Abstract
Fluid-induced metal corrosion failure is one of the main causes of pipe wall damage. In this paper, aimed at the corrosion failure of stainless-steel pipe wall in high-speed flowing liquid, a self-made micro three-electrode electrochemical test system was used to test the electrochemical characteristics of the pipe under different flow rates and different Cl− concentrations. In the experiment, the changes of open circuit potential, polarization curve and impedance spectrum of 304L stainless steel surface were obtained. At the same time, the corrosion rate of the material under different conditions was obtained by fitting. The results show that the corrosion rate varied non-linearly with increasing flow velocities. In addition, with the increase of Cl− concentration, the corrosion rate increased at a slower rate. The material surface under high concentration and high flow rate conditions was subject to physical cutting and electrochemical reactions, showing an activated and easy pitting corrosion state. The results of this study can provide data for failure analysis and life extension of pipelines and equipment in service.
1. Introduction
Flow-induced corrosion (flow-accelerated corrosion FAC) is a process that intensifies or inhibits the corrosion of metals in a flow regime due to the relative motion between the corrosive medium and the surface of the metal material [1,2]. Comparing the corrosion test results of the same corrosive media and materials in the flow state and static state, scholars have found that electrochemical factors play a dominant role in corrosion. The second influencing factor is the aggravation or inhibition of corrosion caused by hydrodynamic factors. The working principle of FAC is that, on the one hand, fluid flow affects the mass transfer process, while on the other hand, the shear stress generated by the fluid flow on the surface of the material promotes the peeling of corrosion products, thereby affecting the process of corrosion [3]. Although it is difficult to observe the characteristics of the morphology of the corrosion products generated by flow corrosion, it has been found by means of microscope observation that the morphology of corrosion products change due to the influence of factors such as flow speed, type of corrosion medium, and working temperature. After magnification using a scanning electron microscope, it was found that the surface of flow corrosion metal has special morphological features such as scallop-like, horseshoe pit, and orange peel structures [4]. According to the current corrosion characteristics, existing studies have mainly been conducted by modeling prediction, experimental measurement and numerical simulation.
In terms of flow corrosion prediction, Yuan et al. [5] proposed an FAC-based wall thinning probability model and calibrated it using a set of feed wall thickness measurements at the CANDU power station to successfully predict the wall flow corrosion rate. Fujiwara et al. [6] considered the diffusion conditions in the presence of iron, chromium, dissolved hydrogen and dissolved oxygen, constructing a new model to derive the corrosion formula under an accelerated, critical concentration of dissolved oxygen. When studying carbon steel bends in pipes, Subramanian et al. [7] found that the pipe wall was significantly thinner due to flow accelerated corrosion. In addition to the flow velocity, temperature, and pH, the dissolved oxygen concentration, the chromium content in the material, and the pipeline geometry were also considered. They used experimentation and compared results with the Sanchez-Caldera model and found that corrosion rate is affected by flow speed and pH change.
In terms of experimental tests, Efird et al. [8] used a complex interaction of physical and chemical parameters when studying the effect of fluid flow on the corrosion of steel in an oil and gas environment. They studied the effect of mass transfer and wall shear stress on flow-accelerated corrosion, using a jet impingement experimental setup and numerical calculations, and found that the disturbed flow introduced non-equilibrium conditions for the experiments, so the corrosion experiment under equilibrium conditions cannot be used to illustrate corrosion in the disturbed fluid. Guo et al. [9] conducted comparative experiments on flow electrochemical corrosion of four kinds of steel and analyzed the corrosion product film. Based on the polarization curve and electrochemical impedance spectroscopy test results, the corrosion resistance of four types of steel in the flow medium were classified as 321 stainless steel, 304L stainless steel, 20SiMn steel, 45# steel in descending order. Zhang et al. [10] characterized the electrochemical corrosion parameters of X65 steel in CO2-saturated aqueous solution, analyzed the dense corrosion scale formed on the electrode surface, and determined the reason why the flow velocity and shear stress eliminated the corrosion product layer [11,12,13,14]. In addition to experiments targeting the factors influencing flow velocity, temperature and pH, Wei et al. [15] investigated the types of corrosion and corrosion causes of X70 steel in supercritical CO2 solutions. Results of the study reflected that the flow velocity of X70 steel in supercritical CO2 liquid changed the corrosion type of the material from general static corrosion to dynamic localized corrosion, and the localized corrosion rate gradually increased with time.
