Abstract
To solve the edge crack problem of AZ31B magnesium alloy cold rolling, a strong pulsed electric current was introduced to the cold rolling process. The influence of intensity, frequency, width of pulsed electric current and other parameters on edge cracking of AZ31B magnesium alloy plate cold rolling was analyzed based on the principle of a single variable. According to the experimental results, the assistance of pulsed electric current cut down edge cracking and the inhibition effect increased obviously with larger current parameters. When the parameters of pulsed electric current reached 4800 A, 500 Hz, 50 μs, zero edge cracking was achieved. Statistics of edge cracks, rolling load change, and microstructure analysis showed that the current thermal effect was not obvious and non-thermal effect played a more important role in the rolling process under pulse electric current. Edge cracks initiate at the shear bands. The addition of pulse current increases the number of shear bands and presents a blanket structure. Therefore, the amount of strain experienced by a single shear band decrease, which has a positive effect on inhibiting the formation of edge cracks. Furthermore, electroplastic rolling refines the grains and weakens the basal plane. As the current parameter increases, the hardness of the magnesium strip decreases and the yield and tensile strengths increase.
1. Introduction
Magnesium alloy is the lightest structural material that has been used at present, with high specific strength and high specific stiffness, good electromagnetic shielding effect, and low density. It is widely used in the fields of aerospace, automotive, medical and digital electronics that pursue product lightweight [1,2,3]. Due to the hexagonal close-packed structure of magnesium alloys, they exhibit a strong basal texture during rolling deformation and it is difficult to start a sufficient slip system at room temperature. Hence, the pressure processing and plastic deformation of the magnesium alloy strips at room temperature is limited, and the coordinated deformation in the ND direction is poor. Therefore, edge cracks are unavoidable and even unstable fracture occurs, which greatly restricts the plastic processing and use of magnesium alloy products [4].
Through auxiliary processing intervention methods, such as increasing the rolling temperature, adding rare earth elements or changing the rolling process to improve the rolling deformation ability and product quality of magnesium alloys [5,6,7]. Relatedly, there have been many reports on the suppression of edge cracks. Manabe [8] rolled AZ31B at different temperatures at a rolling speed of 1000 m/min, and found that increasing the preheating temperature can effectively inhibit crack initiation, and the edge crack spacing increases linearly with the increase in the crack contact length. Ma [9] changed the hot rolling microstructure of the AZ31B magnesium alloy strip by multiple cross-rolling (MCR). At 400 °C, there was no obvious edge crack on the surface after four passes rolling, and found that the larger grain boundary region between fine grains can increase the crack propagation resistance. Huang [10] investigated the prefabricated crown rolling process to produce AZ31 magnesium alloy strips, which effectively inhibited the generation of edge cracks. During the rolling process, the stress state of the strip promoted the synchronous extension of the edge and central region, thus preventing the generation of edge cracks. Ding [11] found that the number and depth of edge cracks of AZ31B magnesium alloy strips decreased with the increase in rolling speed in the four-pass rolling process. Although these methods can effectively suppress the initiation of edge cracks, the process is complicated and increases production costs. As a new technology to improve the plastic deformation, microstructure and performance of metals at decreased temperatures, electric pulse-assisted treatment has a good development prospect. Troitskii [12] discovered this effect for the first time in 1963. They irradiated the electron beam from a certain direction in the uniaxial tensile experiment of Zn. Through this, it was then found that Zn crystal exhibits lower flow stress and higher elongation at break. Tang [13] studied the effect of different electric pulse frequencies on electroplastic rolling of AZ31 magnesium alloy strips. They found that the non-basal slip was activated at 500 Hz, and the non-thermal effect promoted the occurrence of dislocations and improved the mechanical properties. Kuang [14] carried out single-pass large deformation rolling of AZ31 magnesium alloy strips with different current intensity. It was found that when the current density was more than 90 A/mm2, transverse split texture would appear in the alloy, which improved the rolling performance. Xu [15] investigated the electroplastic effect (EPE) and size effect on the mechanical responses, deformation mechanisms, and fracture characteristics of AZ31 Mg foil. With the assistance of electric currents, the ductility of the foils was significantly improved, size effects caused by grain size and sample thickness were weakened. However, there are few reports on the effect of pulse current on edge crack suppression.
In this paper, the electroplastic cold rolling process is used to study the influence of current intensity, frequency and pulse width on the edge cracking phenomenon of magnesium alloy thin strip under large reduction, and the thermal and non-thermal effects of the electroplastic rolling are initially analyzed. Comparing the microstructure of the strip prepared by cold rolling and electroplastic cold rolling process, the causes of edge cracking were inferred, and the effect mechanism of the electric pulse was analyzed to some extent. It provides a new alternative to inhibit the crack initiation of magnesium alloy strips cold rolling.
