Combining Digital Twin and Machine Learning for the Fused Filament Fabrication Process
Abstract
1. Introduction
2. Description of the Fused Filament Fabrication Process
3. Methods and Materials
3.1. PID/PWM Control Circuit Simulation
3.2. Extruder Assembly Simulation
3.2.1. Conjugate Convective Heat Transfer Simulation
3.2.2. Material Melting Simulation
3.2.3. Microchannel Simulation
3.3. Experimental Validations and Testing
3.4. Reduced Order Modelling
3.5. Machine Learning Development
3.5.1. Convolutional Neural Network
3.5.2. Random Forest Classifier
4. Results and Discussion
4.1. PID/PWM Control Circuit Simulation and Validation
4.2. Extruder Assembly Simulation and Validation
4.2.1. Conjugate Convective Heat Transfer Simulation and Validation
4.2.2. Material Melting Simulation and Validation
4.2.3. Material Flow though the Microchannel
4.3. ROM for Extrusion Temperature and Extrusion Rate
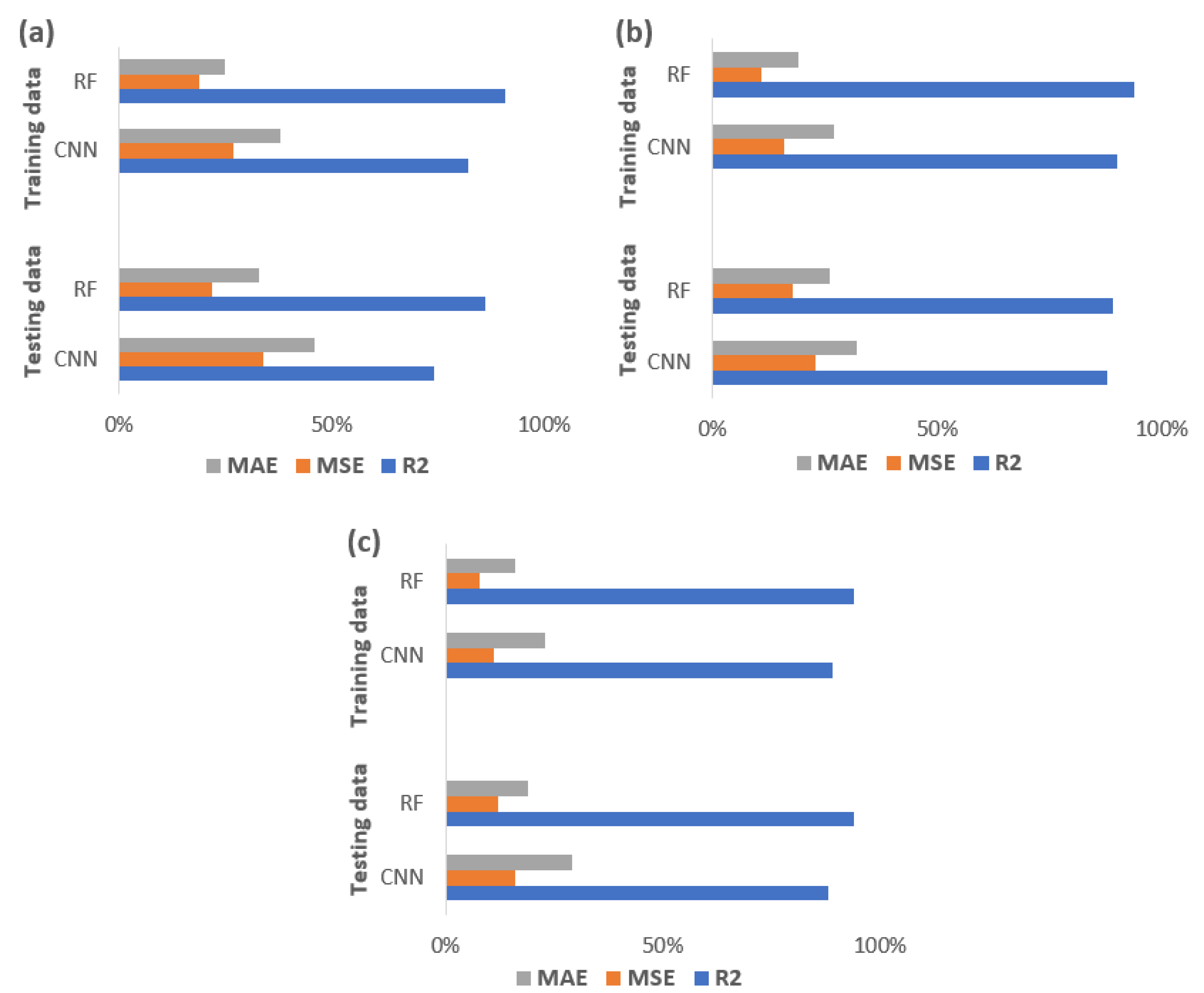
4.4. Implementation of Machine Learning for Performance Classification
5. Conclusions
Author Contributions
Funding
Data Availability Statement
Conflicts of Interest
Nomenclature
| Symbol | Description | Symbol | Description |
| , , | Turbulent constants | Rise in pressure across the fan for a given axial flow rate Q | |
| C | Specific heat | h | Thickness of the toroid region swept by the blades in the axial direction |
| Density | Fan power | ||
| Velocity vector component | r | Local radial distance from the fan axis | |
| Direction vector component | Fan operating angular velocity | ||
| Pressure | Radius of the fan hub | ||
| Stress tensor component | Radius of a point on the fan blade based on the inflection point ratio | ||
| Gravitational acceleration | Radius of the fan blade tip | ||
| Kronecker delta | Fluid density | ||
| Rotating directional suffixes | Local tangential velocity | ||
| Temperature | Thermal conductivity | ||
| Turbulence kinetic energy | Specific rate of dissipation | ||
| Time | Viscosity | ||
| Turbulence viscosity | Kinematic turbulent viscosity | ||
| Velocity vector component mean (time averaged) | Enthalpy | ||
| Reference enthalpy | Reference temperature | ||
| Latent heat of melting | Liquidus temperature | ||
| Solidus temperature | Mushy zone constant | ||
| Cross-WLF viscosity | zero shear viscosity | ||
| Shear rate | Critical stress level | ||
| Proportional gain | Integration gain | ||
| Differential gain | Rest time | ||
| Rate time | Stiffness matrix | ||
| System variable | Basis functions | ||
| Infill flow | Deposition speed | ||
| Layer height | Line width |
References
- Beaman, J.J.; Bourell, D.L.; Seepersad, C.C.; Kovar, D. Additive manufacturing review: Early past to current practice. J. Manuf. Sci. Eng. 2020, 142, 110812. [Google Scholar] [CrossRef]
- Kumar, M.B.; Sathiya, P. Methods and materials for additive manufacturing: A critical review on advancements and challenges. Thin-Walled Struct. 2021, 159, 107228. [Google Scholar] [CrossRef]
- Butt, J.; Oxford, P.; Sadeghi-Esfahlani, S.; Ghorabian, M.; Shirvani, H. Hybrid manufacturing and mechanical characterization of Cu/PLA composites. Arab. J. Sci. Eng. 2020, 45, 9339–9356. [Google Scholar] [CrossRef]
