Modelling Dynamic Recrystallization of A356 Aluminum Alloy during Hot Deformation
Abstract
:1. Introduction
2. Materials and Methods
3. Results
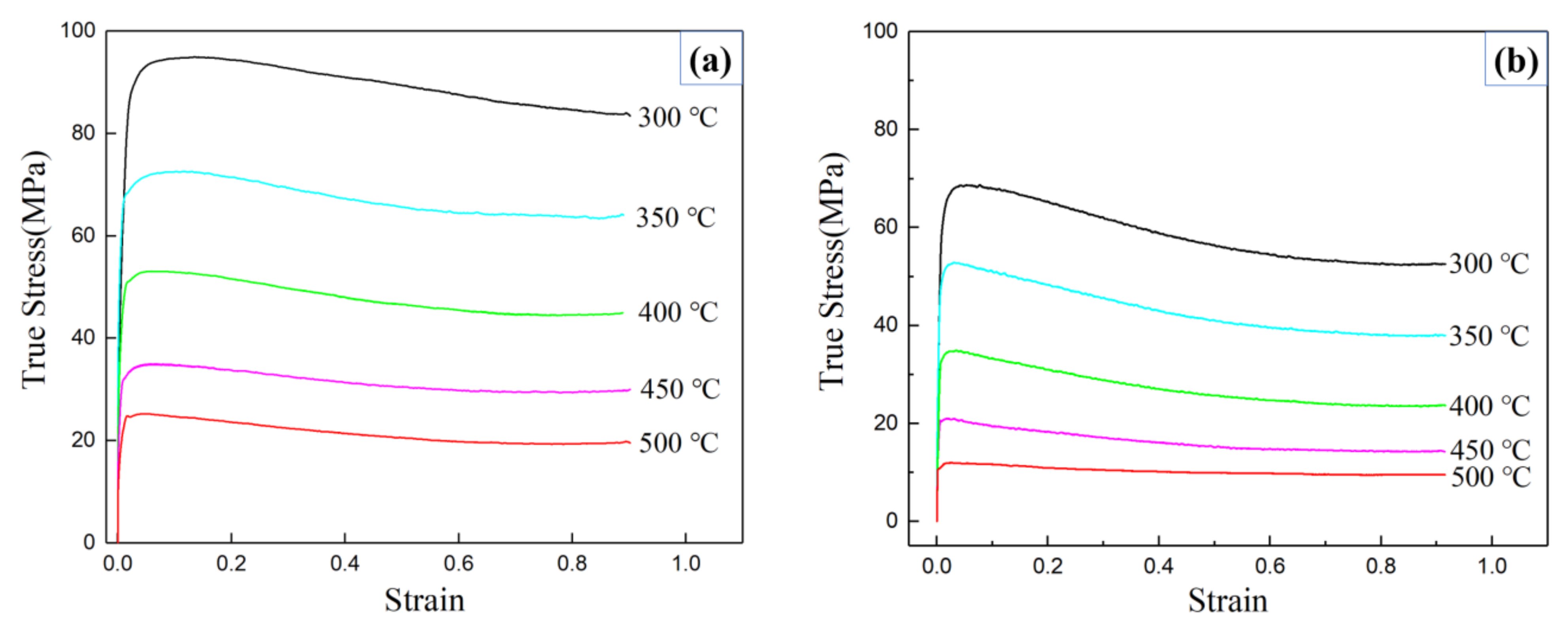
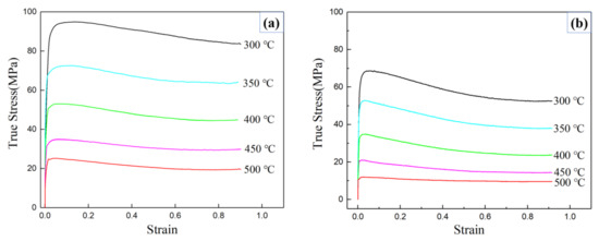
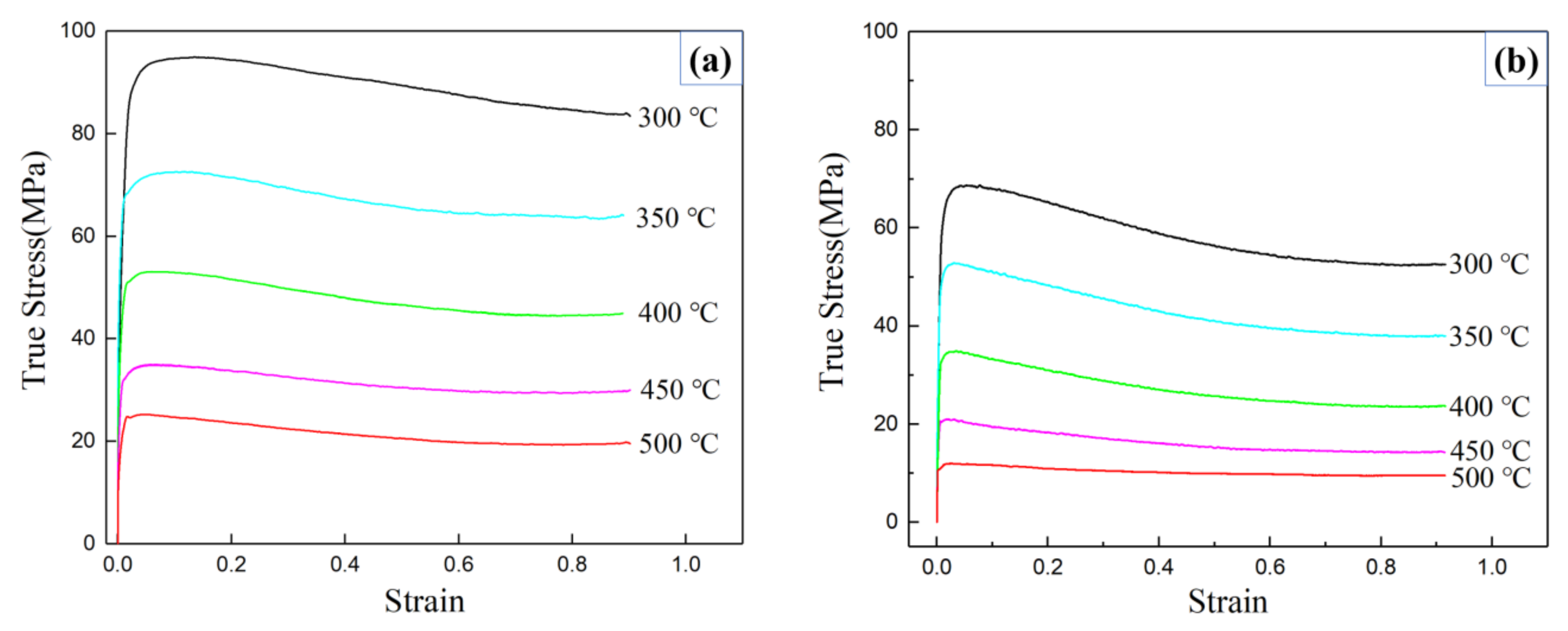
3.1. Flow Stress Behavior