2. Experimental
The magnesium alloy strip electroplastic cold rolling process is shown in Figure 1. After connecting the circuit, the feeder plate, the magnesium alloy strip and the frame form a closed loop during the rolling process. In this process, a pressure sensor (Donghua test system, Jingjiang, China) was used to collect the rolling force; an oscilloscope was used to collect the pulse current, frequency, width and waveform, and the current intensity could be calculated from the waveform; an infrared thermometer was used to measure the temperature of the strip at the roller gap.
Figure 1.
Schematic view of AZ31B magnesium alloy strips electroplastic cold rolling process.
The experimental material is commercial AZ31B magnesium alloy. The chemical composition is given in Table 1. The sample is 100 mm long, 10 mm wide and 1 mm thick. The rolling experiment was carried out at room temperature and the rolling speed is 0.075 m/s. Electroplastic rolling experiments were carried out on a Ø100 × 95 mm experimental two-roll mill at the National Engineering Research Center for Equipment and Technology of Cold Strip Rolling, Yanshan University. To make the contrast effect obvious without breaking the thin strip, the reduction in this experiment is 25%. The pulse power supply is unipolar (JX-HP pulse power, Lanzhou, China), each parameter is independent and continuously adjustable. The pulsed electric current parameters used in the experiments are shown in Table 2. Based on the principle of univariate, the number and depth of edge cracks were obtained, and the changes of rolling force and outlet temperature were compared. The samples were treated with an etchant composed of 10 mL of acetic acid, 4.2 g of picric acid, 10 mL of distilled water and 70 mL of ethanol for 3–5 s to observe the microstructure. SEM and EBSD images were acquired with a scanning electron microscope (FEI Scios Dual-beam) (Thermo Fisher Scientific, Shanghai, China). Surface hardness was tested using a hardness tester (Qness, Beijing, China) and microtensile tests were performed using a Gleeble 3800 (DSI, New Brighton, MN, USA), and the experiments were all performed three times.
Table 1.
Chemical composition (in wt%) of AZ31B magnesium alloy.
Table 2.
Processing parameters of the electroplastic rolling.
3. Results and Discussion
3.1. Statistics on the Edge Cracks Number
Figure 2a shows a schematic diagram of the edge cracks. The cracks on the side are serrated, and the cracks on the rolling surface are curved and parallel to the width direction. Guo [16] proposed that the feasibility of thin strip rolling can be judged according to the number and length of the edge cracks. Therefore, the number of cracks on the rolling surface and the maximum depth is counted. Figure 2b, Figure 2c and Figure 2d, respectively show the influence of current intensity, frequency and pulse width on the number and maximum depth of edge cracks. The results show that the number and maximum depth of edge cracks decrease with the increase in current intensity, frequency and pulse width. When not electrified, the number of cracks is 16 and the maximum depth is 6 mm. When the current intensity reaches 4800 A or the pulse frequency reaches 500 Hz, the crack disappears completely. When the pulse width reaches 30 μs, the cracks decrease obviously, but they do not disappear. Results show that the crack initiation can be inhibited by the pulsed electric current in the cold rolling process.
Figure 2.
The depth and number of edge cracks under different pulsed electric current: (a) edge crack; (b) current intensity; (c) pulse frequency; (d) pulse width.
3.2. Rolling Force
Rolling forces under different pulsed electric current parameters are given in Figure 3. Compared with the results without pulse current, the rolling forces of electroplastic rolling are reduced. The rolling force of ordinary cold rolling is about 15 kN. However, the average rolling force decreases in varying degrees during the electroplastic rolling process, and the current intensity and frequency have a greater impact on the rolling force.
Figure 3.
The rolling forces under different pulsed electric current: (a) current intensity; (b) pulse frequency; (c) pulse width.
3.3. Thermal Effect
In the process of electroplastic rolling, the magnesium alloy strip is subjected to the combined action of force, electricity and heat, and the influence of current is mainly thermal effect and non-thermal effect. The thermal effect refers to the joule heat generated during electrification which increases the temperature of the metal materials. It is generally considered that the thermal effect is not the main factor to improve the feasibility of rolling magnesium alloy strips. The non-thermal effect refers to the effect of electrons on metal materials in the process of movement. Troitskii [17] proposed that the application of current in the process of metal deformation would produce drifting electrons, which would exert a force called electron-wind-force on the dislocation.
