Crack Initiation in Ni-Based Single Crystal Superalloy under Low-Cycle Fatigue-Oxidation Conditions
Abstract
:1. Introduction
2. Material and Experimental Procedure
3. Results and Discussion
3.1. Cyclic Stress Amplitude and Cycle Time
3.2. Initiation and Propagation of Main Cracks
3.3. Oxidation-Induced Cracks
3.4. Initiation and Propagation of Oxidation Cracks
- (1)
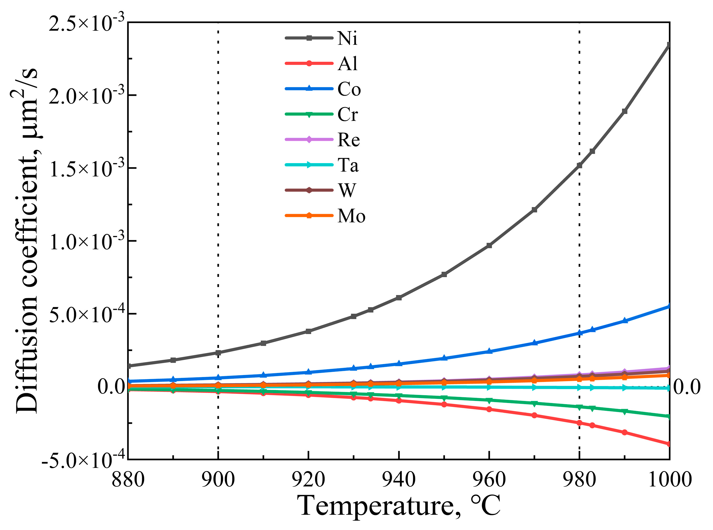
- After oxygen molecules are absorbed on the surface of the alloy, O2− and Al3+ diffuse internally while other metal ions such as Ni2+ and Co2+ diffuse towards the surface, gradually forming an inner oxide layer and an outer oxide layer with different depth distances on the surface (shown in Figure 13a,e). At the high temperature of 980 °C, the γ′ phase in the adjacent region dissolves and forms the γ′-depleted zone due to the rapid depletion rate of Al3+.
- (2)
- With the development of oxidation layer penetration into the matrix, stress concentration at the tip of the oxide layer promotes the inward growth of the oxide layer [12]. The fatigue resistance of the γ′-depleted zone is lower than that of the matrix, meaning that the resistance of crack expansion at 980 °C is smaller and the expansion rate is faster. At 900 °C, the expansion rate of the oxide layer is low, the thickness of the inner oxide layer is large, and the internal compressive stress is generated. There is a certain angle between the inner oxide layer and the horizontal line, and the large external cyclic stress causes the inner oxide layer to bend to a certain extent; thus, the internal compressive stress is not on the same horizontal line. Shear fracture may occur when the compressive stress exceeds the shear strength of the inner layer. At 980 °C, the thickness of the inner oxide layer is narrow and the thickness of the outer oxide layer is large, meaning that it is easy for cracks to form in the outer oxide layer under the action of internal compressive stress. This step is illustrated in Figure 13b,f.
- (3)
- At 900 °C, with the growth of cracks in the inner oxide layer, the internal stress in the oxide layer is released and the outer oxide layer gradually fills the cracked area of the inner oxide layer. As the surface oxide layer thickens, microcracks perpendicular to the stress axis are gradually created in the surface oxide layer and expand inward under self-compressive stress and external cyclic stress. Because the outer oxide layer deep in the matrix is divided into two layers and the thickness of each layer is very small, the internal compressive stress in the outer oxide layer is significantly reduced, and it is difficult for the surface microcracks to continue to expand in the outer oxide layer. The surface crack is not connected to the crack initiation in the inner oxide layer and the opportunity for rapid oxygen delivery and rapid crack propagation is lost. At 980 °C, when the microcrack from the surface oxide layer expands internally, it is easy to connect with the microcrack already existing in the (Ni,Co)O oxide layer, allowing a lengthy crack to form or expand along the inner/outer oxide layer interface. This allows oxygen a rapid expansion channel and provides the microcrack with a larger opening angle, meaning that the crack can expand rapidly. The crack in the oxide layer and the crack at the oxide layer interface grow forward and branch into more fragile regions, finally achieving the mutual promotion of the crack in the oxide layer and the crack at the oxide layer interface, thereby accelerating crack propagation. This step is illustrated in Figure 13c,g.
- (4)
- At 900 °C, the growth rate of the cracks induced by oxidation is slow. At the same time, the higher cyclic stress level leads to crack initiation at the subsurface defect and faster growth to the critical crack length, meaning that the final oxidized crack does not become the dominant main crack. At 980 °C, the crack initiation caused by oxidation has a rapid growth rate, while the crack initiation at the internal or subsurface defect is late under low cyclic stress and the growth rate is slow. Thus the oxidation crack becomes the main crack. This step is illustrated in Figure 13d,h.