3.2. Microstructure Evolution
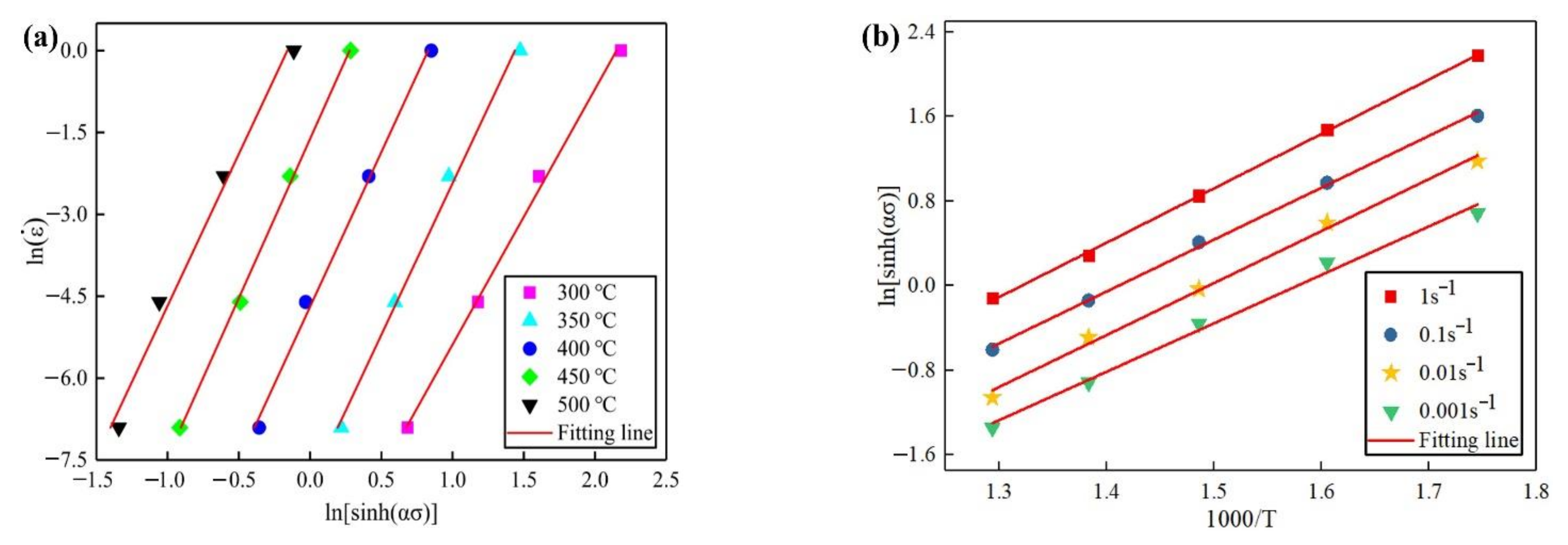
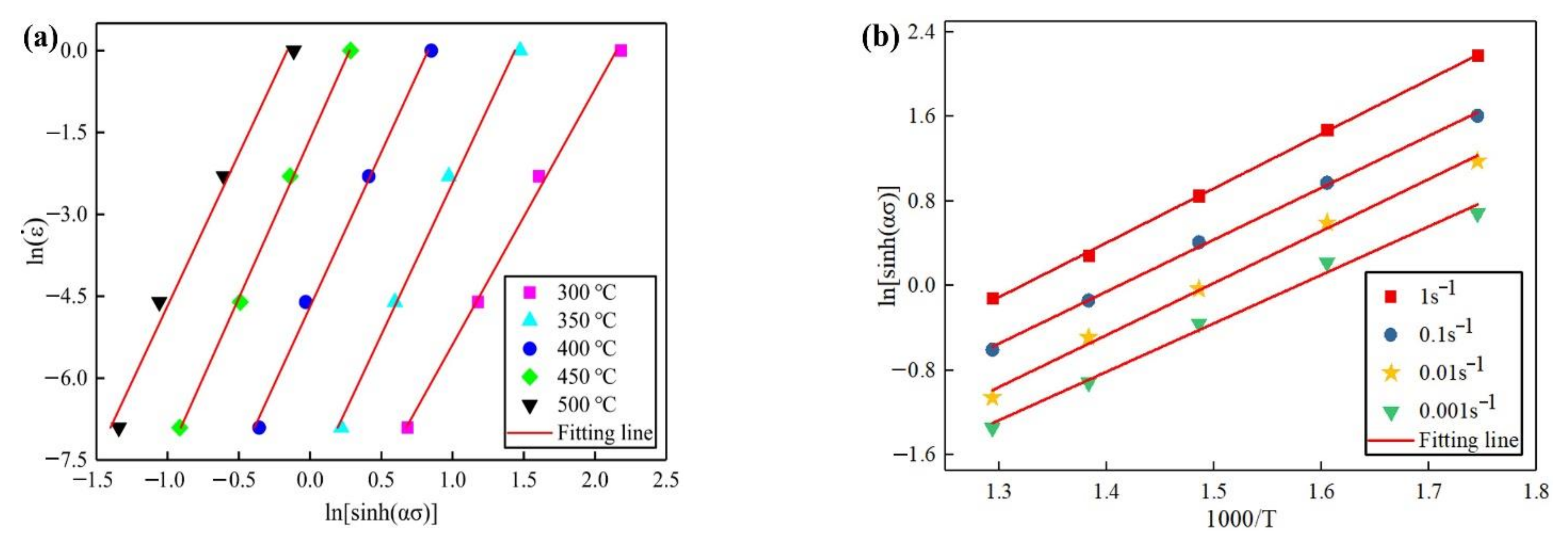
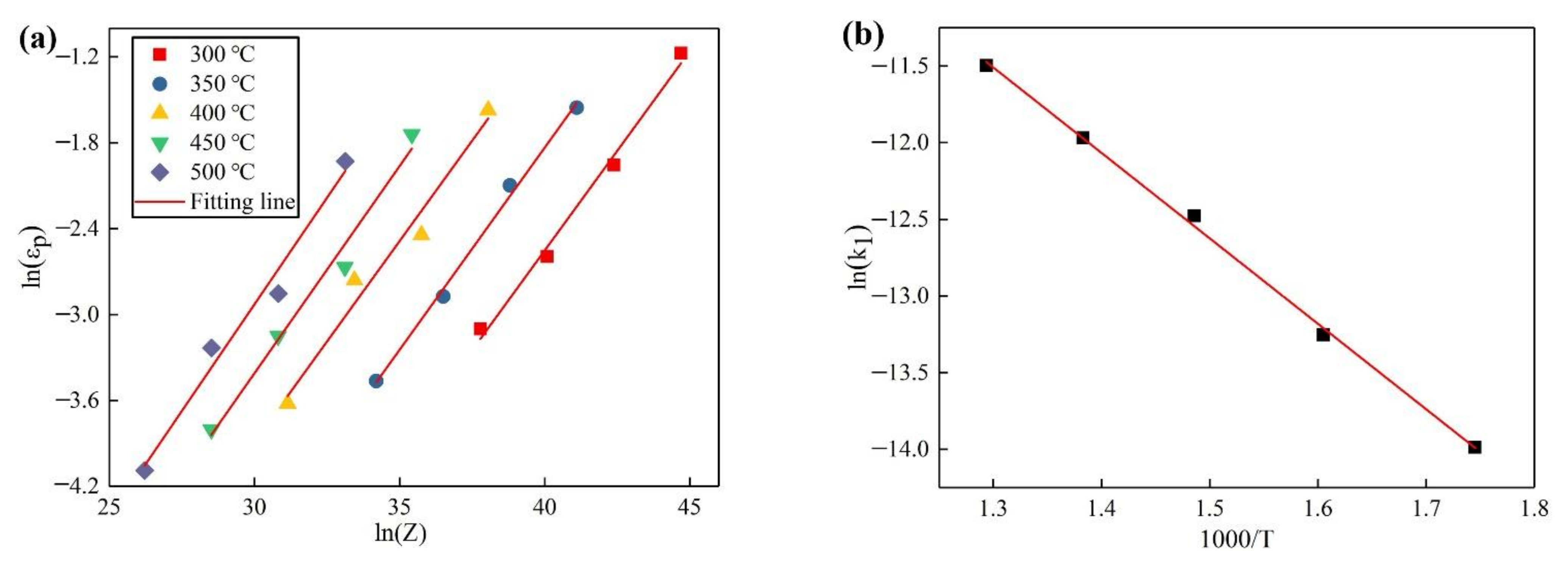
4. Modelling Dynamic Recrystallization
4.1. Modelling Procedure
4.2. FEM Application
5. Conclusions
- (1)
- The dynamic recrystallization of A356 aluminum alloy occurred during the thermoplastic deformation.
- (2)
- A dynamic recrystallization model based on Arrhenius type equation was developed to calculate the dynamic recrystallization fraction of the A356 alloy. There was a good agreement between the predicted and experimental dynamic recrystallization fraction.
- (3)
- The model was inserted into the FEM software Forge to simulate the microstructure evolution of A356 alloy during isothermal deformation. The maximum error between simulated and experimental dynamic recrystallization fraction is less than 3.0%.