In terms of numerical prediction of flow corrosion, Liu et al. [16] used the SIMPLER algorithm to simulate changes in oxygen concentration during fluid flow to obtain hydrodynamic parameters near the wall of the material and the mass transfer coefficient in the corrosion process. Zhang et al. [17] also used the wall function method to calculate the parameters of the fluid boundary layer, and used the SIMPLER algorithm to solve a flow mathematical model. This mathematical model was simulated by adding the fluid dynamics parameters near the pipe wall to obtain the effect of flow conditions on the well pipe material at the vicinity of the pipe wall.
Both experimental results and numerical calculation results [18,19,20,21] show that the corrosion rate of most carbon steel and stainless-steel pipe wall materials change significantly under the influence of the corrosive medium and flow rate. On the one hand, the establishment of a flow corrosion mathematical model can avoid the limitation of experimental conditions, such as the construction of a corrosion environment suitable for more complex conditions, not only to reduce the workload but also reduce the cost. On the other hand, numerical calculation also increases the application scope of flow corrosion research and reduces the research period. However, a reasonable calculation model is inseparable from experimental research. Only by continuously exploring more material corrosion influencing factors and corrosion characteristics by experimentation can the model be further optimized and the applicability and accuracy of the model be improved.
To further explore the electrochemical corrosion characteristics of stainless-steel materials on the tube wall in high-speed Cl−-containing solution, a high-speed flow corrosion experimental platform and a micro three-electrode test system were established. The surface potential, current of 304L stainless steel online with different flow velocities and Cl− concentrations were used to explore the dominant factors of corrosion in a stainless-steel flowing environment, the activation circuit interval and the passivated current interval.
2. Experimental Method
We used a multiphase flow experimental platform to simulate a Cl-containing high-speed flow environment. The surface current, potential and impedance parameters of a horizontal pipe wall 304L steel were measured using a self-made small three-electrode system.
2.1. Experimental Device
We used a liquid flow system in a gas-liquid-solid three-phase flow test bench. In Figure 1, the liquid flow experimental pipeline is shown in red, including the pump control cabinet, stirring tank, screw pump, liquid flow meter, thermometer, pressure gauge, pipe flow experimental section, and data acquisition terminal. The experimental liquid was configured in a stirred tank, and the experiment was started after stirring for 15 min. The temperature was 30 °C, and the pressure in the tube was standard atmospheric pressure. Through a flow meter measurement, adjustment of the motor frequency converter was used to control the pump outlet flow to change the experimental flow rate. Electrochemical testing was performed using a multi-channel electrochemical workstation (PARSTAT MC1000, AMETEK Inc., Berwyn, IL, USA).
Figure 1.
Schematic diagram of the multi-phase flow scour and corrosion experimental bench. 1. Pump control cabinet; 2. Mixer control cabinet; 3. Stirring kettle; 4. Mixer; 5. Screw pump; 6. Liquid valve; 7. Pressure gauge; 8. Thermometer; 9. Liquid flowmeter; 10. Air compressor; 11. Gas valve; 12. Gas flowmeter; 13. Particle feeder; 14. Sand storage tank; 15. Pipe flow test section; 16. Jet test section; 17. The fixture; 18. The nozzle; 19. Experimental platform support; 20. Data acquisition terminal.
2.2. Experimental Section
In order to observe the fluid flow in the tube, an experimental tube section with a 400 mm length and inner diameter of 20 mm were manufactured of plexiglass material, as shown in Figure 2. The experimental section of the tube wall was opened with three 6 mm diameter through holes at 90° phase angle positions, at the top, bottom and side. The self-made triple electrode installed in the hole was glued to the wall of the tube.
Figure 2.
Experimental section of tube flow electrochemical corrosion.
An electrochemical test electrode was fabricated using small concentric ring, as shown in Figure 3. The outermost layer of the electrode is a graphite auxiliary electrode, with an inner diameter of 3 mm, an outer diameter of 6 mm and a length of 15 mm. The middle layer is a 304L working electrode with an inner diameter of 1 mm, outer diameter of 2.5 mm and length of 25 mm. The center of the electrode is a 0.6 mm diameter plastic capillary tube, which serves as a conductive liquid lead tube for the Ag/AgCl reference electrode. The gap between the three electrodes is filled with epoxy resin cured to achieve insulation and sealing requirements. The electrode surface was polished with sandpaper before the experiment and installed in the experimental section hole after wiping with alcohol. The surface of the electrode was flush with the pipe wall, and the plane height drop was less than 0.5 mm.