The outlet temperature of the AZ31B magnesium alloy strip was obtained during the electroplastic rolling by using a thermal imager. The temperature in the laboratory is 24 °C, and the measurement results are shown in Figure 4. Figure 4a shows the outlet temperature (6300 A, 600 Hz and 70 μs). The end of the strip contacts with the roller surface first, a lot of sparks are generated at the moment of contact, and the temperature rises sharply. After the end leaves the roll gap, the outlet temperature is measured to be 56.3 °C, which is the highest among all the samples. Figure 4b, Figure 4c and Figure 4d, respectively, show the influence of current intensity, pulse frequency and width on the outlet temperature. It can be seen that the temperature after cold rolling without a pulse current is 5 °C higher than the room temperature, and the outlet temperature after electroplastic rolling increases with the increase in current intensity, frequency and pulse width, but the maximum temperature does not exceed 60 °C. The current intensity and frequency have the greatest effect on the temperature rise. Moreover, the magnesium alloy thin strip is electrified in the static state. When the current intensity is 4000 A, the pulse frequency is 400 Hz, and the pulse width is 70 μs, the saturation temperature is reached after 43 s, at which time the temperature is 312 °C. When the current intensity rises to 6300 A and the pulse frequency exceeds 200 Hz, the magnesium alloy strip is rapidly fused at 20 s. In this experiment, the electroplastic rolling time is less than 2 s.
Figure 4.
Outlet temperature under different pulsed electric current: (a) temperature measurement; (b) current intensity; (c) pulse frequency; (d) pulse width.
According to the temperature measurement results, to qualitatively study the influence of temperature on edge cracks during electroplastic rolling, the two samples were heated to 60 °C and 180 °C, respectively, and rolled after holding for 10 min. Compared with the edge cracks during cold rolling and electroplastic rolling, the results are shown in Figure 5. In Figure 5b, the heating temperature is 60 °C, the edge cracks of the sample after rolling are inhibited compared with that of cold rolling in Figure 5a, and the crack length is reduced, but there are still many cracks. As shown in Figure 5c, the heating temperature is 180 °C, the surface quality of the AZ31B magnesium alloy strip is excellent without edge cracks. This indicates that the lower rolling temperature cannot completely inhibit edge cracking.
Figure 5.
Surface morphology of edge cracks in different treatments: (a) cold rolling; (b) 60 °C; (c) 180 °C; (d) 6300 A, 500 Hz and 70 μs.
By heating magnesium alloy strips or rollers, the machinability of magnesium alloys can be improved [18,19], and the number and depth of edge cracks are reduced as the temperature increases. Furthermore, the activation of the crystal slip system is greatly affected by temperature. Boehlert [20] found that the deformation mechanism of AZ31 magnesium alloy at 50 °C is mainly tensile twinning and cylindrical slips, and the yield strength decreases with the increase in temperature. The cylindrical slip can only provide two independent slip systems, while the non-basal plane slipping is generally activated at a temperature higher than 200 °C [21]. In this experiment, the highest outlet temperature is 56.3 °C, there are still many edge cracks, and it is difficult to improve the plastic deformation ability of AZ31B magnesium alloy significantly for the joule heat generated by electric pulses. Apparently, the temperature has a positive effect on edge crack suppression, but it is not the main factor.
3.4. Microstructure
The original microstructure of AZ31B magnesium alloy and the microstructure after electroplastic rolling with different pulse current parameters are shown in Figure 6. The results show that the edge cracks are at an angle of 35° to 40° from the rolling direction, and there are cracks intersecting. With the increase in current intensity, pulse frequency and width, the crack gap changes from large to small until it disappears. The original structure shown in Figure 6a is inhomogeneous isometric crystals with uneven grain sizes and no twins inside the grains. After cold rolling, the sample grains become elongated and unevenly deformed, and a large number of compression twins appear, which gradually evolve into shear bands that penetrate several grains. However, the twin boundary can also largely hinder the expansion of the shear band. With the increase in pulse current, recrystallization makes the twins and shear bands inside the grains replaced by fine crystal grains, and the crystal grains are refined and uniformity. A different blanket-like structure from the macroscopic shear band appears in the sample without border cleavage, which is caused by the twins and fine shear bands [22,23]. More remarkably, it can be seen from Figure 6g that the cracks propagate along the direction of the shear band and a large number of twins appear nearby. It should be noted that when counting macro cracks, the pulse width has no obvious inhibitory effect on the edge cracks and the average rolling force changes little. However, the influence of the pulse width on the microstructure cannot be ignored. When the pulse width is 10 μs, there are many edge cracks. When the pulse width is 30 μs, the crack initiation is inhibited, and some of the cracks remain attached. The microstructure shows a blanket-like structure at 70 μs. The reason why the effect of pulse width is not as obvious as current intensity and pulse frequency is that the pulse width of the current source does not change much and the energy introduced is limited.
Figure 6.
