Abstract
In the present review, works on the classes of chelating extractants for metals, compounds with several amide and carboxyl groups, azomethines, oximes, macrocyclic compounds (crown ethers and calixarenes), phenanthroline derivatives, and others are systematized. This review focuses on the efficiency and selectivity of the extractants in the recovery of metals from industrial wastewater, soil, spent raw materials, and the separation of metal mixtures. As a result of this study, it was found that over the past seven years, the largest number of works has been devoted to the extraction of heavy metals with amino acids (16 articles), azomethines and oximes (12 articles), lanthanids with amide compounds (15 articles), lanthanides and actinides with phenanthroline derivatives (7 articles), and noble metals with calixarenes (4 articles). Analysis of the literature showed that amino acids are especially effective for extracting heavy metals from the soil; thiodiglycolamides and aminocalixarenes for extracting noble metals from industrial waste; amide compounds, azomethines, oximes, and phenanthroline derivatives for extracting actinides; amide compounds for extracting lanthanides; crown ethers for extracting radioactive strontium, rhenium and technetium. The most studied parameters of extraction processes in the reviewed articles were the distribution ratios and separation factors. Based on the reviewed articles, it follows that chelate polydentate compounds are more efficient compounds for the extraction of metals from secondary resources compared to monodentate compounds.
Keywords:
extraction; diamides; amino acids; Schiff bases; oximes; crown ethers; calixarenes; phenanthroline 1. Introduction
Metals, such as lead (Pb), chromium (Cr), zinc (Zn), cadmium (Cd), copper (Cu), mercury (Hg), and nickel (Ni), and metalloids (arsenic As) entering various ecosystems as a result of anthropogenic influences can accumulate in living organisms [1], with a detrimental effect on the physiological processes of living organisms. Therefore, the removal of heavy metals and their salts from the environment is an urgent task today. To remove toxic metal ions from wastewater of industrial enterprises, extraction is used. Extraction is the most economical, technologically simple and productive process compared to other processes, e.g., electrodialysis, electrocoagulation, flotation, and ion exchange [2]. In addition, unlike membrane filtration and chemical precipitation, extraction is effective at low concentrations of metal ions, which allows it to be used for preliminary analytical concentrations of trace elements contained in water and soil samples [3].
Extraction is widely used in hydrometallurgical processes for selective extraction of the target metal from ores or wastes of enterprises—for example, for treatment of zinc oxide ores [4] and extraction of cerium (Ce) from spent catalytic converters of cars [5].
Among the most effective and selective metal extractants are chelates, i.e., compounds containing at least two donor atoms. Chelates form stable complexes with metal cations, which are poorly soluble in water and well soluble in low-polar organic solvents. This feature of chelating compounds makes them suitable for liquid and supercritical fluid extraction. Chelating extractants are, for the most part, low in toxicity, which makes them safe to work with. In addition, for a number of their mixtures, there is a cooperative effect, in which the distribution ratios of metals increase many times compared to monodentate analogues [6,7].
A number of review articles on chelate extractants are available in the literature. For example, the 2011 review considers extraction systems based on crown ethers, quinolines, fluorine-containing β-diketones, and ionic liquids used as diluents [8]. In [9], studies on the solid-phase extraction of heavy metals by polymers, chitin, chitosan, and calcium alginate are presented, and their chelating and adsorption properties are described. In [10], the synthesis methods, chelating properties and applications in analytical chemistry of azomethines are reviewed, and in [11], the application of 1-(2-pyridylazo)-2-naphthol in solid-phase extraction, microextraction and cloud point extraction is addressed. In 2017, a review on supercritical fluid extraction of heavy metals, lanthanides and actinides by some chelating extractants was published [12]. However, the presented reviews are narrowly focused, and the reference to the most recent article is dated 2015, while most of the cited literature was published in the 1980s to 1990s.
This review presents current research over the past 5 years, systematized by classes of chelating extractants that can be used to isolate and/or separate specific metals or groups of metals. The characteristics of the extractants and an evaluation of the prospects for their use are also given.
2. Extractants Containing Amide Groups
Amide extractants form chelate complexes due to the coordination of the metal ion by the oxygen atoms of the amide groups, and, additionally, by oxygen, nitrogen or sulfur atoms contained in the compound in the form of ether, amino or thioether groups, respectively. The advantages of these extractants are high affinity to a number of metal ions and good solubility in non-polar solvents.
2.1. Actinides
Dialkylamides are often used to separate actinides contained in nuclear fuel-reprocessing waste—a highly active liquid waste. For example, N,N-dihexyloctanamide 1 in n-dodecane selectively separates the pairs of neptunium Np (IV) and plutonium Pu (III), uranium U (VI) and plutonium Pu (III) with separation factors equal to 285 and 1080, respectively [13]. However, it remains unclear why these pairs of elements were chosen for separation by the authors, and how the extractant separates the overall mixture of elements. Additionally, the work did not consider the effect on the extraction and separation of the above metals of attendant impurities that are always present in nuclear fuel waste, such as Cs+ and Sr2+ ions