Figure 3.
Miniature triple electrode.
2.3. Experimental Materials
The liquid flow velocity was changed to 1, 3, 5, 7, 9 and 11 m/s in the experiment. Distilled water was supplemented with analytically pure NaCl and made into NaCl solutions with concentrations of 1, 2, 3 and 4 wt.%. The sample was made of 304L stainless steel with an anti-corrosion pipeline. Especially for welded pipelines, stainless steel has the characteristics of less carbide precipitation and good resistance to intergranular corrosion Its main trace elements are shown in Table 1.
Table 1.
304L stainless steel chemical composition/wt.%.
3. Results
The electrochemical reaction parameters of the specimen surface under the conditions of real change of flow velocity and Cl− concentration, including open circuit potential, polarization curve, voltammetry cycle curve, impedance spectrum, were obtained by on-line electrochemical test.
3.1. Open-Circuit Potential
Figure 4 shows the variation of the open circuit potential over time in a solution of 4 wt.% NaCl at different flow velocities. The test results show that the open circuit potential shifted to negative values with increasing time. The highest value of open circuit potential was −16.56 mV at a flow velocity of 1 m/s. The potential change was less than 50 mV during the flow velocity change interval from 3 m/s to 11 m/s. The results show that electrochemical corrosion of 304L stainless steel was more likely to occur in high concentration NaCl solution. As the flow rate changed, there was a low potential range, reflecting that the surface of the sample was in an activated state.
Figure 4.
Open-circuit potential of specimens at different flow velocities.
Figure 5 shows the open circuit potential versus time for specimens in liquids with different Cl− concentrations of 11 m/s flow velocity. The open-circuit potentials measured in 1, 2, 3 and 4 wt.% NaCl solutions were −171.45, −103.12, −170.12, and −163.78 mV, respectively. The open circuit potential on the specimen surface decreased and then increased with increasing Cl− concentration. When the concentration of Cl− was greater than 2 wt.%, the change value of the open circuit potential on the surface of the specimen under the same flow velocity was less than 40 mV. The test results reflect that the 304L surface tended to be activated in high Cl− solution, and the reaction energy region was stable. The corrosion potential energy of the 304L surface in the flowing liquid increased first and then decreased with the Cl− concentration, hence there was a potential energy extreme value response interval.
Figure 5.
Open-circuit potential of specimens in NaCl solutions with different concentrations.
3.2. Polarization Curve
Figure 6 shows the polarization curves of 304L stainless steel in NaCl solutions with different flow concentration of 1, 2, 3 and 4 wt.%, respectively. The self-corrosion current density and potential were obtained using Tafel curve fitting. When NaCl concentration varied from 1 wt.% to 3 wt.%, the self-corrosion current density increased with the increase of flow velocity. The self-corrosion current densities increased from 28.10 A/cm2 to 84.85 A/cm2, 32.03 A/cm2 to 84.80 A/cm2, and 34.65 A/cm2 to 87.80 A/cm2 in 1, 2 and 3 wt.% concentration NaCl solutions when the flow velocity increased from 1 m/s to 11 m/s, respectively. The maximum corrosion current density difference was 56.75 A/cm2. In the 3.5 wt.% NaCl solution, the self-corrosion current density increased with the flow velocity and then decreased, and the self-corrosion current density was maximum at the flow velocity of 9 m/s. At this time, the self-corrosion current density rose from 38.85 A/cm2 to 106.90 A/cm2, with a maximum difference of 68.05 A/cm2.The results show that the flow velocity was greater than 10 m/s, and the corrosion current density more sensitive to the Cl− variation. In particular, when the NaCl concentration was near 4 wt.%, the current density increased by about 26%. In other concentrations, the change was less than 3%.

Figure 6.
Polarization curves of 304L stainless steel at different flow velocities.