Optical microstructures of AZ31B strip: (a) original material, (b) cold rolling, (c) 6300 A, 100 Hz and 70 μs, (d) 6300 A, 300 Hz and 70 μs, (e) 6300 A, 500 Hz and 70 μs, (f) 1500 A, 500 Hz and 70 μs, (g) 2500 A, 500 Hz and 70 μs, (h) 4800 A, 500 Hz and 70 μs, (i) 6300 A, 500 Hz and 10 μs, (j) 6300 A, 500 Hz and 30 μs, (k) 6300 A, 500 Hz and 50 μs. RD is in horizontal and ND vertical.
Meanwhile, the scanning electron microscope images near the edge of the samples after rolling are obtained, as shown in Figure 7. When rolling without pulse current, the crack gap is large, and there are many small shear bands around the crack, and the grain boundary is not clear. With the increase in current intensity, the crack gap becomes narrower obviously, and the shear band increases and diverges to both sides at a certain angle with the crack. When the current intensity is 2500 A, it can be seen that the shear band is similar to a healed crack, and the small cracks are distributed in the center of the shear band. When the current intensity is 4800 A, the cracks disappear completely, and the deformed microstructure is distributed uniformly without obvious concentration. The shear band is a deformation mechanism under the condition of plastic instability, which is closely related to the generation of cracks. When the strain of the shear band reaches a certain value, cracks will be formed in the strain concentration area. The addition of the pulse current increases the number of shear bands, so the strain of a single shear band decreases, which has a positive effect on inhibiting the generation of cracks.
Figure 7.
SEM micrographs near the edge of the samples: (a) cold rolling, (b) 1500 A, 500 Hz and 70 μs, (c) 2500 A, 500 Hz and 70 μs, (d) 4800 A, 500 Hz and 70 μs.
3.5. Texture
The textures of the original material, cold rolling and electroplastic rolling are shown in Figure 8. The diffraction angle of the basal plane {0002} is 34.442°, The diffraction angle of the cylindrical surface {100} is 32.225°, and the diffraction angle of the cone surface {102} is 47.913°. As seen in Figure 9, the original material shows a strong basal texture, and the maximum basal texture is ~4.0 MRD (multiple of random distribution), while the cylindrical surface is ~1.6 MRD. After cold rolling, the basal texture is significantly increased to a maximum of ~4.4 MRD, while the cylindrical surface shows a regular circular distribution and the pole disappears. This is due to the basal slip and twinning during rolling, and the crystal rotated. The pole figure after electroplastic rolling is similar to that of cold rolling except that the cone surface expands slightly in the TD direction.
Figure 8.
{0002}, {100}, {102} pole figures of AZ31B strips after cold rolling and electroplastic rolling: (a) original material, (b) cold rolling, (c) 6300 A, 500 Hz and 70 μs.
Figure 9.
The max intensity of pole figures.
From Figure 9, the texture strength after electroplastic rolling is reduced, and the basal texture is the most obvious, which is 0.3 lower than the original material and 0.7 lower than the cold rolling. There is much related research on the texture and formability of metal materials. Mukai [24] prepared AZ31 samples with different textures by extrusion, and found that the weakening of the basal texture is beneficial to increase the elongation. Stanford [25] studied the effect of Gd content on the texture and mechanical properties of Mg-Gd alloys. Similarly, the smaller the texture strength, the better the elongation. It indicates that the more the texture of the metal deviates from the initial texture, the more favorable it is for the forming performance. This is one of the reasons why the pulse current can inhibit the edge cracking of the AZ31B magnesium alloy strips during cold rolling.
3.6. Electroplasticity Analysis and Mechanical Properties
Figure 10a–d show the microstructures of the strips prepared by cold rolling and electroplastic rolling (with incremental electric pulse parameters), respectively. Results show that the basal texture is strong after the process of rolling, which is determined by the stress characteristics of rolling deformation. With the increase in electrical pulse parameters, the grain refinement effect is more obvious. The grain size is counted in Figure 10e, and there are more grains larger than 20 μm after cold rolling, and at 6300 A, 500 Hz and 70 μs, the grains are all equiaxed and most of them are smaller than 8 μm. Dynamic recrystallization (DRX), as an effective mechanism for softening and refining grains, has a positive effect on improving the plastic deformation ability of magnesium alloys. DRX is related to many factors, including temperature, deformation speed, and deformation degree. Pulse current also has a significant influence on the recrystallization of metals. Conrad [26] found that the current can accelerate the DRX of copper, and think that it may be the current improves the mobility of dislocations and promotes the formation of substructure crystals. Konovalov [27] also found that the pulse current can accelerate dislocation motion and the generation of substructures by conducting pulse current treatment on stainless steel. However, the experimental results of the thermal effect show that the temperature rise of cold rolling and electroplastic rolling is not enough to cause recrystallization of AZ31B. Therefore, the effects of current intensity and pulse frequency on recrystallization were compared when the pulse width was 70 μs. The results are shown in Figure 10f. The red color indicates highly deformed grains, the yellow color indicates grains containing substructures, and the blue color indicates grains with dynamic recrystallization. The recrystallization rate increases with the increase in pulse current parameters. At 6300 A and 500 Hz, the recrystallization rate reaches 43.1%, and the crystal grains are refined. However, at 2500 A and 500 Hz, the grains mainly contain substructures. It shows that the pulse current can promote the dynamic recrystallization of AZ31B and improve the plastic deformation ability.