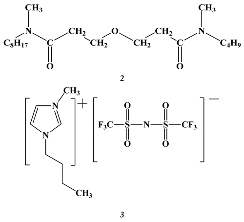
Using N,N′-dimethyl-N,N′-dioctyl-4-oxaheptanediamide 2 in the ionic liquid 1-butyl-3-methylimidazolium bis[(trifluoromethyl)sulfonyl]imide 3, the separation of thorium ions from uranyl ions from the HNO3 solution was studied [14].

It was found that extractant 2 has a better affinity for thorium ions than for uranyl ions. The maximum Th (IV)/U (VI) separation factor is 21.9 at pH 2.24. The mechanism of extraction of Th (IV) and U (VI) ions with the indicated extractant is cation exchange, whereby three molecules of compound 2 can be bound to one thorium ion (1) and two molecules of the extractant (2) can be bound to the uranyl ion:
where C4mim+—ionic liquid cation 3.
Th4+(aq.) + 3 extractant 2 (org.) + 4 C4mim+(org.) = Th(extractant 2)4+3 (org.) + 4 C4mim+(aq.)
UO22+(aq.) + 2 extractant 2 (org.) + 2 C4mim+(org.) = UO2(extractant 2)2+2 (org.) + 2 C4mim+(aq.)
In the solid-phase extraction of both plutonium Pu (IV) and americium Am (III) simultaneously using N,N,N′,N′-tetra(2-ethylhexyl) diglycolamide 4, encapsulated in polyethersulfonic polymer granules, the authors of work [15] managed to selectively separate the above actinide mixture. Since a high extraction of both metals was observed, the strategy for their separation was to carry out two stages. First, Pu (IV) was reduced to Pu (III) and removed using ascorbic acid, leaving up to 90% of Am (III) unchanged. Then, oxalic acid was used to separate the americium.

It should be noted that in [14,15], experimental data on the separation of the target metals from the accompanying impurities that are always present in the products of nuclear fusion are also lacking.
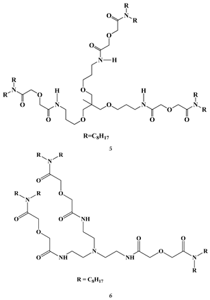
In [16], the liquid extraction of not only Am (III), Np (IV), Pu (IV), and U (VI), but also impurities Sr (II) and Cs (I) by tripodal diglycolamides 5, 6, 7 from nitric acid media was studied.


The following ligand extraction efficiency series was established: using 6, the pattern of Cs(I) < Sr (II) < NpO22+ ~ UO22+ < Am (III) < Np (IV) < Pu (IV) was observed, which changes to Cs (I) < Sr (II) < NpO22+ < UO22+ < Np (IV) < Am (III) < Pu (IV) for 5 and for 7 is as follows: Cs (I) < Sr (II) < UO22+ < NpO22+ < Np (IV) < Pu (IV) < Am (III). The authors attribute the higher degree of extraction of plutonium compared to neptunium to the higher complexing ability of plutonium.
The compounds are arranged in a series of extraction capacities as follows: 7 > 5 > 6. The higher extraction ability of extractant 7 is due to its higher lipophilicity (hydrophobicity) compared with 5. The low extraction ability of extractant 6 was explained by protonation of the central nitrogen atom, which makes it difficult to extract metal ions.
The authors of [16] managed to achieve quantitative extraction of neptunium Np (IV) and plutonium Pu (IV) from nitric acid, with a detailed description of the extraction mechanism. The authors selectively separated Np (IV) and Pu (IV) from UO22+, Cs (I), and Sr (II) (the values of the separation factors are given in Table 1) by extractants 5, 6, 7. In addition, the obtained extractants had radiolytic stability.
Table 1.
Separation factor values of Np (IV) and Pu (IV).
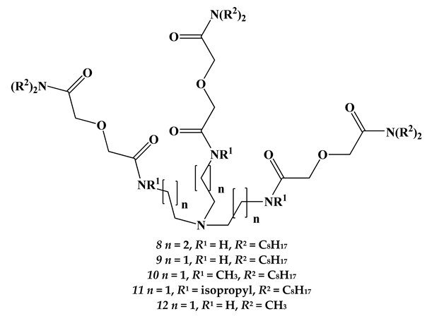
In [17], the extraction of actinides Am (III), Pu (IV), Np (IV) and U (VI) in the presence of Sr (II) using five tripodal diglycolamide ligands 8–12 with different lengths of spacers and substituents was studied. Considering the actinide distribution ratios (aqueous phase: nitric acid; organic phase: ionic liquid 3), the most efficient ligand is compound 8 (Table 2).
Table 2.
Distribution ratios and separation factor data βAm/Me (given in brackets).