- Butt, J.; Mebrahtu, H.; Shirvani, H. Tensile lap-shear and flexural behaviour of aluminium metal foil parts made by composite metal foil manufacturing. Prog. Addit. Manuf. 2019, 4, 73–81. [Google Scholar] [CrossRef]
- Xia, C.; Pan, Z.; Polden, J.; Li, H.; Xu, Y.; Chen, S. Modelling and prediction of surface roughness in wire arc additive manufacturing using machine learning. J. Intell. Manuf. 2022, 33, 1467–1482. [Google Scholar] [CrossRef]
- Parandoush, P.; Lin, D. A review on additive manufacturing of polymer-fiber composites. Compos. Struct. 2017, 182, 36–53. [Google Scholar] [CrossRef]
- Butt, J.; Mebrahtu, H.; Shirvani, H. Microstructure and mechanical properties of dissimilar pure copper foil/1050 aluminium composites made with composite metal foil manufacturing. J. Mater. Process. Technol. 2016, 238, 96–107. [Google Scholar] [CrossRef]
- Chen, H.; Zhao, Y.F. Process parameters optimization for improving surface quality and manufacturing accuracy of binder jetting additive manufacturing process. Rapid Prototyp. J. 2016, 22, 527–538. [Google Scholar] [CrossRef]
- Chacón, J.M.; Caminero, M.A.; García-Plaza, E.; Núnez, P.J. Additive manufacturing of PLA structures using fused deposition modelling: Effect of process parameters on mechanical properties and their optimal selection. Mater. Des. 2017, 124, 143–157. [Google Scholar] [CrossRef]
- Butt, J.; Bhaskar, R.; Mohaghegh, V. Analysing the effects of layer heights and line widths on FFF-printed thermoplastics. Int. J. Adv. Manuf. Technol. 2022, 121, 7383–7411. [Google Scholar] [CrossRef]
- Brennan, M.C.; Keist, J.S.; Palmer, T.A. Defects in metal additive manufacturing processes. J. Mater. Eng. Perform. 2021, 30, 4808–4818. [Google Scholar] [CrossRef]
- Oliveira, J.P.; LaLonde, A.D.; Ma, J. Processing parameters in laser powder bed fusion metal additive manufacturing. Mater. Des. 2020, 193, 108762. [Google Scholar] [CrossRef]
- Yakout, M.; Cadamuro, A.; Elbestawi, M.A.; Veldhuis, S.C. The selection of process parameters in additive manufacturing for aerospace alloys. Int. J. Adv. Manuf. Technol. 2017, 92, 2081–2098. [Google Scholar] [CrossRef]
- Butt, J.; Mebrahtu, H.; Shirvani, H. Numerical and experimental analysis of product development by composite metal foil manufacturing. Int. J. Rapid Manuf. 2018, 7, 59–82. [Google Scholar] [CrossRef]
- Forés-Garriga, A.; Pérez, M.A.; Gómez-Gras, G.; Reyes-Pozo, G. Role of infill parameters on the mechanical performance and weight reduction of PEI Ultem processed by FFF. Mater. Des. 2020, 193, 108810. [Google Scholar] [CrossRef]
- Gao, J. Production of multiple material parts using a desktop 3D printer. In Advances in Manufacturing Technology XXXI: Proceedings of the 15th International Conference on Manufacturing Research, Incorporating the 32nd National Conference on Manufacturing Research, University of Greenwich, London, UK, 5–7 September 2017; IOS Press: Amsterdam, The Netherlands, 2017; Volume 6, p. 148. [Google Scholar]