Figure 10.
Microstructure of (a) cold rolling, (b) 2500 A, 500 Hz and 70 μs, (c) 6300 A, 300 Hz and 70 μs, (d) 6300 A, 500 Hz and 70 μs, (e) grain size, (f) percentage content of components.
In order to analyze the effect of electroplasticity on deformation uniformity at the microscopic level, the kernel average misorientation (KAM) maps and Schmidt Factor distribution were obtained, as shown in Figure 11. Strips were prepared by cold rolling and electroplastic rolling (6300 A, 500 Hz and 70 μs). From Figure 11a–c, it can be seen that the distribution of KAM is uniform after electroplastic rolling, and the proportion of KAM values on 0–1° is significantly higher than other values, indicating good intergranular coordination deformation. Both curves form a sharp peak at 0.35°, and the overall curve of electroplastic rolling shifts to the left. This indicates that the dislocation density is gradually decreasing throughout the process. The dislocation density is small and the dislocation pile-up is not easy to occur, which plays an important role in improving plastic deformation. The strain is better dispersed between different grains, which tends to eliminate the local stress concentration and can finally obtain large ultimate strain. Schmidt Factor distribution is shown in Figure 11a,b,d, taking values in the range of 0–0.5. Schmidt Factor distribution of the strip after electroplastic rolling is more uniform and overall smaller than that of cold rolling. Therefore, the soft orientation is beneficial to the coordinated deformation of the strip.
Figure 11.
(up a,b) cold rolling, (bottom a,b) 6300 A 500 Hz 70 μs, (c) the KAM distribution plots, (d) Schmid Factor distribution.
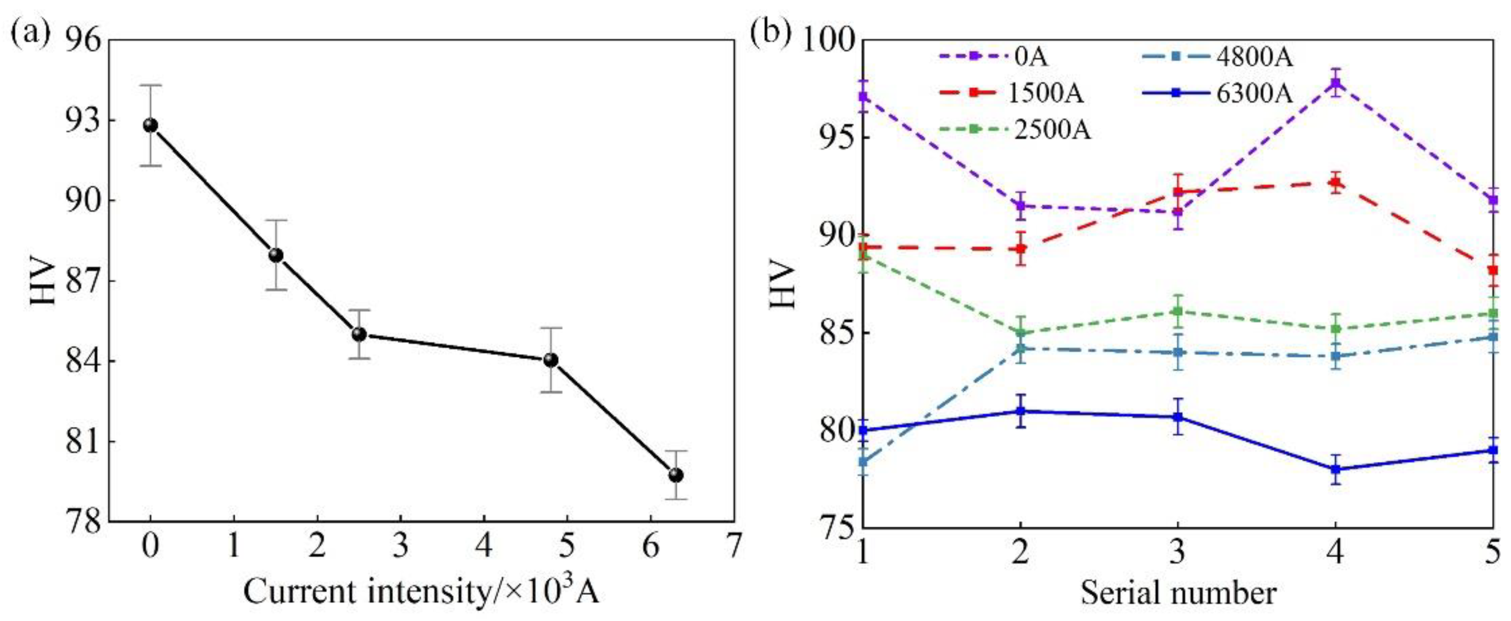
Changes in the material microstructure will inevitably lead to changes in the mechanical properties, which in turn will demonstrate changes in the microstructure of the magnesium alloy [28]. The effect of electroplastic rolling on the mechanical properties was analyzed by microhardness and tensile tests. The Vickers hardness test was performed on the ND-RD surface with an applied load of 2 N. Five points were taken along the thickness direction and the measured data were averaged after removing the maximum and minimum values. Micro-stretching was performed on Gleeble 3800 using auxiliary fixing device. The stretching rate was 0.001 s−1 and the experimental temperature was 24 °C. The hardness test results are shown in Figure 12. With the increase in current intensity, the average value of hardness showed a significant decreasing trend, and the hardness value at a current of 6300 A was approximately 14 HV lower than that at cold rolling. From Figure 12b, it can be seen that the hardness variation in the thickness direction fluctuates greatly at cold rolling and low current intensity. As the current intensity increases, the hardness fluctuation obviously slows down and the curve tends to be smooth. This is because the electroplastic rolling makes the deformation more uniform, while energized rolling can significantly delay the process hardening phenomenon, which can also explain the reduction in edge cracking of magnesium