The following series of actinide extraction efficiency was observed: compound 8 >> compound 9 >>> compound 10 ≈ compound 11 ≈ compound 12. According to the authors, this is due to factors such as spacer length, hydrophobicity and the branched alkyl groups at the amide nitrogen atom.
To summarize, diglycolamide compounds are excellent extractants of actinides from highly reactive wastes as well as for their separation. Therefore, the implementation of the developed formulations in various technological processes seems rather promising.
2.2. Lanthanides
The worldwide demand for rare earth elements (REEs) in 2020 was approximately 185 thousand tons, while it reached 80 thousand tons in 2000. The rapid demand for REEs used in electronics, instrumentation, aerospace, defense and engineering industries makes solving the problem of extraction and concentration of lanthanides an urgent task. Diamides containing a simple ether group are widely used for extraction of lanthanides.
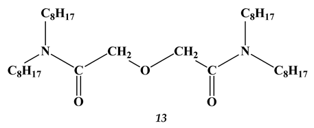
A mixture of trivalent lanthanides (La, Ce, Pr, Nd, Sm, Eu, Gd, Tb, Dy, Ho, Er, Tm, Yb, and Lu) can be separated into individual elements contained in nitric acid solution by using a solution of extractants-tri-(n-butyl) phosphate (TBP) and N,N,N′,N′-tetraoctyldiglycolamide (compound 13) in ionic liquid 3, which is more environmentally friendly than conventional molecular solvents [18]. It was found that Ho, Er, Tm, Yb, and Lu are most effectively extracted using the above system.

It is important that a synergistic effect providing excellent separation of lanthanide ions was observed when using the mentioned extraction mixture, which is explained by the formation of complex forms of lanthanides with both TBP and 13. However, further studies are needed to establish the composition of internal and external coordination spheres of the forms formed.
It was also noted that hydrophobic anionic fragments of the ionic liquid contribute to the extraction process through the formation of lipophilic metal–ligand complexes.
Unfortunately, the authors present separation factors only for the Lu (III)/La (III), Lu (III)/Sm (III) and Lu (III)/Tb (III) pairs, equal to 1622, 45 and 4.8, respectively; for other lanthanide pairs, these factors are not presented.
Liquid high-level radioactive waste can be a source of neodymium (III), a valuable REE used in telephones and computers, and zirconium (IV), used to manufacture nuclear reactor parts.
In [19], comparative extraction of neodymium Nd (III) and zirconium Zr (IV) using compound 13 and N,N-dioctylhydroxyacetamide 14 from nitric acid medium was carried out. It was found that compound 14 forms large aggregates with neodymium ions, and 13 forms large aggregates with zirconium. The authors did not find an explanation for this fact.

The extraction percentages using compound 14 were 98.8% for neodymium and 99.9% for zirconium. Extractant 14, according to the authors, can be used to extract neodymium (III) and zirconium (IV) from high-level waste generated during reprocessing of spent fuel for fast-neutron reactors (uranium-zirconium and uranium-plutonium-zirconium metal alloys). However, the separation factors of these metals and other uranium fission products are not presented in this work.
The extraction properties, extraction mechanism and third phase formation were studied [20] during extraction of neodymium (III) from nitric acid medium using asymmetric (having different substituents at the nitrogen atom) diglycolamide-N,N′-dimethyl-N,N′-dioctyl-3-oxadiglycolamide 15 in mixture of n-octanol and paraffin. A special feature of the work is that the influence of the acidity of the medium, diglycolamide concentration and temperature on the Nd (III) distribution ratio was investigated.

