Effects of Al-Mg on the Microstructure and Phase Distribution of Zn-Al-Mg Coatings
Abstract
1. Introduction
2. Materials and Methods
3. Results and Analysis
3.1. Microstructure and Phase Composition
3.2. Thermodynamic Calculation and Solidification Simulation
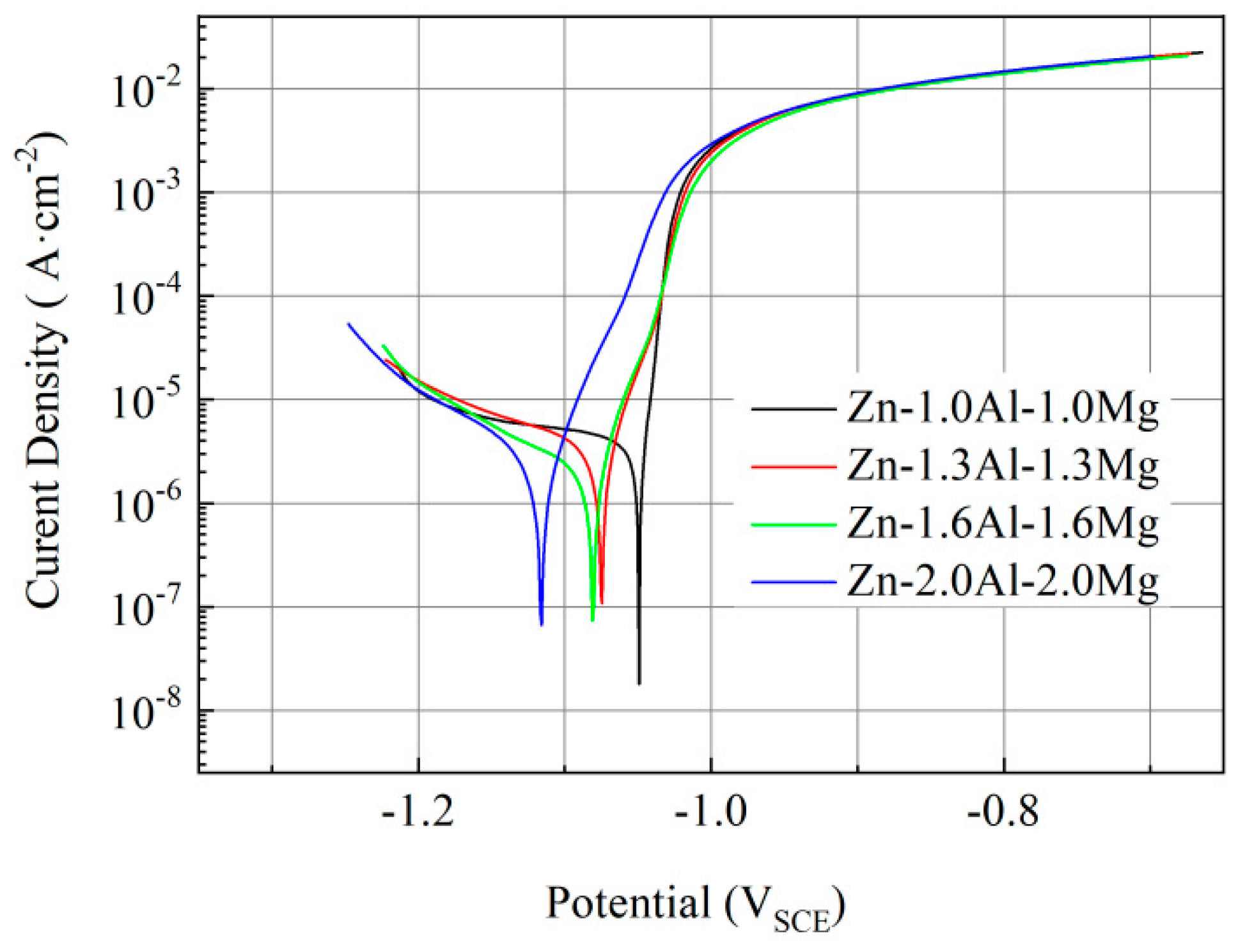
3.3. Corrosion Performance
4. Conclusions
- (1)
- Under the condition that the ratio of aluminum to magnesium of zinc aluminum magnesium coating is 1:1, and the content of aluminum and magnesium is in the range of 1–2 wt.%, with the increase of the two elements, the micro morphology of the coating has a certain regularity of change, in which the composition of the phase type has not changed and is composed of a zinc-rich phase, binary (Zn/MgZn2) and ternary eutectic phase (Zn/MgZn2/Al). The zinc-rich phase decreases with the synchronous increase of magnesium and aluminum, and the volume ratio of binary and ternary eutectic phases increases.
