślaski, M.; Szytuła, A.; Leciejewicz, J.; Zygmunt, A. Magnetic properties of RERu2Si2 (RE = Pr, Nd, Gd, Tb, Dy, Er) intermetallics. J. Magn. Magn. Mater. 1984, 46, 114–122. [Google Scholar] [CrossRef]
- Gębara, P.; Hasiak, M. Determination of Phase Transition and Critical Behavior of the As-Cast GdGeSi-(X) Type Alloys (Where X = Ni, Nd and Pr). Materials 2021, 14, 185. [Google Scholar] [CrossRef] [PubMed]
- Mukhachev, R.D.; Lukoyanov, A.V. Composition-Induced Magnetic Transition in GdMn1-xTixSi Intermetallic Compounds for x = 0–1. Metals 2021, 11, 1296. [Google Scholar] [CrossRef]
- Baglasov, E.D.; Lukoyanov, A.V. Electronic Structure of Intermetallic Antiferromagnet GdNiGe. Symmetry 2019, 11, 737. [Google Scholar] [CrossRef]






Disclaimer/Publisher’s Note: The statements, opinions and data contained in all publications are solely those of the individual author(s) and contributor(s) and not of MDPI and/or the editor(s). MDPI and/or the editor(s) disclaim responsibility for any injury to people or property resulting from any ideas, methods, instructions or products referred to in the content. |
© 2023 by the authors. Licensee MDPI, Basel, Switzerland. This article is an open access article distributed under the terms and conditions of the Creative Commons Attribution (CC BY) license (https://creativecommons.org/licenses/by/4.0/).
Share and Cite
Kuchin, A.G.; Platonov, S.P.; Mukhachev, R.D.; Lukoyanov, A.V.; Volegov, A.S.; Gaviko, V.S.; Yakovleva, M.Y. Large Magnetic Entropy Change in GdRuSi Optimal for Magnetocaloric Liquefaction of Nitrogen. Metals 2023, 13, 290. https://doi.org/10.3390/met13020290
Kuchin AG, Platonov SP, Mukhachev RD, Lukoyanov AV, Volegov AS, Gaviko VS, Yakovleva MY. Large Magnetic Entropy Change in GdRuSi Optimal for Magnetocaloric Liquefaction of Nitrogen. Metals. 2023; 13(2):290. https://doi.org/10.3390/met13020290
Chicago/Turabian StyleKuchin, Anatoly G., Sergey P. Platonov, Roman D. Mukhachev, Alexey V. Lukoyanov, Aleksey S. Volegov, Vasilii S. Gaviko, and Mari Yu. Yakovleva. 2023. "Large Magnetic Entropy Change in GdRuSi Optimal for Magnetocaloric Liquefaction of Nitrogen" Metals 13, no. 2: 290. https://doi.org/10.3390/met13020290
APA StyleKuchin, A. G., Platonov, S. P., Mukhachev, R. D., Lukoyanov, A. V., Volegov, A. S., Gaviko, V. S., & Yakovleva, M. Y. (2023). Large Magnetic Entropy Change in GdRuSi Optimal for Magnetocaloric Liquefaction of Nitrogen. Metals, 13(2), 290. https://doi.org/10.3390/met13020290