The fitted resulting current density and potential are shown in Table 2 for the 4 wt.% NaCl solution. The slope of the anodic polarization curve and the self-corrosion potential shown in Figure 6 show that the slope of the anodic curve increased and the potential gradually decreased as the flow velocity increased. This reflects that at high flow velocities, anode products accumulate, or less dissolution hinders the reaction. The self-corrosion current density increased from 1 to 9 m/s. The maximum self-corrosion current density at 9 m/s was142.83 A/cm2, indicating that severe corrosion reactions are likely to occur at this flow velocity. Figure 7a,b shows the cyclic polarization curves obtained by anodic sweepback in the 4 wt.% NaCl solution. Under the condition of a low flow velocity of 1 m/s, the anode curve had no obvious passivation potential range. Under the condition of a high flow velocity of 11 m/s, there was a potential passivation zone with a slight current density change in the anode region of the curve. At a flow velocity of 1 m/s, the pitting corrosion potential of the intersection of the sweepback curve was about 587.27 mV, and the pitting corrosion potential at the flow velocity of 11 m/s was about 272.35 mV. The pitting corrosion potential decreased with the increase of the flow velocity, indicating that the higher the flow velocity, the easier the pitting corrosion occurs. At the same time, when the flow velocity was 1 m/s, the protective potential was about 284.62 mV, and when the flow velocity was11 m/s, the value was about −82.50 mV, and the intersection of the sweepback curve was located in the passivation area. It is shown that 304L stainless steel still had the ability to repassivate in high flow velocity and high concentration Cl− solution. If the difference between the pitting potential and the protection potential is used to evaluate the pitting resistance of 304L stainless steel, the results show that pitting is more likely to occur at high flow rates. Figure 7c shows the cyclic polarization curves at various flow velocities. With the increase of flow velocity, the pitting potential gradually decreased, and the protection potential first increased and then decreased. Comparing the difference between the pitting potential and the protection point position for each flow velocity, the results show that the difference was the largest at a flow velocity of 1 m/s and the smallest at 9 m/s. The results indicate that the pitting resistance of 304L stainless steel in solutions containing chloride ions decreases with increasing flow velocity.
Table 2.
Fitting values of polarization curves of 304L stainless steel at different flow velocities.
Figure 7.
Cyclic polarization curves of 304L stainless steel at different flow velocities. (a) Cyclic polarization curves of 304L stainless steel at V = 1 m/s; (b) Cyclic polarization curves of 304L stainless steel at V = 11 m/s; (c) Cyclic polarization curves of 304L stainless steel at different flow velocities.
3.3. Cyclic Voltammetry Curve
We measured the electrode reaction parameters of 304L stainless steel in high-speed Cl-containing liquid, determined its control steps and reaction mechanism, and observed which reactions can occur in the entire potential scanning range and their properties. Cyclic voltammetry was used to test the electrochemical spectra under different flow velocities and different Cl- concentrations. The results are shown in Figure 8 and Figure 9. Figure 8 shows the cyclic voltammetry curves of 304L stainless steel at different flow velocities, and Figure 9 shows the cyclic voltammetry curves of liquids with different Cl- concentrations. Figure 8a shows that at a flow velocity of 1 m/s, the curve has two anodic and two cathodic regions, these are two pairs of redox peaks. As the flow velocity increases, not only the circulation peak decreases, but also only one pair of redox peaks remains in the cathodic and anodic curves. As shown in Figure 8b, when the flow velocity increases to 11 m/s, the redox peak of the cyclic voltammetry curve becomes almost invisible. Since the two oxidation peaks indicate that iron oxides with different valences are generated on the surface, the reduction peak in the reduction region indicates that the iron oxides are reduced, or a reduction reaction occurs between hydrogen ions and oxygen atoms with electrons. At this point, the anodic curve shows that as the flow velocity increases, the surface of the specimen oxidizes from monovalent iron to divalent iron and oxidizes again to trivalent iron. At a flow velocity of 11 m/s, the area of the closed region enclosed by the cyclic voltammetry curve shown in Figure 9 increases with the increase of Cl- concentration, which indicates that electron transfer ability is gradually enhanced. It also reflects that the increase in Cl− concentration leads to a more weakened passivation feature on the specimen surface, which is consistent with the results of the circular polarization curve.
Figure 8.
