Study on the Flow Behavior of 5052 Aluminum Alloy over a Wide Strain-Rate Range with a Constitutive Model Based on the Arrhenius Model Extension
Abstract
:1. Introduction
2. Materials and Experiments
2.1. Materials
2.2. Experiments
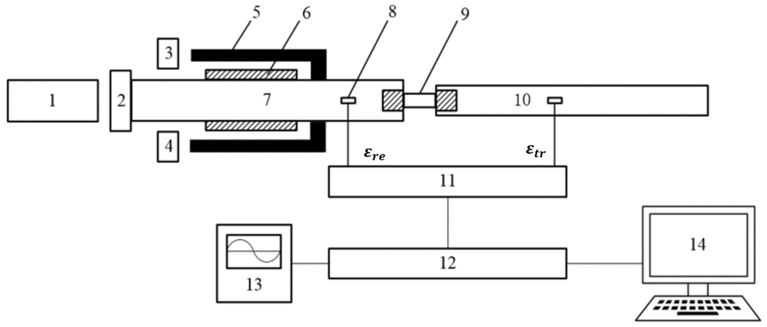
2.2.1. Uniaxial Tensile Tests
2.2.2. Microscopic Testing
3. Results
3.1. Stress–Strain Curves
3.2. TEM Analysis
3.3. X-ray Diffraction Analysis
4. Constitutive Model and Discussions
4.1. Development of the New Physically-Based Model with Extension of the Arrhenius Model
4.1.1. Yield Stress Component
4.1.2. Dislocation Strengthening Component of Flow Stress
4.1.3. DSA Component of Flow Stress
4.1.4. Drag Stress Attenuation
4.1.5. Evolution of Internal State Variables
4.2. Establishment of the New Constitutive Model
4.2.1. Prediction of Yield Stress by the New Constitutive Model
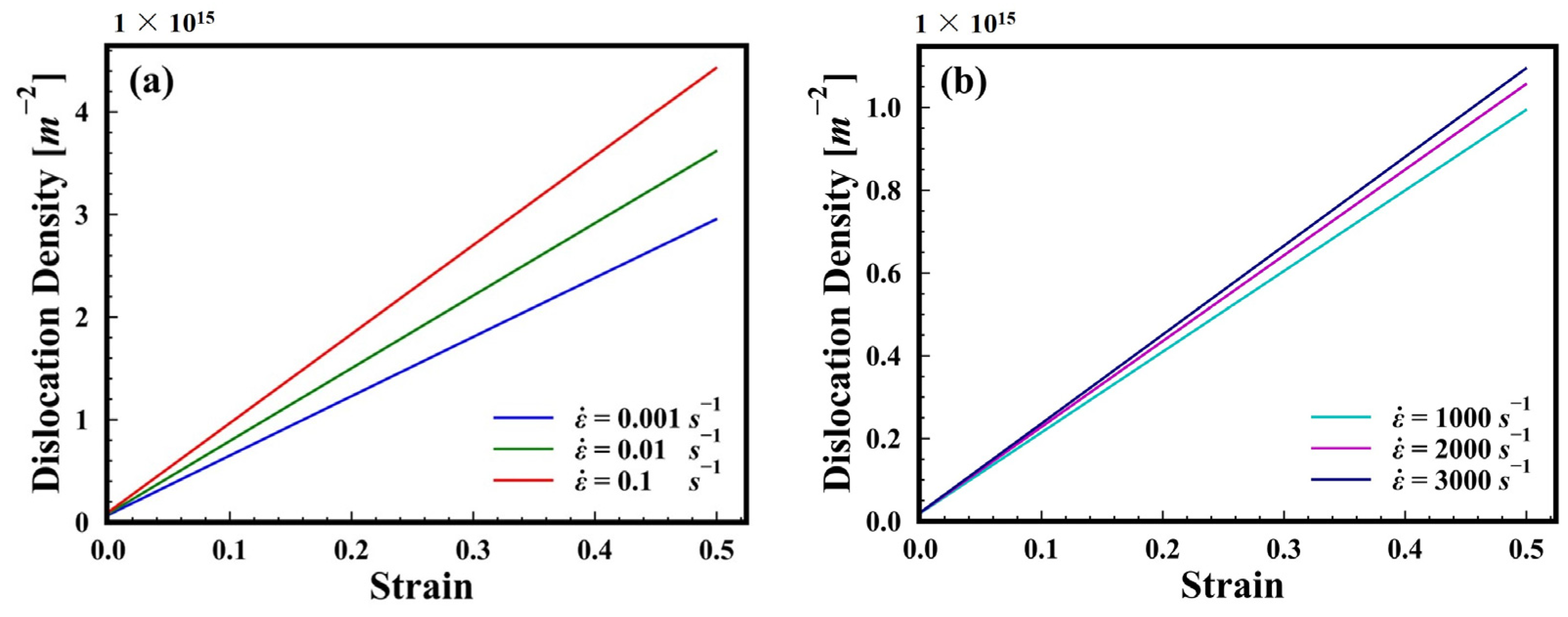
4.2.2. Prediction of Dislocation Density by the New Constitutive Model
4.3. Evaluation of the New Constitutive Model
5. Conclusions
- (1)
- A new physically-based constitutive model is proposed, which considers the dynamic strain aging, the drag stress, and the evolution of mobile dislocation and forest dislocation, as well as the thermal activation mechanism. The flow stress under different temperature and strain-rate conditions predicted by the newly proposed constitutive model were close to the experimental data, and the model showed a high correlation coefficient of 0.99.
- (2)
- The yield stress predicted by the new constitutive model based on a modified Arrhenius model shows that the competition between dynamic strain aging and thermal activation mechanisms is significant within the stain rate range of –, and the thermal activation mechanism dominates in the range of 1–104.
- (3)
- The evolution of mobile dislocation and forest dislocation is well depicted by the new constitutive model over a wide strain-rate range, and the relative error among model prediction results of dislocation density, TEM statistical results, and XRD data calculation results is at a low level.
- (4)
- The newly proposed model is compared with the modified J–C model, the modified C–S model, the modified F-B model, and the modified Z–A model, and the result shows that both the AARE and RMSE of the new model are the lowest, indicating a higher prediction accuracy.
Author Contributions
Funding
Data Availability Statement
Conflicts of Interest
References