alloy. Figure 13 shows the comparison of tensile test results of the magnesium strip and strip prepared by cold rolling and electroplastic rolling (6300 A, 500 Hz and 70 μs). Figure 13a shows the tensile curves, the yield strength and tensile strength are improved after electroplastic rolling. Figure 13c,d are the comparison of tensile fracture morphology. The tensile fracture of the cold rolling strip showed obvious rivers and tongue patterns, which are microscopic features of dissociation fracture, indicating that the tensile fracture is a mainly brittle fracture with poor toughness and plasticity. The microscopic features of dissociation fracture were found to disappear in the tensile fracture of the electroplastically rolling strip, instead, a large number of dimples representing ductile fracture appear. It indicates that the toughness and plasticity of the magnesium strip are significantly improved by rolling with the pulsed electric current.
Figure 12.
(a) Effect of electric pulse parameters on hardness in ND-RD surface, (b) fluctuation of hardness in the thickness direction.
Figure 13.
(a) Tensile curve, (b) yield and elongation, fracture morphology of (c) cold rolling, (d) 6300 A 500 Hz and 70 μs.
4. Conclusions
The inhibition behavior of edge cracking in the AZ31B magnesium alloy electroplastic rolling process was analyzed. The edge cracks, rolling force and outlet temperature under different pulsed electric currents were obtained. The evolution and comparison of the microstructure were analyzed and mechanical property tests were performed. The main results and conclusions can be summarized as follows:
- (1)
- With the increase in current intensity, pulse frequency and width, the number and depth of edge cracks on the AZ31B magnesium alloy strip surface are effectively inhibited, and the rolling force is also reduced. Moreover, the influence of current intensity and pulse frequency is the most significant.
- (2)
- The maximum outlet temperature of electroplastic rolling is 56.3 °C. Compared with the surface of AZ31B strips rolled at 60 °C and 180 °C, the results show that the thermal effect has a certain positive effect on inhibiting the crack initiation, but it is not the main influencing factor.
- (3)
- Electroplastic rolling increases the number of fine grains and shear bands, presenting a blanket structure. The number of shear bands increases, so the amount of strain experienced by a single shear band decrease, which has a positive effect on suppressing crack formation.
- (4)
- The pulse current weakens the basal texture and promotes the occurrence of dynamic recrystallization. The KAM curve shifted to the left as a whole, indicating that the plastic deformation is improved during the electroplastic rolling process and a larger ultimate strain can be obtained.
Author Contributions
J.S., Methodology, Supervision. J.Z., Experimentation, Formal analysis, Investigation, Writing. D.L., Writing, Experimentation. H.H., Project administration, Supervision. M.Y., Supervision. All authors have read and agreed to the published version of the manuscript.
Funding
The Key projects of National Natural Science Foundation of China (U20A20230).