Author Contributions
Funding
Institutional Review Board Statement
Informed Consent Statement
Data Availability Statement
Conflicts of Interest
References
- Niu, G.D.; Wang, Y.; Zhu, L.J.; Ye, J.W.; Mao, J. Fluidity of casting Al-Si series alloys for automotive light-weighting: A systematic review. Mater. Sci. Technol. 2022, 38, 902–911. [Google Scholar] [CrossRef]
- Carl, F.; Christoph, S. Experimental investigation of the damage characteristic of two cast aluminum alloys: PartⅠ: Temperature dependent low cycle and thermomechanical fatigue behavior. Int. J. Fatigue 2021, 152, 106359. [Google Scholar]
- Zhang, Q.; Cao, M.; Zhang, D.W.; Zhang, S.; Sun, J. Research on integrated casting and forging process of aluminum automobile wheel. Adv. Mech. Eng. 2014, 6, 1–12. [Google Scholar] [CrossRef]
- Liang, Z.L.; Zhang, Q. Mechanical properties and microstructures of A356 alloy prepared by casting combined with forging. In Proceedings of the 12th ASME International Manufacturing Science and Engineering Conference, Los Angeles, CA, USA, 4–8 June 2017; Volume 1, pp. 1–4. [Google Scholar]
- Haghdadi, N.; Zarei-Hanzaki, A.; Abedi, H.R.; Abou-Ras, D.; Kawasaki, M.; Zhilyaev, A.P. Evolution of microstructure and mechanical properties in a hypoeutectic Al-Si-Mg alloy processed by accumulative back extrusion. Mater. Sci. Eng. A-Struct. 2016, 651, 269–279. [Google Scholar] [CrossRef]
- Wu, Y.; Liao, H.C.; Yang, J.; Zhou, K.X. Effect of Si content on dynamic recrystallization of Al-Mg-Si alloys during hot extrusion. J. Mater. Sci. Technol. 2014, 30, 1271–1277. [Google Scholar] [CrossRef]
- David, C.Y.; Zsolt, K.; Cecilia, P. In-situ characterization of continuous dynamic recrystallization during hot torsion of an Al-Si-Mg alloy. J. Alloys Compd. 2020, 822, 153282. [Google Scholar]
- Wu, Y.; Liao, H.C.; Lü, C. Dynamic precipitation and recrystallization in Al-12.5 wt%Si-0.6wt%Mg-0.1 wt%Ti alloy during hot-rolling and their impacts on mechanical properties. J. Alloys Compd. 2019, 7788, 125–135. [Google Scholar] [CrossRef]
- Esmaeil, D.; Salman, N.; Sayed, M.R.; Roohollah, J.; Ahmed, A.T.; Jerzy, A.S. Effects of prior ECAP process on the dynamic impact behaviors of hypereutectic Al-Si alloy. Mater. Sci. Eng. A-Struct. 2020, 793, 139902. [Google Scholar]
- Moghadam, M.M.; Lashgari, H.R.; Zangeneh, S.; Rasaee, S.; Seyfor, M.; Asnavandi, M.; Mojtahedi, M. Dry sliding wear characteristics, corrosion behavior, and hot deformation properties of eutectic Al-Si piston alloy containing Ni-rich intermetallic compounds. Mater. Chem. Phys. 2022, 279, 125758. [Google Scholar] [CrossRef]
- Gan, T.; Yu, Z.Q.; Zhao, Y.X.; Fan, X.G.; Lai, X.M. A continuous dynamic recrystallization constitutive model combined with grain fragmentation and subgrain rotation for aluminum alloy 2219 under hot deformation. Model. Simul. Mater. Sci. Eng. 2021, 29, 25002. [Google Scholar] [CrossRef]
- Quan, G.Z.; Mao, Y.P.; Li, G.S.; Lv, W.Q.; Wang, Y.; Zhou, J. A characterization for the dynamic recrystallization kinetics of as-extruded 7075 aluminum alloy based on true stress-strain curves. Comput. Mater. Sci. 2012, 55, 65–72. [Google Scholar] [CrossRef]