4. Conclusions
- (1)
- Under the same conditions, the cyclic stress and cycle life of low cycle fatigue at 900 °C are higher than that at 980 °C. Main crack initiation occurs near the surface defect at 900 °C, while at 980 °C main crack initiation occurs at the surface oxide layer.
- (2)
- At 900 °C, the rate of oxidation and metal cation diffusion are low, the crack propagation rate is slow, and the inner oxide layer is thick, while the outer oxide layer is thin in the oxidation zone deep into the matrix. Although compressive stresses accumulated by the thicker inner oxide layer create microcracks, these microcracks have difficulty connecting to surface microcracks and forming rapid oxygen transport channels, which is an essential reason for the cracks growing slowly and not developing into main cracks.
- (3)
- At 980 °C, the rate of oxidation and metal cation diffusion are fast, the formation of a γ′-depleted zone promotes crack propagation, and the inner oxide layer is thin, while the outer oxide layer is thick in the oxidation zone deep into the matrix. Microcracks form in the outer oxide layer and quickly connect to microcracks at the surface and the inner/outer oxide layer interface, which then grow into long cracks that become channels for rapid oxygen transport, accelerating the crack growth rate. Eventually, the oxide cracks become main cracks.
Author Contributions
Funding
Data Availability Statement
Acknowledgments
Conflicts of Interest
References
- Reed, R.C. The Superalloys: Fundamentals and Applications, 1st ed.; Cambridge University Press: Cambridge, UK, 2006. [Google Scholar]
- Boyce, M.P. Gas Turbine Engineering Handbook, 4th ed.; Butterworth-Heinemann Press: Oxford, UK, 2012. [Google Scholar]
- GoBel, M.; Rahmel, A.; Schütze, M. The isothermal-oxidation behavior of several nickel-base single-crystal superalloys with and without coatings. Oxid. Met. 1993, 39, 231–261. [Google Scholar] [CrossRef]
- Narita, T.; Thosin, K.Z.; Fengqun, L. Development of re-based diffusion barrier coatings on nickel based superalloys. Mater. Corros. 2015, 56, 923–929. [Google Scholar] [CrossRef]
- Cowles, B.A. High cycle fatigue in aircraft gas turbines—An industry perspective. Int. J. Fract. 1996, 80, 147–163. [Google Scholar] [CrossRef]
- Sun, B.; Zhang, T.; Song, L.; Zhang, L. Oxidation behavior in static air and its effect on tensile properties of a powder metallurgy EP962NP nickel-based superalloy. J. Alloys Compd. 2022, 934, 167795. [Google Scholar] [CrossRef]
- Carter, T.J. Common failures in gas turbine blades. Eng. Fail. Anal. 2005, 12, 237–247. [Google Scholar] [CrossRef]
- Zhang, T.; Yuan, H. Stress shielding in laser melting multilayered nickel-base superalloys under monotonic and cyclic loadings. Int. J. Fatigue 2023, 167, 107349.1–107349.14. [Google Scholar] [CrossRef]
- Yuan, S.H.; Wang, Y.R.; Wei, D.S. Experimental investigation on low cycle fatigue and fracture behaviour of a notched Ni-based superalloy at elevated temperature. Fatigue Fract. Eng. Mater. Struct. 2014, 37, 1002–1012. [Google Scholar] [CrossRef]
- Perepezko, J.H. The hotter the engine, the better. Science 2009, 326, 1068–1069. [Google Scholar] [CrossRef]
- MacLachlan, D.W.; Knowles, D.M. Fatigue behaviour and lifing of two single crystal superalloys. Fatigue Fract. Eng. Mater. Struct. 2001, 24, 503–521. [Google Scholar] [CrossRef]
- Murray, S.P.; Cervellon, A.; Cormier, J. Low cycle fatigue of a single crystal CoNi-base superalloy. Mater. Sci. Eng. A 2021, 827, 142007. [Google Scholar] [CrossRef]
- Li, W.Q.; Zhao, X.B.; Cheng, Y. Effect of molybdenum on cyclic oxidation behavior of 4th generation nickel-based single crystal superalloys. Corros. Sci. 2023, 81, 345–356. [Google Scholar] [CrossRef]