Data Availability Statement
The data that support the findings of this study are available from the corresponding author, Junpeng Zhang and Huagui Huang, upon reasonable request.
Acknowledgments
Authors would like to acknowledge the Key projects of National Natural Science Foundation of China (U20A20230).
Conflicts of Interest
The authors declare that they have no known competing financial interests or personal relationships that could have appeared to influence the work reported in this paper.
References
- Ahmadi, M.; Bozorgnia Tabary, S.A.A.; Rahmatabadi, D.; Ebrahimi, M.S.; Abrinia, K.; Hashemi, R. Review of selective laser melting of magnesium alloys: Advantages, microstructure and mechanical characterizations, defects, challenges, and applications. J. Mater. Res. Technol. 2022, 19, 1537–1562. [Google Scholar] [CrossRef]
- Xie, Q.; Ma, A.; Jiang, J.; Liu, H.; Cheng, Z.; Gu, Y. Tailoring the corrosion behavior and mechanism of AZ31 magnesium alloys by different Ca contents for marine application. Corros. Sci. 2021, 192, 109842. [Google Scholar] [CrossRef]
- Ravichandran, N.; Mungara, S.R. Manufacturing and deployment of magnesium alloy parts for light weighting applications. Mater. Today Proc. 2021, 47, 4838–4843. [Google Scholar] [CrossRef]
- Zhu, B.; Liu, X.; Xie, C.; Su, J.; Guo, P.C.; Tang, C.P.; Liu, W.H. Unveiling the underlying mechanism of forming edge cracks upon high strain-rate rolling of magnesium alloy. J. Mater. Sci. Technol. 2020, 50, 59–65. [Google Scholar] [CrossRef]
- Sheikhani, A.; Roumina, R.; Mahmudi, R. Texture softening in a rare earth elements-containing AZ31 magnesium alloy during hot compression deformation. J. Mater. Res. Technol. 2022, 18, 4089–4098. [Google Scholar] [CrossRef]
- Ji, Y.F.; Duan, J.R.; Yuan, H.; Li, H.Y.; Sun, J.; Ma, L.F. Effect of variable thickness cross rolling on edge crack and microstructure gradient of AZ31 magnesium alloy. J. Cent. South Univ. 2022, 29, 1124–1132. [Google Scholar] [CrossRef]
- Liang, M.J.; Zheng, J.; Liu, H.; Yao, B.X. Microstructure and mechanical properties of AZ31 alloy prepared by cyclic expansion extrusion with asymmetrical extrusion cavity. T. Nonferr. Metal Soc. 2022, 32, 122–133. [Google Scholar] [CrossRef]
- Manabe, S.; Utsunomiya, H.; Sakai, T.; Matsumoto, R. Morphology of edge cracks of rolled magnesium alloy sheet. Adv. Mater. Res. 2014, 922, 469–474. [Google Scholar] [CrossRef]
- Zhi, C.; Ma, L.; Huang, Q.; Huang, Z.; Lin, J.B. Improvement of magnesium alloy edge cracks by multi-cross rolling. J. Mater. Process. Technol. 2018, 255, 333–339. [Google Scholar] [CrossRef]
- Ding, Y.; Le, Q.; Zhang, Z.; Cui, J. Effect of rolling speed on microstructure and mechanical properties of as-cast AZ31B alloy under different reduction schedules. J. Mater. Process. Technol. 2016, 233, 161–173. [Google Scholar] [CrossRef]
- Huang, Z.; Huang, Q.; Wei, J.; Ma, L.; Wu, D.; He, D. Inhibitory effects of prefabricated crown on edge crack of rolled AZ31 magnesium alloy plate. J. Mater. Process. Technol. 2017, 246, 85–92. [Google Scholar] [CrossRef]
- Troitskii, O.A.; Likhtman, V.I. Anisotropy of the effect of electron-beam and irradiation on the deformation process of zinc single crystals in the brittle state. Dokl. Akad. Nauk. SSSR 1963, 148, 332–334. [Google Scholar]
- Li, X.; Tang, G.; Kuang, J.; Li, X.; Zhu, J. Effect of current frequency on the mechanical properties, microstructure and texture evolution in AZ31 magnesium alloy strips during electroplastic rolling. Mat. Sci. Eng. A 2014, 612, 406–413. [Google Scholar] [CrossRef]
- Kuang, J.; Low, T.S.N.; Niezgoda, S.R.; Li, X.; Geng, Y.; Luo, A.A.; Tang, G. Abnormal texture development in magnesium alloy Mge3Ale1Zn during large strain electroplastic rolling:Effect of pulsed electric current. Int. J. Plast. 2016, 87, 86–99. [Google Scholar] [CrossRef]