- Golovashchenko, S.F. Material Formability and Coil Design in Electromagnetic Forming. J. Mater. Eng. Perform. 2007, 16, 314–320. [Google Scholar] [CrossRef]
- Lim, M.; Byun, H.; Song, Y.; Park, J.; Kim, J. Numerical Investigation on Comparison of Electromagnetic Forming and Drawing for Electromagnetic Forming Characterization. Metals 2022, 12, 1248. [Google Scholar] [CrossRef]
- Tartière, J.; Arrigoni, M.; Nême, A.; Groeneveld, H.; Van Der Veen, S. PVDF Based Pressure Sensor for the Characterisation of the Mechanical Loading during High Explosive Hydro Forming of Metal Plates. Sensors 2021, 21, 4429. [Google Scholar] [CrossRef] [PubMed]
- Babalo, V.; Mirzahosein, M.; Fazli, A.; Soltanpour, M. High-speed joining of tubes to panel sheets using electro-hydraulic forming. Int. J. Adv. Manuf. Technol. 2022, 119, 4713–4731. [Google Scholar] [CrossRef]
- Tian, Y.; Huang, L.; Ma, H.; Li, J. Establishment and comparison of four constitutive models of 5A02 aluminium alloy in high-velocity forming process. Mater. Des. 2014, 54, 587–597. [Google Scholar] [CrossRef]
- Thomas, J.D.; Seth, M.; Daehn, G.S.; Bradley, J.R.; Triantafyllidis, N. Forming limits for electromagnetically expanded aluminum alloy tubes: Theory and experiment. Acta Mater. 2007, 55, 2863–2873. [Google Scholar] [CrossRef]
- Balanethiram, V.S.; Daehn, G.S. Enhanced formability of interstitial free iron at high strain rates. Scr. Mater. 1992, 27, 1783–1788. [Google Scholar] [CrossRef]
- Wu, J.; Djavanroodi, F.; Gode, C.; Ebrahimi, M.; Attarilar, S. Microstructure evolution, texture development, and mechanical properties of hot-rolled 5052 aluminum alloy followed by annealing. Mater. Res. Express 2022, 9, 056516. [Google Scholar] [CrossRef]
- Wu, J.; Djavanroodi, F.; Shamsborhan, M.; Attarilar, S.; Ebrahimi, M. Improving Mechanical and Corrosion Behavior of 5052 Aluminum Alloy Processed by Cyclic Extrusion Compression. Metals 2022, 12, 1288. [Google Scholar] [CrossRef]
- Idriss, M.; Mirakhorli, F.; Desrochers, A.; Maslouhi, A. Overlap laser welding of 5052-H36 aluminum alloy: Experimental investigation of process parameters and mechanical designs. Int. J. Adv. Manuf. Technol. 2022, 119, 7653–7667. [Google Scholar] [CrossRef]
- Chen, F.; Qu, H.; Wu, W.; Zheng, J.-H.; Qu, S.; Han, Y.; Zheng, K. A Physical-Based Plane Stress Constitutive Model for High Strength AA7075 under Hot Forming Conditions. Metals 2021, 11, 314. [Google Scholar] [CrossRef]