- Butt, J.; Bhaskar, R.; Mohaghegh, V. Investigating the effects of extrusion temperatures and material extrusion rates on FFF-printed thermoplastics. Int. J. Adv. Manuf. Technol. 2021, 117, 2679–2699. [Google Scholar] [CrossRef]
- Liao, J.; Shen, Z.; Xiong, G.; Liu, C.; Luo, C.; Lu, J. Preliminary study on fault diagnosis and intelligent learning of fused deposition modeling (FDM) 3D Printer. In Proceedings of the 2019 14th IEEE Conference on Industrial Electronics and Applications (ICIEA), Xi’an, China, 19–21 June 2019; pp. 2098–2102. [Google Scholar]
- Fico, D.; Rizzo, D.; Casciaro, R.; Esposito Corcione, C. A review of polymer-based materials for Fused Filament Fabrication (FFF): Focus on sustainability and recycled materials. Polymers 2022, 14, 465. [Google Scholar] [CrossRef]
- Maurizi, M.; Slavič, J.; Cianetti, F.; Jerman, M.; Valentinčič, J.; Lebar, A.; Boltežar, M. Dynamic measurements using FDM 3D-printed embedded strain sensors. Sensors 2019, 19, 2661. [Google Scholar] [CrossRef]
- Holzmond, O.; Li, X. In situ real time defect detection of 3D printed parts. Addit. Manuf. 2017, 17, 135–142. [Google Scholar] [CrossRef]
- Tlegenov, Y.; Hong, G.S.; Lu, W.F. Nozzle condition monitoring in 3D printing. Robot. Comput.-Integr. Manuf. 2018, 54, 45–55. [Google Scholar] [CrossRef]
- Rao, P.K.; Liu, J.P.; Roberson, D.; Kong, Z.J.; Williams, C. Online real-time quality monitoring in additive manufacturing processes using heterogeneous sensors. J. Manuf. Sci. Eng. 2015, 137, 061007. [Google Scholar] [CrossRef]
- Tichý, T.; Šefl, O.; Veselý, P.; Dušek, K.; Bušek, D. Mathematical modelling of temperature distribution in selected parts of fff printer during 3d printing process. Polymers 2021, 13, 4213. [Google Scholar] [CrossRef] [PubMed]
- Ramos, N.; Mittermeier, C.; Kiendl, J. Experimental and numerical investigations on heat transfer in fused filament fabrication 3D-printed specimens. Int. J. Adv. Manuf. Technol. 2022, 118, 1367–1381. [Google Scholar] [CrossRef]
- Phan, D.D.; Horner, J.S.; Swain, Z.R.; Beris, A.N.; Mackay, M.E. Computational fluid dynamics simulation of the melting process in the fused filament fabrication additive manufacturing technique. Addit. Manuf. 2020, 33, 101161. [Google Scholar] [CrossRef]
- Zhu, Q.; Liu, Z.; Yan, J. Machine learning for metal additive manufacturing: Predicting temperature and melt pool fluid dynamics using physics-informed neural networks. Comput. Mech. 2021, 67, 619–635. [Google Scholar] [CrossRef]
- Meng, L.; McWilliams, B.; Jarosinski, W.; Park, H.Y.; Jung, Y.G.; Lee, J.; Zhang, J. Machine learning in additive manufacturing: A review. Jom 2020, 72, 2363–2377. [Google Scholar] [CrossRef]
- Wang, C.; Tan, X.P.; Tor, S.B.; Lim, C.S. Machine learning in additive manufacturing: State-of-the-art and perspectives. Addit. Manuf. 2020, 36, 101538. [Google Scholar] [CrossRef]
- Valizadeh, M.; Wolff, S.J. Convolutional Neural Network applications in additive manufacturing: A review. Adv. Ind. Manuf. Eng. 2022, 4, 100072. [Google Scholar] [CrossRef]