Cyclic voltametric curves of 304L stainless steel at different flow velocity. (a) Cyclic voltametric curves of 304L stainless steel at flow velocity 1 m/s; (b) Cyclic voltametric curves of 304L stainless steel at full flow velocity.
Figure 9.
Cyclic voltametric curves of 304L stainless steel in NaCl solutions of different concentrations.
3.4. Electrochemical Impedance Spectroscopy
In order to test the passivation characteristics of 304L surface in high-speed, high-concentration Cl− solution, a Nyquist diagram and a Bode diagram were drawn by the AC impedance test method. According to the interface impedance parameters obtained from the test, the equivalent circuit shown in Figure 10 was obtained by fitting the equivalent circuit. Formula (1) is the fitting formula, and Table 3 and Table 4 are some fitting parameters of the equivalent circuit elements. is the resistance of the solution, is the electric double layer capacitance at the interface between the passivation film and the solution, n1 is the dispersion coefficient of the layer, is the resistance during charge transfer between the passivation film and the solution, and Q2 is the interface between the passivation film and the substrate The capacitance between, n2 is the diffusion coefficient of the layer, is the resistance of the passivation film.
Figure 10.
Equivalent circuit diagram.
Table 3.
Fitting parameters of equivalent circuit components of 304L stainless steel at different flow velocities.
Table 4.
Equivalent circuit element fitting parameters of 304L stainless steel in liquids with different NaCl concentrations.
Figure 11a shows that the Nyquist plot in NaCl solution with 4 wt.% concentration shows an incomplete and irregular semicircle. When the flow velocity increases from 1 m/s to 9 m/s, the diameter of the semicircular arc gradually decreases, which indicates that the corrosion resistance of the material decreases with the increase of the flow velocity. However, when the flow velocity is 11 m/s, the radius of the capacitive arc increases suddenly, and the surface reaction rate increases at this time. In Figure 11, the high-frequency region of the approximate straight line in the Bode diagram shows the fast and slow responses of the passivation thin-film resistor. Combined with the results shown in Table 3, the electrolyte conductive layer resistance gradually decreases as the flow velocity increases, and the charge transfer rate between the passivation film and the solution gradually enhances. However, at a flow velocity of 11 m/s, the resistance suddenly increases, and the ability of the passivation film to isolate the penetration of reactants is enhanced. The capacitance of the electric double layer at the interface between the passivation film and the solution increases, while the capacitance between the interface between the passivation film and the substrate decreases. At a flow velocity of 9 m/s, both the bilayer capacitance and the capacitance between the substrate interfaces are minimum values, which indicates that the film formation process is extremely unstable at this time and local corrosion is more likely to occur. At the same time, since the diffusion coefficient between the interface between the passivation film and the substrate gradually decreases with the increase of the flow velocity, this shows that the influence of the liquid flow on the passivation film is enhanced.
Figure 11.
Electrochemical impedance spectrum of 304L stainless steel at different flow velocities. (a) Nyquist diagram of electrochemical impedance spectrum of 304L stainless steel at different flow velocities. (b) Bode diagram of electrochemical impedance spectrum of 304L stainless steel at different flow velocities.
Figure 12 shows the Nyquist plot and Bode plots of the electrochemical impedance spectra of the sample surface in liquids with different NaCl concentrations. The Nyquist diagram shows that the capacitive arc in each Cl− concentration liquid is not complete and tends to be flat. The diameter of the capacitive arc decreases with increasing concentration, indicating that the higher the concentration of Cl−, the easier the corrosion reaction. In the Bode plot, the high-frequency curvature of each curve is close. The curvature of the four curves in the low frequency band is close to that of the other three curves except for the curve of 1 wt.% NaCl solution. As shown in Table 4, the minimum resistance affecting charge transfer in 4 wt.% NaCl solution is 79.6 Ω. At this time, the capacitance of the electric double layer at the interface between the passivation film and the solution is large, resulting in a loose structure of the passivation film and poor protection of the passivation film. The test results show that with the increase of Cl− concentration, the resistance at the interface between the passivation film and the solution decreases, which makes the charge transfer between the solution and the reactant easier. Meanwhile, with the increase of Cl− concentration, the capacitance value between the interface between the passivation film and the substrate decreases, and the dispersion coefficient increases, indicating that the distance between the passivation film and the substrate is closer.
Figure 12.