- dos Santos, T.; Rossi, R.; Maghous, S.; Rosa, P.A.R. Mechanical characterization and constitutive modeling of aluminum AA1050 subjected to high strain-rates. Mech. Time-Depend. Mater. 2021, 26, 347–375. [Google Scholar] [CrossRef]
- Fan, Z.; Song, Z.; Xiao, D.; Ribárik, G.; Ungár, T. Influence of Deformation Temperature On Flow Stress and Dislocation Structure of 2A12 Aluminum Alloy Under Quasi-Static and Dynamic Compression. Exp. Mech. 2023, 63, 703–714. [Google Scholar] [CrossRef]
- Dong, F.; Yi, Y.; Huang, S.; Gao, S.; Jia, Y.; Yu, W. A dislocation density-based model considering dynamic strain aging for annealed and water-quenched aluminum alloys under low-temperature conditions. Mater. Sci. Eng. A 2022, 855, 143916. [Google Scholar] [CrossRef]
- Wang, Y.; Peng, J.; Zhong, L.; Pan, F. Modeling and application of constitutive model considering the compensation of strain during hot deformation. J. Alloys Compd. 2016, 681, 455–470. [Google Scholar] [CrossRef]
- Xia, Y.; Jiang, W.; Cheng, Q.; Jiang, L.; Jin, L. Hot deformation behavior of Ti—6Al—4V—0.1Ru alloy during isothermal compression. Trans. Nonferrous Met. Soc. China 2020, 30, 134–146. [Google Scholar] [CrossRef]
- Xue, D.; Wei, W.; Shi, W.; Zhou, X.; Rong, L.; Wen, S.; Wu, X.; Qi, P.; Gao, K.; Huang, H.; et al. Microstructural evolution and constitutive analysis of Al-Mg-Zn-Er-Zr based on arrhenius-type and machine-learning algorithm. Mater. Today Commun. 2022, 32, 104076. [Google Scholar] [CrossRef]
- Zhang, Y.; Jiang, J.; Wang, Y.; Liu, Y.; Huang, M. Hot deformation behavior and microstructure evolution of hot-extruded 6A02 aluminum alloy. Mater. Charact. 2022, 188, 111908. [Google Scholar] [CrossRef]
- Zhang, Y.; Yang, L.; Fan, Z.; Pang, S.; Chen, W. Evaluation of tensile creep behavior of spray formed and extruded 7075 aluminum alloy by equivalent stress. J. Mater. Res. Technol. 2023, 22, 1476–1490. [Google Scholar] [CrossRef]
- Li, H.; Li, X.; Yan, H.; Li, Y.; Geng, L.; Xun, C.; Li, Z.; Zhang, Y.; Xiong, B. Constitutive Analysis and Microstructure Characteristics of As-Homogenized 2198 Al–Li Alloy under Different Hot Compression Deformation Conditions. Materials 2023, 16, 2660. [Google Scholar] [CrossRef]
- GB/T 3880.2 2012; Wrought Aluminium and Aluminium Alloy Plates, Sheets and Strips for General Engineering Part 2: Mechan ical Properties. Standards Press of China: Beijing, China, 2012. (In Chinese)
- ISO 6892-1:2019; Metallic Materials—Tensile Testing—Part 1:Method of Test at Room Temperature. ISO: Geneva, Switzerland, 2019.