- Syed, A.U.; Martinez, F.D.; Roberts, T. Performance Comparison Between Isothermal Hot Corrosion And In Situ Cyclic Hot Corrosion of Nickel-Based Superalloys. Oxid. Met. 2021, 96, 43–55. [Google Scholar] [CrossRef]
- Jia, Y.X.; Zhu, S.L.; Zhang, K. Improving the oxidation behavior of low expansion Ni+CrAlYNO coating systems by regulating the oxygen content. Corros. Sci. 2021, 189, 109582.1–109582.13. [Google Scholar] [CrossRef]
- Liu, L.; Meng, J.; Liu, J.L. Effects of crystal orientations on the low-cycle fatigue of a single-crystal nickel-based superalloy at 980 °C. Acta Metall. Sin. 2019, 32, 381–390. [Google Scholar] [CrossRef]
- Pei, H.; Wen, Z. Oxidation behavior and mechanism of a ni-based single crystal superalloy with single α-Al2O3 film at 1000 °C. Appl. Surf. Sci. 2017, 411, 124–135. [Google Scholar] [CrossRef]
- Hong, H.U.; Choi, B.G.; Kim, I.S. Characterization of deformation mechanisms during low cycle fatigue of a single crystal nickel-based superalloy. J. Mater. Sci. 2011, 46, 5245–5251. [Google Scholar] [CrossRef]
- Fleury, E.; Rémy, L. Low cycle fatigue damage in nickel-base superalloy single crystals at elevated temperature. Mater. Sci. Eng. A 1993, 167, 23–30. [Google Scholar] [CrossRef]
- Anton, D.L. Low cycle fatigue characteristics of <001> and randomly aligned superalloy single crystals. Acta Metall. 1984, 32, 1669–1679. [Google Scholar] [CrossRef]
- Golubovskiy, E.R.; Svetlov, I.L.; Petrushin, N.V. Low-cycle fatigue of nickel superalloy single crystals at elevated temperatures. Russ. Metall. (Met.) 2010, 2010, 941–947. [Google Scholar] [CrossRef]
- Gabb, T.P. Orientation and temperature dependence of some mechanical properties of the single-crystal nickel-base superalloy René N4: Part II. Low cycle fatigue behavior. Metall. Trans. A 1986, 17, 497–505. [Google Scholar] [CrossRef]
- GB 15248-2008; The Test Method for Axial Loading Constant-Amplitude Low-Cycle Fatigue of Metallic Materials. Standards Press of China: Beijing, China, 2008. (In Chinese)
- Zhao, Z.; Li, Q. Transition from internal to surface crack initiation of a single-crystal superalloy in the very-high-cycle fatigue regime at 1100 °C. Int. J. Fatigue 2021, 150, 106343. [Google Scholar] [CrossRef]
- Pfennig, A.; Fedelich, B. Oxidation of single crystal PWA 1483 at 950 °C in flowing air. Corros. Sci. 2008, 50, 2484–2492. [Google Scholar] [CrossRef]
- Li, W.Q.; Zhao, X.B. Effect of elements distribution on oxidation behavior of a nickel-based single crystal superalloy. Vacuum 2023, 209, 111780. [Google Scholar] [CrossRef]
- Zheng, L.; Zhang, M. Investigations on the growing, cracking and spalling of oxides scales of powder metallurgy Rene95 nickel-based superalloy. Appl. Surf. Sci. 2011, 257, 9762–9767. [Google Scholar] [CrossRef]
- Li, Y.W.; Wang, D. High temperature VHCF of a 3rd generation Ni-based single crystal superalloy with different casting pore sizes. Int. J. Fatigue 2023, 175, 107804. [Google Scholar] [CrossRef]
- Brenneman, J.; Wei, J. Oxidation behavior of GTD111 Ni-based superalloy at 900 °C in air. Corros. Sci. 2015, 100, 267–274. [Google Scholar] [CrossRef]
- Birks, N.; Meier, G.H. Introduction to the High Temperature Oxidation of Metals, 2nd ed.; Cambridge University Press: Cambridge, UK, 2006. [Google Scholar] [CrossRef]
- Jones, D.A. Principles and prevention of corrosion. Mater. Design. 1992, 14, 207. [Google Scholar] [CrossRef]
- Chapovaloff, J.; Rouillard, F. Kinetics and mechanism of reaction between water vapor, carbon monoxide and a chromia-forming nickel base alloy. Corros. Sci. 2013, 69, 31–42. [Google Scholar] [CrossRef]
- Pei, H.Q.; Wen, Z.X. Long-term oxidation behavior and mechanism of DD6 Ni-based single crystal superalloy at 1050 °C and 1100 °C in air. J. Alloy Compd. 2017, 704, 218–226. [Google Scholar] [CrossRef]