Electrochemical impedance spectra of 304L stainless steel in liquids with different NaCl concentrations. (a) Nyquist diagram of electrochemical impedance spectra of 304L stainless steel in liquids with different NaCl; (b) Bode diagram of electrochemical impedance spectra of 304L stainless steel in liquids with different NaCl.
4. Discussion
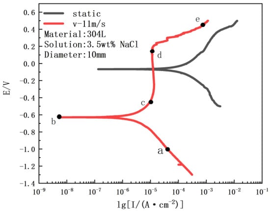
The polarization curves of 304L stainless steel in a 4 wt.% NaCl solution at static and flow velocity of 11 m/s are shown in Figure 13. The results show that the polarization curve of 304L stainless steel in the flowing state is shifted negatively and the current density is shifted positively compared with the static potential. Compared with the self-corrosion potential of −67.27 mV when the solution is static, the potential of −628.08 mV when the flow velocity is 11 m/s is increased by about ten times, which indicates that the flow velocity in the high-concentration Cl− solution has a significant effect on the corrosion reaction of 304L stainless steel. Comparing the polarization curves in static and flowing liquids in the anode region, a distinct passivation potential interval c–d appears. At this stage, the current is relatively stable, and the potential rises rapidly. The surface passivation film can be produced quickly in flowing liquids by means of an applied current method.
Figure 13.
Polarization curves of 304 stainless steel in static and dynamic solutions.
According to the polarization curves of the specimens at different flow velocities shown in Figure 6, the corrosion rates at each flow velocity were obtained by fitting with tafel. In the 1, 2 and 4 wt.% concentration liquids, the critical corrosion flow velocity appeared on the surface of the specimens with values of 7, 7 and 9 m/s, respectively. For example, as shown in Table 5, the corrosion rate of the specimen in 4 wt.% concentration liquid reaches a maximum at 9 m/s and then decreases. It was shown that the physical factors of fluid flow and the influence of value transfer have critical values. When the critical condition of influence is reached, the residual intra-membrane reactions and electron transfer on the surface are enhanced. When the flow velocity is small, a passivation film is formed on the surface of stainless steel, which slows down the mass transfer of reactants and the diffusion of products and weakens the corrosion reaction. At this time the stainless-steel matrix Fe atoms loses electrons after the production of Fe2+ pitting, Cl− moves to the pitting site, and further hydrolysis reactions occurs after the deposit accumulates around the etch pit. The corrosion reaction is accelerated by the fact that the produced products of sparse ions can pass through more easily. When the flow velocity increases, the product film on the surface is peeled off, which weakens the barrier of the film, resulting in a gradual increase in corrosion rate. When the flow velocity is 9 m/s, the capacitive arc is the smallest, and the resistance of the charge transfer is also the smallest. At this time, the penetration of Cl− and the liquid shear force jointly destroy the structure of the product film, and the corrosion reaction accelerates. When the flow velocity is further increased to 11 m/s, as shown by the anode curve in Figure 13, 304L stainless steel had the ability for repassivation. Meanwhile, the resulting passivation film has a denser structure and is more tightly bonded to the material surface. When the product becomes dense, it hinders the exchange of ions and slows down the corrosion reaction.
Table 5.
Corrosion rates of 304L stainless steel at different flow velocities.
Based on the polarization curves and impedance spectra measured by electrochemical experiments, the electrochemical corrosion rates in liquids of different concentrations were calculated as shown in Table 6. Comparing the corrosion rate at low flow velocity of 1 m/s and high flow velocity of 11 m/s, the results show a stable increase in corrosion rate when the NaCl concentration increased from 1 to 3 wt.% at both flow velocities. However, the corrosion rate increased significantly with increases NaCl concentration from 3 to 4 wt.%. This indicates that when the NaCl concentration is greater than 3 wt.%, the electrochemical corrosion of 304L stainless steel increases. For easily passivated metals such as 304L stainless steel, a passivation film is formed during the corrosion reaction, and the Cl− rich in the corrosive medium dissolves the material and passes through the generated passivation film more easily. At the same time, Cl− has an autocatalytic effect that can accelerate the effect of corrosion. The reaction process is as follows.
Table 6.
Corrosion rate of 304L stainless steel at different concentrations (mm/a).