- Jayasudha, M.; Elangovan, M.; Mahdal, M.; Priyadarshini, J. Accurate Estimation of Tensile Strength of 3D Printed Parts Using Machine Learning Algorithms. Processes 2022, 10, 1158. [Google Scholar] [CrossRef]
- Zheng, P.; Sivabalan, A.S. A generic tri-model-based approach for product-level digital twin development in a smart manufacturing environment. Robot. Comput.-Integr. Manuf. 2020, 64, 101958. [Google Scholar] [CrossRef]
- Pantelidakis, M.; Mykoniatis, K.; Liu, J.; Harris, G. A digital twin ecosystem for additive manufacturing using a real-time development platform. Int. J. Adv. Manuf. Technol. 2022, 120, 6547–6563. [Google Scholar] [CrossRef] [PubMed]
- Stark, R.; Fresemann, C.; Lindow, K. Development and operation of Digital Twins for technical systems and services. CIRP Ann. 2019, 68, 129–132. [Google Scholar] [CrossRef]
- Gunasegaram, D.R.; Murphy, A.B.; Matthews, M.J.; DebRoy, T. The case for digital twins in metal additive manufacturing. J. Phys. Mater. 2021, 4, 040401. [Google Scholar] [CrossRef]
- Mukherjee, T.; DebRoy, T. A digital twin for rapid qualification of 3D printed metallic components. Appl. Mater. Today 2019, 14, 59–65. [Google Scholar] [CrossRef]
- Kumar, S.; Kolekar, T.; Patil, S.; Bongale, A.; Kotecha, K.; Zaguia, A.; Prakash, C. A Low-Cost Multi-Sensor Data Acquisition System for Fault Detection in Fused Deposition Modelling. Sensors 2022, 22, 517. [Google Scholar] [CrossRef]
- Alejandrino, J.D.; Concepcion, R.S., II; Lauguico, S.C.; Tobias, R.R.; Venancio, L.; Macasaet, D.; Bandala, A.A.; Dadios, E.P. A machine learning approach of lattice infill pattern for increasing material efficiency in additive manufacturing processes. Int. J. Mech. Eng. Robot. Res. 2020, 9, 1253–1263. [Google Scholar] [CrossRef]
- Banadaki, Y.; Razaviarab, N.; Fekrmandi, H.; Sharifi, S. Toward enabling a reliable quality monitoring system for additive manufacturing process using deep convolutional neural networks. arXiv 2020, arXiv:2003.08749. [Google Scholar]
- Wu, D.; Wei, Y.; Terpenny, J. Predictive modelling of surface roughness in fused deposition modelling using data fusion. Int. J. Prod. Res. 2019, 57, 3992–4006. [Google Scholar] [CrossRef]
- Hooda, N.; Chohan, J.S.; Gupta, R.; Kumar, R. Deposition angle prediction of Fused Deposition Modeling process using ensemble machine learning. ISA Trans. 2021, 116, 121–128. [Google Scholar] [CrossRef]
- Barrios, J.M.; Romero, P.E. Decision tree methods for predicting surface roughness in fused deposition modeling parts. Materials 2019, 12, 2574. [Google Scholar] [CrossRef]
- Mourtzis, D.; Togias, T.; Angelopoulos, J.; Stavropoulos, P. A Digital Twin architecture for monitoring and optimization of Fused Deposition Modeling processes. Procedia CIRP 2021, 103, 97–102. [Google Scholar] [CrossRef]
- Balta, E.C.; Tilbury, D.M.; Barton, K. A digital twin framework for performance monitoring and anomaly detection in fused deposition modeling. In Proceedings of the 2019 IEEE 15th International Conference on Automation Science and Engineering (CASE), Vancouver, BC, Canada, 22–26 August 2019; pp. 823–829. [Google Scholar]