- (2)
- The calculation results of the thermodynamic simulation software are consistent with the statistical results of the cross section, and surface SEM images of the zinc aluminum magnesium coating show the trend of the coating phase distribution, basically. The content of two elements increases at the same time, resulting in an obvious increase in the volume ratio of ternary eutectic phase Zn/MgZn2/Al. In addition, with the increase of magnesium and aluminum, MgZn2 shows an obvious increasing trend, and the presence of aluminum in the ternary eutectic structure is the main reason for this phase distribution trend.
- (3)
- The quantity of MgZn2 in the coating is the key factor for its corrosion resistance. The research shows that with the increase of element contents in the coating, the corrosion resistance of the coating will also be improved. The main reason is that the existence of MgZn2 reduces the corrosion potential of the coating, preferentially dissolves in the corrosion process, and plays a role in the protection of sacrificial anode.
Author Contributions
Funding
Data Availability Statement
Acknowledgments
Conflicts of Interest
References
- Yu, K.C.; Li, J.; Liu, X.; Li, J.G.; Xue, X.H. Microstructure of hot-dip galvanized Zn-Al-Mg alloy coating. J. Shanghai Jiaotong Univ. 2012, 17, 663–667. [Google Scholar] [CrossRef]
- Wang, Y.-Q.; Kong, G.; Che, C.-S. Corrosion Behavior of Zn-Al, Zn-Mg, and Zn-Mg-Al Coatings in Simulated Concrete Pore Solution. Corrosion 2018, 75, 203–209. [Google Scholar] [CrossRef] [PubMed]
- Prosek, T.; Hagström, J.; Persson, D.; Fuertes, N.; Lindberg, F.; Chocholatý, O.; Taxén, C.; Šerák, J.; Thierry, D. Effect of the microstructure of Zn-Al and Zn-Al-Mg model alloys on corrosion stability. Corros. Sci. 2016, 110, 71–81. [Google Scholar] [CrossRef]
- Stoulil, J.; Prosek, T.; Nazarov, A.; Oswald, J.; Kriz, P.; Thierry, D. Electrochemical properties of corrosion products formed on Zn-Mg, Zn-Al and Zn-Al-Mg coatings in model atmospheric conditions. Mater. Corros. 2015, 66, 777–782. [Google Scholar] [CrossRef]
- Jiang, S.M.; Yue, C.F.; Zhang, Q.F. Coating Structure and Corrosion Resistance Behavior of Hot Dip Zn-Al-Mg-Si Alloy Coating Steel Sheet. Adv. Mater. Res. 2013, 834, 601–608. [Google Scholar] [CrossRef]
- Prosek, T.; Nazarov, A.; Le Gac, A.; Thierry, D. Coil-coated Zn-Mg and Zn-Al-Mg: Effect of climatic parameters on the corrosion at cut edges. Prog. Org. Coat. 2015, 83, 26–35. [Google Scholar] [CrossRef]
- Gogola, P.; Gabalcova, Z.; Kusy, M.; Suchanek, H. The Effect of Sn Addition on Zn-Al-Mg Alloy; Part I: Microstructure and Phase Composition. Materials 2021, 14, 5404. [Google Scholar] [CrossRef]
- Gabalcova, Z.; Gogola, P.; Kusy, M.; Suchanek, H. The Effect of Sn Addition on Zn-Al-Mg Alloy; Part II: Corrosion Behaviour. Materials 2021, 14, 5290. [Google Scholar] [CrossRef]
- Hai Tat, L.; Bakhsheshi-Rad, H.R.; Hamzah, E.; Cho, M.H.; Mostafa, A.; Farahany, S. Microstructure, phase evolution and corrosion behaviour of the Zn-Al-Mg-Sb alloy coating on steel. Mater. Sci. Technol. 2019, 36, 353–366. [Google Scholar] [CrossRef]
- Wang, P.J.; Ma, L.W.; Cheng, X.Q.; Li, X.G. Influence of grain refinement on the corrosion behavior of metallic materials: A review. Int. J. Miner. Metall. Mater. 2021, 28, 1112–1126. [Google Scholar] [CrossRef]