When Cl− reaches a certain concentration, the ions penetrate the passivation film and seize the cation vacancies at the interface between the passivation film and the metal, resulting in macroscopic detachment of the passivation film from the metal interface; the passivation film cannot repair itself after perforation. As the concentration of Cl− in the solution increases, the passivation film generated on the surface of the material is more severely damaged. It appears that the corrosion rate increases with the increase of the concentration of NaCl solution.
5. Conclusions
In this study, key parameters such as current density, potential, and impedance were obtained by on-line electrochemical measurement in high-speed flowing liquids. The results show that the electrochemical parameters varied with the liquid flow velocity and Cl− concentration. The corrosion rate of 304L surface under different conditions was calculated. Through experimental research and analysis, the main conclusions are as follows:
- (1)
- With increased solution flow velocity, there is an extreme value of the corrosion rate of 304L stainless steel, and the corrosion rate first increases and then decreases with the increase of flow velocity. When the flow velocity is less than the critical flow velocity corresponding to the extreme value, the potential is constantly shifted negatively, and the corrosion current density gradually increases. At the same time, the radius of the capacitive arc in the impedance spectrum decreases and the protection potential shows a trend of rising and then falling. When the flow velocity is less than 7 m/s, the surface of the material has strong corrosion resistance. When the flow velocity is greater than the critical flow velocity, the passivation potential interval of the anodic polarization curve increases. The capacitive arc radius increases the charge transfer resistance, and the corrosion reaction is inhibited.
- (2)
- The 304L stainless steel corrosion rate continues to increase with NaCl concentration. In the process of increasing the Cl− concentration, the self-corrosion current density on the material surface increases and the radius of the capacitive arc decreases. When the NaCl concentration is 4 wt.%, the resistance between the passivation film and the substrate is the smallest, and the difference between the pitting potential and the protective potential is the largest. This reflects the worst corrosion resistance of the material under this condition. A high concentration of NaCl solution in the Cl− penetration, can easily pass through the corrosion product film to reach the surface of the body, and it has a strong adsorption force, which destroys the corrosion product film generated on the surface of the material. Under the combined influence of high-speed liquid physical cutting and Cl− penetration adsorption, the corrosion product film formed on the surface of the material is gradually destroyed, and the reactant mass transfer and activation reactions are further enhanced.
Author Contributions
J.C. and Q.Y. designed the experiments and supervised experimental work; J.C. and W.W. wrote the program; Q.Y. and Z.P. verified and changed the manuscript; Z.P. provided experimental instruments. All authors have read and agreed to the published version of the manuscript.
Funding
This research was funded by National Natural Science Foundation of China (grant no. 52105209). It was also supported by the Key R&D Plan of Shaanxi Province (No.2022GY-129).
Institutional Review Board Statement
Not applicable.
Informed Consent Statement
Informed consent was obtained from all subjects involved in the study.
Data Availability Statement
Not applicable.
Conflicts of Interest
The authors declare no conflict of interest.
References
- Yong, X.Y.; Lin, Y.Z. Progress in study on flow induced corrosion. Corros. Sci. Prot. Technol. 2002, 14, 32–34. [Google Scholar]
- Shang, Z.Y. Flow Corrosion and Research Development. Corros. Prot. Petrochem. Ind. 2006, 4, 33–35. [Google Scholar]
- Lotz, U.; Heitz, E. Flow-dependent corrosion. I. Current understanding of the mechanisms involved. Mater. Corros. 1983, 34, 454–461. [Google Scholar]