- Osho, J.; Hyre, A.; Pantelidakis, M.; Ledford, A.; Harris, G.; Liu, J.; Mykoniatis, K. Four Rs Framework for the development of a digital twin: The implementation of Representation with a FDM manufacturing machine. J. Manuf. Syst. 2022, 63, 370–380. [Google Scholar] [CrossRef]
- Corradini, F.; Silvestri, M. Design and testing of a digital twin for monitoring and quality assessment of material extrusion process. Addit. Manuf. 2022, 51, 102633. [Google Scholar] [CrossRef]
- BS EN ISO 527-2:2012; Plastics—Determination of Tensile Properties—Part 2: Test Conditions for Moulding and Extrusion Plastics. British, European and International Standard: London, UK, 2012.
- PrimaValue™ PLA. Available online: https://primacreator.com/collections/pla (accessed on 14 September 2022).
- Ultimaker Cura: Advanced 3D Printing Software, Made Accessible. Available online: https://ultimaker.com/en/products/ultimaker-cura-software (accessed on 14 October 2022).
- Meshram, P.M.; Kanojiya, R.G. Tuning of PID controller using Ziegler-Nichols method for speed control of DC motor. In Proceedings of the IEEE—International Conference on Advances in Engineering, Science and Management (ICAESM-2012), Nagapattinam, India, 30–31 March 2012; pp. 117–122. [Google Scholar]
- Aisuwarya, R.; Hidayati, Y. Implementation of ziegler-nichols PID tuning method on stabilizing temperature of hot-water dispenser. In Proceedings of the 2019 16th International Conference on Quality in Research (QIR): International Symposium on Electrical and Computer Engineering, Padang, Indonesia, 22–24 July 2019; pp. 1–5. [Google Scholar]
- Lin, C.N. Enhanced heat transfer performance of cylindrical surface by piezoelectric fan under forced convection conditions. Int. J. Heat Mass Transf. 2013, 60, 296–308. [Google Scholar] [CrossRef]
- Roe, B.; Jaiman, R.; Haselbacher, A.; Geubelle, P.H. Combined interface boundary condition method for coupled thermal simulations. Int. J. Numer. Methods Fluids 2008, 57, 329–354. [Google Scholar] [CrossRef]
- Peng, W.; Li, G.; Geng, J.; Yan, W. An iterative correction method for the input fan curve in an actuator disk model. Int. J. Vent. 2018, 17, 240–255. [Google Scholar] [CrossRef]
- Mukherjee, T.; Wei, H.L.; De, A.; DebRoy, T. Heat and fluid flow in additive manufacturing—Part II: Powder bed fusion of stainless steel, and titanium, nickel and aluminum base alloys. Comput. Mater. Sci. 2018, 150, 369–380. [Google Scholar] [CrossRef]
- Bergström, J.S.; Hayman, D. An overview of mechanical properties and material modeling of polylactide (PLA) for medical applications. Ann. Biomed. Eng. 2016, 44, 330–340. [Google Scholar] [CrossRef]
- Anyanwu, I.S.; Hou, Y.; Xi, F.; Wang, X.; Yin, Y.; Du, Q.; Jiao, K. Comparative analysis of two-phase flow in sinusoidal channel of different geometric configurations with application to PEMFC. Int. J. Hydrogen Energy 2019, 44, 13807–13819. [Google Scholar] [CrossRef]
- John, B.; Senthilkumar, P.; Sadasivan, S. Applied and theoretical aspects of conjugate heat transfer analysis: A review. Arch. Comput. Methods Eng. 2019, 26, 475–489. [Google Scholar] [CrossRef]