- Khan, A.S.; Liang, R. Behaviors of three BCC metal over a wide range of strain rates and temperatures: Experiments and modeling. Int. J. Plast. 1999, 10, 1089–1109. [Google Scholar] [CrossRef]
- Muiruri, A.; Maringa, M.; du Preez, W. Numerical Simulation of High Strain Rate and Temperature Properties of Laser Powder Bed Fusion Ti6Al4V(ELI) Determined Using a Split Hopkinson Pressure Bar. Materials 2022, 15, 1872. [Google Scholar] [CrossRef] [PubMed]
- Weber, L.; Kouzeli, M.; Marchi, C.S.; Mortensen, A. On the use of Considere’s criterion in tensile testing of materials which accumulate internal damage. Scr. Mater. 1999, 41, 549–551. [Google Scholar] [CrossRef]
- Zhu, Y.; Fan, J.; Li, Z.; Luo, Y.; Niu, Y. Study of strain rate sensitivity exponent and strain hardening exponent of typical titanium alloys. Mater. Today Commun. 2022, 30, 103060. [Google Scholar] [CrossRef]
- Fang, J.; Zhu, Z.; Zhang, X.; Xie, L.; Huang, Z. Tensile Deformation and Fracture Behavior of AA5052 Aluminum Alloy under Different Strain Rates. J. Mater. Eng. Perform. 2021, 30, 9403–9411. [Google Scholar] [CrossRef]
- Mesbah, M.; Faraji, G.; Bushroa, A.R. Electron back-scattered diffraction and nanoindentation analysis of nanostructured Al tubes processed by multipass tubular-channel angular pressing. Met. Mater. Int. 2016, 22, 288–294. [Google Scholar] [CrossRef]
- Li, N.; Yu, H.; Xu, Z.; Fan, Z.; Liu, L. Electromagnetic forming facilitates the transition of deformation mechanism in 5052 aluminum alloy. Mater. Sci. Eng. A 2016, 673, 222–232. [Google Scholar] [CrossRef]
- Monteiro, S.N.; Brandão, L.P.; de Sousa, T.G.; Filho, F.d.C.G. Novel methods for dislocation density estimation in highly compacted tangles. J. Mater. 2019, 9, 2072–2078. [Google Scholar] [CrossRef]
- Ham, R.K. The determination of dislocation densities in thin films. Philos. Mag. 1961, 6, 1183–1184. [Google Scholar] [CrossRef]
- Liang, Z.; Li, Y.; Huang, M. The respective hardening contributions of dislocations and twins to the flow stress of a twinning-induced plasticity steel. Scr. Mater. 2016, 112, 28–31. [Google Scholar] [CrossRef]
- Guo, N.; Liu, T.; Luan, B.; Wang, B.; Liu, Q. Dislocation density and configuration in fully pearlitic steel during wire drawing. Mater. Res. Innov. 2014, 18, S4-249. [Google Scholar] [CrossRef]
- Suo, T.; Chen, Y.; Li, Y.; Wang, C.; Fan, X. Strain rate sensitivity and deformation kinetics of ECAPed aluminium over a wide range of strain rates. Mater. Sci. Eng. A 2013, 560, 545–551. [Google Scholar] [CrossRef]
- Lee, W.-S.; Chen, T.-H.; Lin, C.-F.; Chen, M.S. Impact deformation behaviour and dislocation substructure of Al–Sc alloy. J. Alloys Compd. 2010, 493, 580–589. [Google Scholar] [CrossRef]
- Carvalho-Silva, V.H.; Coutinho, N.D.; Aquilanti, V.; Simos, T.E.; Kalogiratou, Z.; Monovasilis, T. Description of deviations from Arrhenius behavior in chemical kinetics and materials science. AIP Conf. Proc. 2016, 1790, 4968632. [Google Scholar] [CrossRef]
- Eivani, A.; Vafaeenezhad, H.; Nikan, O.; Zhou, J. Modeling high temperature deformation characteristics of AA7020 aluminum alloy using substructure-based constitutive equations and mesh-free approximation method. Mech. Mater. 2019, 129, 104–112. [Google Scholar] [CrossRef]