- Xu, S.; Xiao, X.; Zhang, H.; Cui, Z. Electroplastic Effects on the Mechanical Responses and Deformation Mechanisms of AZ31 Mg Foils. Materials 2022, 15, 1339. [Google Scholar] [CrossRef]
- Guo, F.; Zhang, D.; Yang, X.; Jiang, L.; Chai, S.; Pan, F. Influence of rolling speed on microstructure and mechanical properties of AZ31 Mg alloy rolled by large strain hot rolling. Mat. Sci. Eng. A 2014, 607, 383–389. [Google Scholar] [CrossRef]
- Liu, Q.; Song, J.; Pan, F.; She, J.; Zhang, S.; Peng, P. The Edge Crack, Texture Evolution, and Mechanical Properties of Mg-1Al-1Sn-Mn Alloy Sheets Prepared Using On-Line Heating Rolling. Metals 2018, 8, 860. [Google Scholar] [CrossRef]
- Pan, F.; Zeng, B.; Jiang, B.; Zhang, M.; Dong, H. Enhanced mechanical properties of AZ31B magnesium alloy thin sheets processed by on-line heating rolling. J. Alloys Compd. 2017, 693, 414–420. [Google Scholar] [CrossRef]
- Boehlert, C.J.; Chen, Z.; Gutie’rrez-Urrutia, I.; Llorca, J.; Pe’rez-Prado, M.T. In situ analysis of the tensile and tensile-creep deformation mechanisms in rolled AZ31. Acta Mater. 2012, 60, 1889–1904. [Google Scholar] [CrossRef]
- Agnew, S.R.; Duygulu, O.A. A mechanistic understanding of the formability of magnesium: Examining the role of temperature on the deformation mechanisms. Mater. Sci. Forum 2013, 419, 177–188. [Google Scholar] [CrossRef]
- Kuang, J.; Li, X.; Zhang, R.; Ye, Y.; Luo, A.A.; Tang, G. Enhanced rollability of Mg-3Al-1Zn alloy by pulsed electric current: A comparative study. Mater Des. 2016, 100, 204–216. [Google Scholar] [CrossRef]
- Atik, K.; Efe, M. Twinning-induced shear banding and its control in rolling of magnesium. Mat. Sci. Eng. A 2018, 725, 267–273. [Google Scholar] [CrossRef]
- Mukai, T.; Yamanoi, M.; Watanabe, H.; Higashi, K. Ductility enhancement in AZ31 magnesium alloy by controlling its grain structure. Scr. Mater. 2001, 45, 89–94. [Google Scholar] [CrossRef]
- Stanford, N.; Atwell, D.; Barnett, M.R. The effect of Gd on the recrystallisation, texture and deformation behaviour of magnesium-based alloys. Acta Mater. 2010, 58, 6773–6783. [Google Scholar] [CrossRef]
- Liu, X.; Zhu, B.W.; Xie, C.; Zhang, J.; Tang, C.P.; Chen, Y.Q. Twinning, dynamic recrystallization, and crack in AZ31 magnesium alloy during high strain rate plane strain compression across a wide temperature. Mat. Sci. Eng. A 2018, 733, 98–107. [Google Scholar] [CrossRef]
- Konovalov, S.V.; Atroshkina, A.A.; Ivanov, Y.F.; Gromov, V.E. Evolution of dislocation substructures in fatigue loaded and failed stainless steel with the intermediate electropulsing treatment. Mat. Sci. Eng. A 2010, 527, 3040–3043. [Google Scholar] [CrossRef]
- Liu, H.X.; Sun, Y.H.; Ma, Y.J.; He, Y.C.; Wang, X. Improvement of formability and corrosion resistance of AZ31 magnesium alloy by pulsed current–assisted laser shock forming. Int. J. Adv. Manuf. Technol. 2022, 120, 6531–6545. [Google Scholar] [CrossRef]
- Ji, Y.F.; Duan, J.R.; Li, H.Y.; Peng, W.; Ma, L.F. Improvement of edge crack damage of magnesium alloy by optimizing the edge curve during cross variable thickness rolling. Int. J. Adv. Manuf. Technol. 2022, 112, 1993–2002. [Google Scholar] [CrossRef]
Disclaimer/Publisher’s Note: The statements, opinions and data contained in all publications are solely those of the individual author(s) and contributor(s) and not of MDPI and/or the editor(s). MDPI and/or the editor(s) disclaim responsibility for any injury to people or property resulting from any ideas, methods, instructions or products referred to in the content. |
© 2023 by the authors. Licensee MDPI, Basel, Switzerland. This article is an open access article distributed under the terms and conditions of the Creative Commons Attribution (CC BY) license (https://creativecommons.org/licenses/by/4.0/).