- Li, B.; Dong, A.; Zhu, G.; Chu, S.; Qian, H.; Hu, C.; Sun, B.; Wang, J. Investigation of the corrosion behaviors of continuously hot-dip galvanizing Zn-Mg coating. Surf. Coat. Technol. 2012, 206, 3989–3999. [Google Scholar] [CrossRef]
- De Bruycker, E.; Zermout, Z.; De Cooman, B.C. Zn-Al-Mg Coatings: Thermodynamic Analysis and Microstructure Related Properties. Mater. Sci. Forum 2007, 539, 1276–1281. [Google Scholar] [CrossRef]
- Costa, A.N.C.; Silva, G.C.; Ferreira, E.A.; Nakazato, R.Z. Comparative analysis of corrosion resistance of Zinc and Zn-Al-Mg coatings on carbon steel. Res. Soc. Dev. 2021, 10, e49810111973. [Google Scholar] [CrossRef]
- Duchoslav, J.; Arndt, M.; Keppert, T.; Luckeneder, G.; Stifter, D. XPS investigation on the surface chemistry of corrosion products on ZnMgAl-coated steel. Anal. Bioanal. Chem. 2013, 405, 7133–7144. [Google Scholar] [CrossRef] [PubMed]
- Çetinkaya, B.W.; Junge, F.; Müller, G.; Haakmann, F.; Schierbaum, K.; Giza, M. Impact of alkaline and acid treatment on the surface chemistry of a hot-dip galvanized Zn-Al-Mg coating. J. Mater. Res. Technol. 2020, 9, 16445–16458. [Google Scholar] [CrossRef]
- Ahmadi, M.; Salgın, B.; Kooi, B.J.; Pei, Y. Cracking behavior and formability of Zn-Al-Mg coatings: Understanding the influence of steel substrates. Mater. Des. 2021, 212, 110215. [Google Scholar] [CrossRef]
- Lin, S.; Okuda, H.; Matsumoto, K.; Yamaguchi, M.; Sato, K. Nanostructure Distribution and Strengthening Mechanisms in the Interface Regions of Al-Zn/Al-Mg Multilayered Composites. Mater. Trans. 2021, 62, 603–609. [Google Scholar] [CrossRef]
- LeBozec, N.; Thierry, D.; Persson, D.; Riener, C.K.; Luckeneder, G. Influence of microstructure of zinc-aluminium-magnesium alloy coated steel on the corrosion behavior in outdoor marine atmosphere. Surf. Coat. Technol. 2019, 374, 897–909. [Google Scholar] [CrossRef]
- LeBozec, N.; Thierry, D.; Peltola, A.; Luxem, L.; Luckeneder, G.; Marchiaro, G.; Rohwerder, M. Corrosion performance of Zn-Mg-Al coated steel in accelerated corrosion tests used in the automotive industry and field exposures. Mater. Corros. 2013, 64, 969–978. [Google Scholar] [CrossRef]
- Commenda, C.; Pühringer, J. Microstructural characterization and quantification of Zn-Al-Mg surface coatings. Mater. Charact. 2010, 61, 943–951. [Google Scholar] [CrossRef]
- Dutta, M.; Halder, A.K.; Singh, S.B. Morphology and properties of hot dip Zn-Mg and Zn-Mg-Al alloy coatings on steel sheet. Surf. Coat. Technol. 2010, 205, 2578–2584. [Google Scholar] [CrossRef]
- Wint, N.; Cooze, N.; Searle, J.R.; Sullivan, J.H.; Williams, G.; McMurray, H.N.; Luckeneder, G.; Riener, C. The Effect of Microstructural Refinement on the Localized Corrosion of Model Zn-Al-Mg Alloy Coatings on Steel. J. Electrochem. Soc. 2019, 166, C3147–C3158. [Google Scholar] [CrossRef]
- Duchoslav, J.; Arndt, M.; Steinberger, R.; Keppert, T.; Luckeneder, G.; Stellnberger, K.H.; Hagler, J.; Riener, C.K.; Angeli, G.; Stifter, D. Nanoscopic view on the initial stages of corrosion of hot dip galvanized Zn-Mg-Al coatings. Corros. Sci. 2014, 83, 327–334. [Google Scholar] [CrossRef]
- Su, X.; Zhou, J.; Wang, J.; Wu, C.; Liu, Y.; Tu, H.; Peng, H. Thermodynamic analysis and experimental study on the oxidation of the Zn-Al-Mg coating baths. Appl. Surf. Sci. 2017, 396, 154–160. [Google Scholar] [CrossRef]