- Orowan, E. Problems of plastic gliding. Proc. Phys. Soc. 1940, 52, 8–22. [Google Scholar] [CrossRef]
- Zerilli, F.; Armstrong, R. The effect of dislocation drag on the stress-strain behavior of F.C.C. metals. Acta Mater. 1992, 40, 1803–1808. [Google Scholar] [CrossRef]
- Huang, C.-Q.; Deng, J.; Wang, S.-X.; Liu, L.-L. A physical-based constitutive model to describe the strain-hardening and dynamic recovery behaviors of 5754 aluminum alloy. Mater. Sci. Eng. A 2017, 699, 106–113. [Google Scholar] [CrossRef]
- Zaretsky, E.B.; Kanel, G.I. Effect of temperature, strain, and strain rate on the flow stress of aluminum under shock-wave compression. J. Appl. Phys. 2012, 112, 73504. [Google Scholar] [CrossRef]
- Jiang, H.; Zhang, Q.; Chen, X.; Chen, Z.; Jiang, Z.; Wu, X.; Fan, J. Three types of Portevin–Le Chatelier effects: Experiment and modelling. Acta Mater. 2007, 55, 2219–2228. [Google Scholar] [CrossRef]
- Lin, Y.; Yang, H.; He, D.-G.; Chen, J. A physically-based model considering dislocation–solute atom dynamic interactions for a nickel-based superalloy at intermediate temperatures. Mater. Des. 2019, 183, 108122. [Google Scholar] [CrossRef]
- Wang, J.; Guo, W.-G.; Gao, X.; Su, J. The third-type of strain aging and the constitutive modeling of a Q235B steel over a wide range of temperatures and strain rates. Int. J. Plast. 2015, 65, 85–107. [Google Scholar] [CrossRef]
- Kubin, L.; Estrin, Y. Evolution of dislocation densities and the critical conditions for the Portevin-Le Châtelier effect. Acta Mater. 1990, 38, 697–708. [Google Scholar] [CrossRef]
- Csanádi, T.; Chinh, N.Q.; Gubicza, J.; Langdon, T.G. Plastic behavior of fcc metals over a wide range of strain: Macroscopic and microscopic descriptions and their relationship. Acta Mater. 2011, 59, 2385–2391. [Google Scholar] [CrossRef]
- Qiu, M.; Cao, P.; Cao, L.; Tan, Z.; Hou, C.; Wang, L.; Wang, J. Parameter Determination of the 2S2P1D Model and Havriliak–Negami Model Based on the Genetic Algorithm and Levenberg–Marquardt Optimization Algorithm. Polymers 2023, 15, 2540. [Google Scholar] [CrossRef] [PubMed]
- Nieto-Fuentes, J.; Rittel, D.; Osovski, S. On a dislocation-based constitutive model and dynamic thermomechanical considerations. Int. J. Plast. 2018, 108, 55–69. [Google Scholar] [CrossRef]
- Song, P.; Li, W.; Wang, X.; Xu, W. Study on mechanical properties and constitutive model of 5052 aluminium alloy. Mater. Sci. Technol. 2019, 35, 916–924. [Google Scholar] [CrossRef]
- Geng, P.; Qin, G.; Zhou, J.; Zou, Z. Hot deformation behavior and constitutive model of GH4169 superalloy for linear friction welding process. J. Manuf. Process. 2018, 32, 469–481. [Google Scholar] [CrossRef]
- Samantaray, D.; Mandal, S.; Bhaduri, A. Constitutive analysis to predict high-temperature flow stress in modified 9Cr–1Mo (P91) steel. Mater. Des. 2010, 31, 981–984. [Google Scholar] [CrossRef]
- Sabokpa, O.; Zarei-Hanzaki, A.; Abedi, H.; Haghdadi, N. Artificial neural network modeling to predict the high temperature flow behavior of an AZ81 magnesium alloy. Mater. Des. 2012, 39, 390–396. [Google Scholar] [CrossRef]













| Item | Tensile Strength (MPa) | Yield Strength (Mpa) | Elongation after Fracture (%) |