- Fawzy, H.; Zheng, Q.; Jiang, Y.; Lin, A.; Ahmad, N. Conjugate heat transfer of impingement cooling using conical nozzles with different schemes in a film-cooled blade leading-edge. Appl. Therm. Eng. 2020, 177, 115491. [Google Scholar] [CrossRef]
- Mori, K.; Yamashita, S.; Fukuda, T.; Sekiguchi, M.; Ezawa, H.; Akejima, S. 3D Fan-Out Package Technology with Photosensitive Through Mold Interconnects. In Proceedings of the 2019 IEEE 69th Electronic Components and Technology Conference (ECTC), Las Vegas, NV, USA, 28–31 May 2019; pp. 1140–1145. [Google Scholar]
- Ebrahimi, A.; Kleijn, C.R.; Richardson, I.M. Sensitivity of numerical predictions to the permeability coefficient in simulations of melting and solidification using the enthalpy-porosity method. Energies 2019, 12, 4360. [Google Scholar] [CrossRef]
- Kim, S.Y.; Park, S.H. Identification of Cross-WLF Viscosity Model Parameters Using Optimization Technique. J. Korea Acad. Ind. Coop. Soc. 2018, 19, 623–632. [Google Scholar]
- Baines, M.J.; Hubbard, M.E.; Jimack, P.K. Velocity-based moving mesh methods for nonlinear partial differential equations. Commun. Comput. Phys. 2011, 10, 509–576. [Google Scholar] [CrossRef]
- Özkan, F.; Wenka, A.; Hansjosten, E.; Pfeifer, P.; Kraushaar-Czarnetzki, B. Numerical investigation of interfacial mass transfer in two phase flows using the VOF method. Eng. Appl. Comput. Fluid Mech. 2016, 10, 100–110. [Google Scholar] [CrossRef]
- Lehmann, M.; Gekle, S. Analytic solution to the piecewise linear interface construction problem and its application in curvature calculation for volume-of-fluid simulation codes. Computation 2022, 10, 21. [Google Scholar] [CrossRef]
- Lei, M.; Wei, Q.; Li, M.; Zhang, J.; Yang, R.; Wang, Y. Numerical Simulation and Experimental Study the Effects of Process Parameters on Filament Morphology and Mechanical Properties of FDM 3D Printed PLA/GNPs Nanocomposite. Polymers 2022, 14, 3081. [Google Scholar] [CrossRef]
- Test Equipment Solutions. Available online: https://www.testequipmenthq.com/product/lecroy-waverunner-204xi (accessed on 14 September 2022).
- TELEDYNE FLIR. Available online: https://www.flir.eu/products/c5/ (accessed on 14 September 2022).
- Omni Instruments. Available online: https://www.omniinstruments.co.uk/datataker-dt80-data-logger.html (accessed on 16 September 2022).
- Park, Y.J.; Yu, T.; Yim, S.J.; You, D.; Kim, D.P. A 3D-printed flow distributor with uniform flow rate control for multi-stacked microfluidic systems. Lab Chip 2018, 18, 1250–1258. [Google Scholar] [CrossRef]
- Mitutoyo: Surftest SJ-210 [inch/mm]. Available online: https://www.mitutoyo.com/webfoo/wp-content/uploads/J_section.pdf (accessed on 16 September 2022).
- ISO 21920–2:2021; Geometrical Product Specifications (GPS)—Surface Texture: Profile—Part 2: Terms, Definitions and Surface Texture Parameters. British, European and International Standard: London, UK, 2021.
- ISO I (2003) 868:2003; Plastics and Ebonite–Determination of Indentation Hardness by Means of a Durometer (Shore Hardness). International Organization for Standardization: Geneva, Switzerland, 2003.