- Tan, Z.H.; Wang, X.G. Oxidation behavior of a novel Nickel-based single crystal superalloy at elevated temperature. Vacuum 2020, 175, 109284. [Google Scholar] [CrossRef]
- Zhai, Y.; Chen, Y.; Zhao, Y. Initial oxidation of Ni-based superalloy and its dynamic microscopic mechanisms: The interface junction initiated outwards oxidation. Acta Mater. 2021, 215, 116991. [Google Scholar] [CrossRef]
- Yang, L.; Zhou, Z. Effect of Al and Cr on the oxidation behavior of nanocrystalline coatings at 1050 °C. Corros. Sci. 2022, 200, 110191. [Google Scholar] [CrossRef]
- Duval, A.; Miserque, F. Influence of the Oxygen Partial Pressure on the Oxidation of Inconel 617 Alloy at High Temperature. Oxid. Met. 2010, 74, 215–238. [Google Scholar] [CrossRef]
- Evans, H.E. Cracking and spalling of protective oxide layers. Mater. Sci. Eng. A 1989, 120, 139–146. [Google Scholar] [CrossRef]
- Zhao, X.; Wang, Z. Oxidation Property of a Fourth-Generation Powder Metallurgy FGH4108 Nickel-Based Superalloy. Metals 2023, 13, 945. [Google Scholar] [CrossRef]
- Hancock, P.; Hurst, R.C. The Mechanical Properties and Breakdown of Surface Oxide Films at Elevated Temperatures, 1st ed.; Plenum Press: New York, NY, USA, 1974. [Google Scholar] [CrossRef]
- Evans, H.E.; Lobb, R.C. Conditions for the initiation of oxide-scale cracking and spallation. Corros. Sci. 1984, 24, 209–222. [Google Scholar] [CrossRef]
- He, X.; Peng, X.; Fang, J. Study on the Microstructure and High-Temperature Oxidation Performance of β-NiAl/γ′-Ni3Al Intermetallic Compounds Fabricated by Laser Metal Deposition. Metals 2023, 13, 1461. [Google Scholar] [CrossRef]
- Pilling, N.B.; Bedworth, R.E. The oxidation of metals at high temperatures. J. Inst. Met. 1923, 29, 529–582. [Google Scholar]
- Hahn, J.; Xiao, X.; Lee, D.B. Oxidation of Ni-Cr-Co-Al-Mo-Ti-Re-Ta-W-Ru Single Crystals at 1000 °C in Air. Korean J. Met. Mater. 2020, 58, 234–246. [Google Scholar] [CrossRef]
- Itoh, Y.; Saitoh, M. Influence of high-temperature protective coatings on the mechanical properties of nickel-based superalloys. J. Mater. Sci. 1999, 34, 3957–3966. [Google Scholar] [CrossRef]












| Al + Ta | Co + Cr | Mo + W | Re + Ru | Ni |
|---|---|---|---|---|
| 12% | 8% | 9% | 7.5% | Bal.% |
Disclaimer/Publisher’s Note: The statements, opinions and data contained in all publications are solely those of the individual author(s) and contributor(s) and not of MDPI and/or the editor(s). MDPI and/or the editor(s) disclaim responsibility for any injury to people or property resulting from any ideas, methods, instructions or products referred to in the content. |
© 2023 by the authors. Licensee MDPI, Basel, Switzerland. This article is an open access article distributed under the terms and conditions of the Creative Commons Attribution (CC BY) license (https://creativecommons.org/licenses/by/4.0/).
Share and Cite
Wang, P.; Zhao, X.; Yue, Q.; Xia, W.; Ding, Q.; Bei, H.; Gu, Y.; Zhang, Z. Crack Initiation in Ni-Based Single Crystal Superalloy under Low-Cycle Fatigue-Oxidation Conditions. Metals 2023, 13, 1878. https://doi.org/10.3390/met13111878
Wang P, Zhao X, Yue Q, Xia W, Ding Q, Bei H, Gu Y, Zhang Z. Crack Initiation in Ni-Based Single Crystal Superalloy under Low-Cycle Fatigue-Oxidation Conditions. Metals. 2023; 13(11):1878. https://doi.org/10.3390/met13111878
Chicago/Turabian StyleWang, Pengfei, Xinbao Zhao, Quanzhao Yue, Wanshun Xia, Qingqing Ding, Hongbin Bei, Yuefeng Gu, and Ze Zhang. 2023. "Crack Initiation in Ni-Based Single Crystal Superalloy under Low-Cycle Fatigue-Oxidation Conditions" Metals 13, no. 11: 1878. https://doi.org/10.3390/met13111878
APA StyleWang, P., Zhao, X., Yue, Q., Xia, W., Ding, Q., Bei, H., Gu, Y., & Zhang, Z. (2023). Crack Initiation in Ni-Based Single Crystal Superalloy under Low-Cycle Fatigue-Oxidation Conditions. Metals, 13(11), 1878. https://doi.org/10.3390/met13111878