- Heitz, E. Chemo-Mechanical Effects of Flow on Corrosion. Corrosion 1991, 47, 135–145. [Google Scholar] [CrossRef]
- Yuan, X.-X.; Pandey, M.; Bickel, G. Probabilistic Model of Wall Thinning in CANDU Feeders Due to Flow-accelerated Corrosion. Nucl. Eng. Des. 2008, 238, 16–24. [Google Scholar] [CrossRef]
- Fujiwara, K.; Domae, M.; Yoneda, K.; Inada, F. Model of physico-chemical effect on flow accelerated corrosion in power plant. Corros. Sci. 2011, 53, 3526–3533. [Google Scholar] [CrossRef]
- Subramanian, H.; Madasamy, P.; Kumawat, H.; Thomas, R.; Krishnamohan, T.; Velmurugan, S.; Narasimhan, S. Thin Layer Activation for Probing Flow Accelerated Corrosion of Carbon Steel. Corros. Sci. 2012, 54, 45–51. [Google Scholar] [CrossRef]
- Efird, K.D. Disturbed Flow and Flow-accelerated Corrosion in Oil and Gas Production. J. Energy Resour. Technol. 1998, 120, 72–77. [Google Scholar] [CrossRef]
- Guo, C.L. An Investigation on Electrochemical Corrosion Behaviors of Steels; Taiyuan University of Technology: Taiyuan, China, 2010. [Google Scholar]
- Zhang, G.; Cheng, Y. Electrochemical characterization and computational fluid dynamics simulation of flow-accelerated corrosion of X65 steel in a CO2-saturated oilfield formation water. Corros. Sci. 2010, 52, 2716–2724. [Google Scholar] [CrossRef]
- Salehi, M.; Yeganeh, M.; Heidari, R.; Eskandari, M. Comparison of the microstructure, corrosion resistance, and hardness of 321 and 310s austenitic stainless steels after thermo-mechanical processing. Mater. Today Commun. 2022, 31, 103638. [Google Scholar]
- Yeganeh, M.; Khosravi-Bigdeli, I.; Eskandari, M.; Zaree, S.R.A. Corrosion Inhibition of l-Methionine Amino Acid as a Green Corrosion Inhibitor for Stainless Steel in the H2SO4 Solution. J. Mater. Eng. Perform. 2020, 29, 3983–3994. [Google Scholar] [CrossRef]
- Eskandari, M.; Yeganeh, M.; Motamedi, M. Investigation in the corrosion behaviour of bulk nanocrystalline 316L austenitic stainless steel in NaCl solution. Micro Nano Lett. 2012, 7, 380–383. [Google Scholar] [CrossRef]
- Yeganeh, M.; Rezvani, M.H.; Laribaghal, S.M. Electrochemical behavior of additively manufactured 316L stainless steel in H2SO4 solution containing methionine as an amino acid. Colloids Surf. A Physicochem. Eng. Asp. 2021, 627, 127120. [Google Scholar] [CrossRef]
- Wei, L.; Pang, X.; Gao, K. Effect of flow rate on localized corrosion of X70 steel in supercritical CO2 environments. Corros. Sci. 2018, 136, 339–351. [Google Scholar] [CrossRef]
- Liu, J.J. Numerical Simulation of Flow-Induced Corrosion of Metals in High Flow Multiphase Seawater and Test Verification; Beijing University of Chemical Technology: Beijing, China, 2006. [Google Scholar]
- Zhang, Z.; Shi, T.H.; Wu, Y. Numerical Simulation of Flow Induced Corrosion in Downhole Tubes. Oil Drill. Prod. Technol. 2004, 26, 59–61. [Google Scholar]
- Song, J.; Gao, Z.; Liu, C.; Hu, W. Corrosion behavior of WB36CN1 steel at different flow rates. Anti-Corros. Methods Mater. 2020, 67, 519–528. [Google Scholar] [CrossRef]
- Li, Z.; Zhang, J.; Cheng, J. The Influence of Critical Flow Velocity on Corrosion of Stainless Steel. J. Fail. Anal. Prev. 2017, 17, 1234–1240. [Google Scholar] [CrossRef] [Green Version]
- Karimi, M.H.S.; Yeganeh, M.; Zaree, S.A.; Eskandari, M. Corrosion behavior of 316L stainless steel manufactured by laser powder bed fusion (L-PBF) in an alkaline solution. Opt. Laser Technol. 2021, 138, 106918. [Google Scholar] [CrossRef]
- Moghadas, S.M.J.; Yeganeh, M.; Zaree, S.R.A.; Eskandari, M. The influence of heat treatment on the microstructure and corrosion behavior of selective laser melted 316L stainless steel in Ringer’s solution. Surf. Topogr. Metrol. Prop. 2022, 10, 025012. [Google Scholar] [CrossRef]
Publisher’s Note: MDPI stays neutral with regard to jurisdictional claims in published maps and institutional affiliations. |
© 2022 by the authors. Licensee MDPI, Basel, Switzerland. This article is an open access article distributed under the terms and conditions of the Creative Commons Attribution (CC BY) license (https://creativecommons.org/licenses/by/4.0/).