- Kerfriden, P.; Ródenas, J.J.; Bordas, S.A. Certification of projection-based reduced order modelling in computational homogenisation by the constitutive relation error. Int. J. Numer. Methods Eng. 2014, 97, 395–422. [Google Scholar] [CrossRef]
- Kim, J.G.; Lee, P.S. An enhanced craig–bampton method. Int. J. Numer. Methods Eng. 2015, 103, 79–93. [Google Scholar] [CrossRef]
- Michiels, W.; Jarlebring, E.; Meerbergen, K. Krylov-based model order reduction of time-delay systems. SIAM J. Matrix Anal. Appl. 2011, 32, 1399–1421. [Google Scholar] [CrossRef]
- Albawi, S.; Mohammed, T.A.; Al-Zawi, S. Understanding of a convolutional neural network. In Proceedings of the 2017 International Conference on Engineering and Technology (ICET), Antalya, Turkey, 21–23 August 2017; pp. 1–6. [Google Scholar]
- Belgiu, M.; Drăguţ, L. Random forest in remote sensing: A review of applications and future directions. ISPRS J. Photogramm. Remote Sens. 2016, 114, 24–31. [Google Scholar] [CrossRef]
- Ma, H.; Zhang, Y.; Thuerey, N.; Hu, X.; Haidn, O.J. Physics-driven Learning of the Steady Navier-Stokes Equations using Deep Convolutional Neural Networks. arXiv 2021, arXiv:2106.09301. [Google Scholar] [CrossRef]
- Nasiri, S.; Khosravani, M.R. Machine learning in predicting mechanical behavior of additively manufactured parts. J. Mater. Res. Technol. 2021, 14, 1137–1153. [Google Scholar] [CrossRef]
- Al Amrani, Y.; Lazaar, M.; El Kadiri, K.E. Random forest and support vector machine based hybrid approach to sentiment analysis. Procedia Comput. Sci. 2018, 127, 511–520. [Google Scholar] [CrossRef]
- Ramadan, K.M.; Kamil, M.; Tlili, I.; Qisieh, O. Analysis of thermal creep effects on fluid flow and heat transfer in a microchannel gas heating. J. Therm. Sci. Eng. Appl. 2021, 13, 061011. [Google Scholar] [CrossRef]
- Li, W.Q.; Qu, Z.G.; He, Y.; Tao, W. Experimental and numerical studies on melting phase change heat transfer in open-cell metallic foams filled with paraffin. Appl. Therm. Eng. 2012, 37, 1–9. [Google Scholar] [CrossRef]
- Le, T.T. Prediction of tensile strength of polymer carbon nanotube composites using practical machine learning method. J. Compos. Mater. 2021, 55, 787–811. [Google Scholar] [CrossRef]
- Yacouby, R.; Axman, D. Probabilistic extension of precision, recall, and F1 score for more thorough evaluation of classification models. In Proceedings of the First Workshop on Evaluation and Comparison of NLP Systems, Online, 20 November 2020; pp. 79–91. [Google Scholar]


















| # | Parameters | Description |
|---|---|---|
| 1 | Infill density (%) | 100 |
| 2 | Infill pattern | Lines |
| 3 | Layer height (mm) | 0.2 |
| 4 | Layer width (mm) | 0.6 |
| 5 | Nozzle size (mm) | 0.4 |
| 6 | Flow (%) | 100 |
| 7 | Feed rate (mm/s) | 8 |
| 8 | Extrusion temperature (°C) | 200 |
| 9 | Print bed temperature (°C) | 60 |
| 10 | Deposition speed (mm/s) | 50 |
| 11 | Fan speed (%) | 100 |
| # | Functional Mock-Up Units | Description |
|---|---|---|
| 1 | ![]() | Forced convection heat transfer Input: Heater wattage ON/OFF signal from the PWM module. Output: Temperature profile on the PLA boundary. |
| 2 | ![]() | PLA melting and deposition Input: Temperature profile on the PLA boundary, feed rate and infill extrusion rate percentage. Output: PLA mass flow rate and temperature inside the extruder nozzle. |
| 3 | ![]() | Extruder nozzle microchannel Input: Temperature profile on the PLA boundary, mass flow rate and temperature of melted PLA. Output: Mass flow rate of the PLA inside the nozzle. |
| Components | Material | Properties | ||
|---|---|---|---|---|