- Chen, S.F.; Li, D.Y.; Zhang, S.H.; Han, H.N.; Lee, H.W.; Lee, M.G. Modelling continuous dynamic recrystallization of aluminum alloys based on the polycrystal plasticity approach. Int. J. Plast. 2020, 131, 102710. [Google Scholar] [CrossRef]
- Zhang, J.J.; Yi, Y.P.; He, H.L.; Huang, S.Q.; Mao, X.C.; Guo, W.F.; You, W.; Guo, Y.L.; Dong, F.; Tang, J.G. Kinetic model for describing continuous and discontinuous dynamic recrystallization behavior of 2195 aluminum alloy during hot deformation. Mater. Charact. 2021, 181, 111492. [Google Scholar] [CrossRef]
- Gong, H.; Cao, X.; Liu, Y.Q.; Wu, Y.X.; Jiang, F.M.; Zhang, M.H. Simulation and experimental study on the inhomogeneity of mechanical properties of aluminum alloy 7050 plate. Metals 2020, 10, 515. [Google Scholar] [CrossRef]
- Ding, S.; Sabrina, A.K.; Jun, Y. Flow behavior and dynamic recrystallization mechanism of A5083 aluminum alloys with different initial microstructures during hot compression. Mater. Sci. Eng. A-Struct. 2020, 787, 139522. [Google Scholar] [CrossRef]
- Zerilli, F.J.; Armstrong, R.W. Dislocation-mechanics-based constitutive relations for material dynamics calculations. J. Appl. Phys. 1987, 61, 1816–1825. [Google Scholar] [CrossRef]
- Chen, X.M.; Lin, Y.C.; Wen, D.X. Dynamic recrystallization behavior of a typical nickel-based superalloy during hot deformation. Mater. Des. 2014, 57, 568–577. [Google Scholar] [CrossRef]
- Jonas, J.J.; Quelennec, X.; Jiang, L. The Avrami kinetics of dynamic recrystallization. Acta Mater. 2009, 57, 2748–2756. [Google Scholar] [CrossRef]
- Laasraoui, A.; Jonas, J.J. Prediction of steel flow stresses at high temperatures and strain rates. Metall. Trans. A 1991, 22, 1545–1558. [Google Scholar] [CrossRef]
- Niu, L.Q.; Cao, M.; Liang, Z.L.; Han, B.; Zhang, Q. A modified Johnson-Cook model considering strain softening of A356 alloy. Mater. Sci. Eng. A-Struct. 2020, 789, 139612. [Google Scholar] [CrossRef]








| Si | Mg | Fe | Cu | Mn | Zn | Cr | Ti | Al |
|---|---|---|---|---|---|---|---|---|
| 7.43 | 0.43 | 0.29 | 0.17 | 0.069 | 0.02 | 0.01 | 0.01 | Balance |
Publisher’s Note: MDPI stays neutral with regard to jurisdictional claims in published maps and institutional affiliations. |
© 2022 by the authors. Licensee MDPI, Basel, Switzerland. This article is an open access article distributed under the terms and conditions of the Creative Commons Attribution (CC BY) license (https://creativecommons.org/licenses/by/4.0/).
Share and Cite
Liang, Z.; Li, W.; Zhu, B.; Niu, L. Modelling Dynamic Recrystallization of A356 Aluminum Alloy during Hot Deformation. Metals 2022, 12, 1407. https://doi.org/10.3390/met12091407
Liang Z, Li W, Zhu B, Niu L. Modelling Dynamic Recrystallization of A356 Aluminum Alloy during Hot Deformation. Metals. 2022; 12(9):1407. https://doi.org/10.3390/met12091407
Chicago/Turabian StyleLiang, Zhenglong, Wentao Li, Bingguo Zhu, and Liqun Niu. 2022. "Modelling Dynamic Recrystallization of A356 Aluminum Alloy during Hot Deformation" Metals 12, no. 9: 1407. https://doi.org/10.3390/met12091407
APA StyleLiang, Z., Li, W., Zhu, B., & Niu, L. (2022). Modelling Dynamic Recrystallization of A356 Aluminum Alloy during Hot Deformation. Metals, 12(9), 1407. https://doi.org/10.3390/met12091407