- Zhang, Z. Microstructure and Corrosion Resistance of Zn-Al-Mg Alloy Diffusion Coating developed on Carbon Steel by Hot Dipping. Int. J. Electrochem. Sci. 2020, 15, 5512–5519. [Google Scholar] [CrossRef]
- Rai, P.K.; Rout, D.; Satish Kumar, D.; Sharma, S.; Balachandran, G. Effect of Magnesium on Corrosion Behavior of Hot-Dip Zn-Al-Mg Coating. J. Mater. Eng. Perform. 2021, 30, 4138–4147. [Google Scholar] [CrossRef]
- Salgueiro Azevedo, M.; Allély, C.; Ogle, K.; Volovitch, P. Corrosion mechanisms of Zn(Mg,Al) coated steel: 2. The effect of Mg and Al alloying on the formation and properties of corrosion products in different electrolytes. Corros. Sci. 2015, 90, 482–490. [Google Scholar] [CrossRef]
- Volovitch, P.; Vu, T.N.; Allély, C.; Abdel Aal, A.; Ogle, K. Understanding corrosion via corrosion product characterization: II. Role of alloying elements in improving the corrosion resistance of Zn-Al-Mg coatings on steel. Corros. Sci. 2011, 53, 2437–2445. [Google Scholar] [CrossRef]
- Thierry, D.; Persson, D.; Luckeneder, G.; Stellnberger, K.-H. Atmospheric corrosion of ZnAlMg coated steel during long term atmospheric weathering at different worldwide exposure sites. Corros. Sci. 2019, 148, 338–354. [Google Scholar] [CrossRef]
- Prosek, T.; Larché, N.; Vlot, M.; Goodwin, F.; Thierry, D. Corrosion performance of Zn-Al-Mg coatings in open and confined zones in conditions simulating automotive applications. Mater. Corros. 2010, 61, 412–420. [Google Scholar] [CrossRef]










| Coating (wt.%) | Al | Mg | Zn |
|---|---|---|---|
| Zn-1.0Al-1.0Mg | 1.05 | 1.04 | 97.91 |
| Zn-1.3Al-1.3Mg | 1.33 | 1.35 | 97.32 |
| Zn-1.6Al-1.6Mg | 1.61 | 1.64 | 96.75 |
| Zn-2.1Al-2.1Mg | 2.11 | 2.08 | 95.81 |
| Coatings (wt.%) | Ecorr, mVSCE | Icorr, μA/cm2 |
|---|---|---|
| Zn-1.0Al-1.0Mg | −1055 ± 5 | 5.68 ± 0.5 |
| Zn-1.3Al-1.3Mg | −1070 ± 5 | 4.71 ± 5 |
| Zn-1.6Al-1.6Mg | −1185 ± 5 | 3.95 ± 5 |
| Zn-2.1Al-2.1Mg | −1120 ± 5 | 3.02 ± 5 |
Disclaimer/Publisher’s Note: The statements, opinions and data contained in all publications are solely those of the individual author(s) and contributor(s) and not of MDPI and/or the editor(s). MDPI and/or the editor(s) disclaim responsibility for any injury to people or property resulting from any ideas, methods, instructions or products referred to in the content. |
© 2022 by the authors. Licensee MDPI, Basel, Switzerland. This article is an open access article distributed under the terms and conditions of the Creative Commons Attribution (CC BY) license (https://creativecommons.org/licenses/by/4.0/).
Share and Cite
Zhang, Z.; Zhang, J.; Zhao, X.; Cheng, X.; Jiang, S.; Zhang, Q. Effects of Al-Mg on the Microstructure and Phase Distribution of Zn-Al-Mg Coatings. Metals 2023, 13, 46. https://doi.org/10.3390/met13010046
Zhang Z, Zhang J, Zhao X, Cheng X, Jiang S, Zhang Q. Effects of Al-Mg on the Microstructure and Phase Distribution of Zn-Al-Mg Coatings. Metals. 2023; 13(1):46. https://doi.org/10.3390/met13010046
Chicago/Turabian StyleZhang, Ziyue, Jie Zhang, Xingyuan Zhao, Xuequn Cheng, Sheming Jiang, and Qifu Zhang. 2023. "Effects of Al-Mg on the Microstructure and Phase Distribution of Zn-Al-Mg Coatings" Metals 13, no. 1: 46. https://doi.org/10.3390/met13010046
APA StyleZhang, Z., Zhang, J., Zhao, X., Cheng, X., Jiang, S., & Zhang, Q. (2023). Effects of Al-Mg on the Microstructure and Phase Distribution of Zn-Al-Mg Coatings. Metals, 13(1), 46. https://doi.org/10.3390/met13010046