| Density [kg/m3] | Specific Heat Capacity [kJ/kg.K] | Thermal Conductivity [W/m.K] | ||
| Heating block & heat sink | Aluminium | 2719 | 871 | 202.4 |
| Nozzle | Brass | 8390 | 380 | 123 |
| Heat sink nut | Stainless steel | 8030 | 502.43 | 16.27 |
| 1.44 | 1.92 | 0.09 | 1 | 1.3 |
| 5 cm | 2 cm | 1 cm | 2.5 cm | 2000 rpm | 20 mmHg |
| # | Properties | Values |
|---|---|---|
| 1 | Solid density (gr/cm3) | 1.252 |
| 2 | Liquid density (gr/cm3) | 1.073 |
| 3 | Specific heat at 55°C (J/kg°C) | 1590 |
| 4 | Specific heat at 100 °C (J/kg°C) | 1955 |
| 5 | Specific heat at 190 °C (J/kg°C) | 2060 |
| 6 | Thermal conductivity at 48 °C (W/m°C) | 0.111 |
| 7 | Thermal conductivity at 109 °C (W/m°C) | 0.197 |
| 8 | Thermal conductivity at 190 °C (W/m°C) | 0.195 |
| 9 | Liquidus temperature (°C) | 191 |
| 10 | Solidus temperature (°C) | 165 |
| 11 | Glass transition temperature (°C) | 65 |
| 12 | Latent heat of fusion (J/g) | 93 |
| 0.25 | 373 | 0 | 20.2 | 51.6 |
180 °C![]() | Extrusion Flow (%) | 80% | ![]() |
| 110% | ![]() | ||
| 140% | ![]() | ||
190 °C![]() | Extrusion Flow (%) | 80% | ![]() |
| 110% | ![]() | ||
| 140% | ![]() | ||
200 °C![]() | Extrusion Flow (%) | 80% | ![]() |
| 110% | ![]() | ||
| 140% | ![]() | ||
210 °C![]() | Extrusion Flow (%) | 80% | ![]() |
| 110% | ![]() | ||
| 140% | ![]() |
| Parameters | Thresholds |
|---|---|
| Surface Roughness | Good: below 10 Average: between 10 and 20 Bad: above 30 |
| Shore D Hardness | Good: above 60 Average: between 50 and 60 Bad: below 50 |
| Tensile Strength | Good: above 45 Average: between 40 and 45 Bad: below 40 |
| Class | Total Samples | Total Positives | Accuracy | Precision | Recall | F1 Score |
|---|---|---|---|---|---|---|
| Surface Roughness | ||||||
| Good | 8 | 8 | 91.67% | 0.88 | 0.88 | 0.82 |
| Average | 7 | 8 | 87.50% | 0.75 | 0.86 | 0.8 |
| Bad | 9 | 8 | 87.50% | 0.88 | 0.88 | 0.88 |
| Shore D Hardness | ||||||
| Good | 14 | 13 | 92.50% | 0.92 | 0.86 | 0.89 |
| Average | 14 | 15 | 92.50% | 0.87 | 0.93 | 0.9 |
| Bad | 12 | 12 | 95.00% | 0.92 | 0.92 | 0.92 |
| Tensile Strength | ||||||
| Good | 15 | 14 | 97.50% | 1 | 0.93 | 0.97 |
| Average | 11 | 12 | 92.50% | 0.83 | 0.91 | 0.87 |
| Bad | 14 | 14 | 95.00% | 0.93 | 0.93 | 0.93 |
Disclaimer/Publisher’s Note: The statements, opinions and data contained in all publications are solely those of the individual author(s) and contributor(s) and not of MDPI and/or the editor(s). MDPI and/or the editor(s) disclaim responsibility for any injury to people or property resulting from any ideas, methods, instructions or products referred to in the content. |
© 2022 by the authors. Licensee MDPI, Basel, Switzerland. This article is an open access article distributed under the terms and conditions of the Creative Commons Attribution (CC BY) license (https://creativecommons.org/licenses/by/4.0/).
Share and Cite
Butt, J.; Mohaghegh, V. Combining Digital Twin and Machine Learning for the Fused Filament Fabrication Process. Metals 2023, 13, 24. https://doi.org/10.3390/met13010024
Butt J, Mohaghegh V. Combining Digital Twin and Machine Learning for the Fused Filament Fabrication Process. Metals. 2023; 13(1):24. https://doi.org/10.3390/met13010024
Chicago/Turabian StyleButt, Javaid, and Vahaj Mohaghegh. 2023. "Combining Digital Twin and Machine Learning for the Fused Filament Fabrication Process" Metals 13, no. 1: 24. https://doi.org/10.3390/met13010024
APA StyleButt, J., & Mohaghegh, V. (2023). Combining Digital Twin and Machine Learning for the Fused Filament Fabrication Process. Metals, 13(1), 24. https://doi.org/10.3390/met13010024




