|---|---|---|---|
| Standard | 170–215 | ≥65 | ≥14 |
| Element | Mg | Si | Fe | Cu | Mn | Zn | Cr | Al |
|---|---|---|---|---|---|---|---|---|
| Standard | 2.2–2.8 | ≤0.25 | ≤0.40 | ≤0.10 | ≤0.10 | ≤0.10 | 0.15–0.35 | Remainder |
| Actual | 2.40 | 0.055 | 0.26 | 0.02 | 0.05 | 0.02 | 0.15 | Bal. |
| Parameter | Value | Reference |
|---|---|---|
| 0.5 | Huang [40] | |
| M | 3.06 | Huang [40] |
| b | 2.86 × 10−10 m | Zaretsky [41] |
| B/T | 7.5 × 10−8 | Zaretsky [41] |
| R | 8.314 J/molK | Nieto-Fuentes [48] |
| G | 26,654 | Adjusted |
| 1.59 × 1012 m−2 | Experiment | |
| 32.88 MPa | Adjusted | |
| A | 3.127 × 105 | Adjusted |
| 1.010 × 1015 m−2 | Adjusted | |
| 16.335 | Adjusted | |
| Q | 13.85 kJ/mol | Adjusted |
| 14.53 kJ/mol | Adjusted | |
| 132.788 kJ/mol | Adjusted | |
| 5.932 × 10−3 | Adjusted | |
| 15.654 | Adjusted | |
| 0.088 | Adjusted | |
| 1.078 | Adjusted | |
| 102.3 MPa | Adjusted | |
| 2.159 × 10−9 | Adjusted | |
| Adjusted | ||
| 186.396 K | Adjusted |
| = 0.315 | = 0.348 | |
|---|---|---|
| TEM result | 1.5 × 1014 m−2 | 8.77 × 1014 m−2 |
| XRD result | 1.54 × 1014 m−2 | 8.69 × 1014 m−2 |
| Prediction | 1.89 × 1014 m−2 | 7.68 × 1014 m−2 |
| Type of Model | AARE | RMSE | |
|---|---|---|---|
| The new model | 0.990 | 0.028 | 10.004 |
| Modified J–C model | 0.999 | 0.033 | 13.712 |
| Modified C–S model | 0.999 | 0.048 | 11.870 |
| Modified F–B model | 0.994 | 0.063 | 17.133 |
| Modified Z–A model | 0.999 | 0.069 | 15.555 |
Disclaimer/Publisher’s Note: The statements, opinions and data contained in all publications are solely those of the individual author(s) and contributor(s) and not of MDPI and/or the editor(s). MDPI and/or the editor(s) disclaim responsibility for any injury to people or property resulting from any ideas, methods, instructions or products referred to in the content. |
© 2023 by the authors. Licensee MDPI, Basel, Switzerland. This article is an open access article distributed under the terms and conditions of the Creative Commons Attribution (CC BY) license (https://creativecommons.org/licenses/by/4.0/).
Share and Cite
Ma, H.; Wang, P.; Huang, X.; Mao, W.; Gong, Z.; Zhang, M.; Zhu, H. Study on the Flow Behavior of 5052 Aluminum Alloy over a Wide Strain-Rate Range with a Constitutive Model Based on the Arrhenius Model Extension. Metals 2023, 13, 1948. https://doi.org/10.3390/met13121948
Ma H, Wang P, Huang X, Mao W, Gong Z, Zhang M, Zhu H. Study on the Flow Behavior of 5052 Aluminum Alloy over a Wide Strain-Rate Range with a Constitutive Model Based on the Arrhenius Model Extension. Metals. 2023; 13(12):1948. https://doi.org/10.3390/met13121948
Chicago/Turabian StyleMa, Huijuan, Peiliao Wang, Xiang Huang, Wenjie Mao, Zhiang Gong, Mao Zhang, and Hui Zhu. 2023. "Study on the Flow Behavior of 5052 Aluminum Alloy over a Wide Strain-Rate Range with a Constitutive Model Based on the Arrhenius Model Extension" Metals 13, no. 12: 1948. https://doi.org/10.3390/met13121948
APA StyleMa, H., Wang, P., Huang, X., Mao, W., Gong, Z., Zhang, M., & Zhu, H. (2023). Study on the Flow Behavior of 5052 Aluminum Alloy over a Wide Strain-Rate Range with a Constitutive Model Based on the Arrhenius Model Extension. Metals, 13(12), 1948. https://doi.org/10.3390/met13121948