The authors, based on earlier work [21,22], conclude that compared to symmetrical diglycolamides, asymmetrical diglycolamides may be more promising candidates for neodymium extraction from high-activity liquid radioactive waste. This is due to the absence of third phase formation during the extraction process.
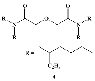
When extracting [23] neodymium (III) from nitric acid using extractant 4 in n-dodecane, the formation of aggregates 4/Nd(NO3)3 and 4/HNO3 of large size, 30–40 nm, was observed in the organic phase, which is due to reverse micellar aggregation because the extractant molecule is amphiphilic. Under the influence of 60Co (500 kGy), the formation of the third phase was minimized due to radiolytic degradation of the extractant, with the average size of the aggregates decreasing to 9 nm. The authors only studied the extraction behavior of Nd (III) under these conditions. Whether the method is applicable for other lanthanides has not yet been investigated.
To control the formation of an undesirable third phase in the extraction of neodymium from a solution of Nd(NO3)3 in nitric acid, the authors of [24] added 5 to 15 vol. % aliphatic alcohols, n-decanol, n-octanol and isodecanol to the organic phase (extractant 4 in n-dodecane). The principle is based on the fact that when alcohols with long aliphatic chains are added, they interact with polar acid solvates and metal solvates and prevent their aggregation in the organic phase. This reduced the size of the aggregates from 20 to 4 nm. The best results were achieved using n-decanol.
Extraction system 0.2 mol L−1 extractant 4 + 1 mol L−1 n-decanol/n-dodecane is proposed for the separation of trivalent lanthanides from highly reactive liquid wastes formed during the processing of uranium-plutonium carbide fuel. At the same time, the authors of works [23,24] did not study the behavior of the extractant in the presence of other elements, including radioactive ones, which can radiolytically destroy it.
When extracting Eu (III) with 4-oxaheptanediamides 16, 17 and 18, the best results were obtained using the extractant with the longest radicals (18) [25]. There is some contradiction with earlier works—for example, [26], in which the study of actinide extraction with diglycolamides with different alkyl substituents showed that the increase in the length of alkyl chain of the substituent decreases the extraction ability of the extractant due to the appearance of steric hindrance.

It is proposed to use unsymmetrical heptanediamides to further investigate the possibility of extracting other lanthanides.
The authors of [27] used compound 14 as an additive to extractant 13 to prevent stratification of organic phase due to micellar aggregation during extraction of trivalent metals from nitric acid medium. The antagonistic effect of aggregation in the organic phase (n-dodecane as the diluent) when adding the above extractant was found to be advantageous in the extraction of trivalent lanthanides from high-level nuclear waste. The authors of the work explain the reduction in aggregation by the structure of extractant 14, which is part of molecule 13. It was found that the addition of compound 14 minimizes the average size of aggregates and increases the limit of third phase formation. However, the authors of the work, having studied the effect of extractant 14 on the recovery of Eu (III) and Nd (III), did not consider their separation from other REEs using the proposed synergistic mixture of extractants. Unfortunately, no data are presented on the effect of impurities of other REEs. The authors have not shown information regarding the separation factors of impurities of other REEs.
The authors of [28] extracted trivalent lanthanides (Ce, Eu and La) using 13 and octyl(phenyl)-N,N-diisobutylcarbonylmethylphosphinoxide 19 diluted in ionic liquid-containing imidazolium cations. A high extraction efficiency of lanthanides from dilute hydrochloric acid is noted when these extractants are used. In addition, compound 13 is more efficient and less toxic (due to its lack of phosphorous) than compound 19.

The authors were critical about the separation of the Eu (III)/Ce (III) pair. For the separation of this pair, both own results as well as data from scientific literature are given. A very high selectivity of extraction was achieved when 1-(2-pyridylazo)-2-naphthol was used as a synergistic agent. A marked decrease in selectivity towards 4f-ions was observed when the combination of 13 + 19 was used. The authors also point out that the choice of diluent is very important not only for extraction or synergistic enhancement but also for efficient metal separation.
Using diamides, an attempt was made to separate europium(III) and americium(III) from concentrated nitric acid solutions. This was performed using N,N′-diethyl-N,N′-bis(6-methylpyridin-2-yl)-2,2′-bipyridine-6,6′-dicarboxamide 20 dissolved in nitrobenzene [29]. However, the separation factor proved to be lower than 1. The authors attributed this result to the electron-withdrawing properties of the pyridine rings, which decrease the activity of amine groups. However, they neglected the positive mesomeric effect of these rings caused by the nitrogen atoms. In addition, the paper presents no data on the extraction of these lanthanides: the distribution ratios and effect of nitric acid and extractant concentrations on the extraction efficiency.

However, negative synergism was obtained when attempting trivalent lanthanide extraction using mixed-compound systems “13/19/ionic liquid”. The challenge for successful applications of ionic liquid in synergistic extraction is to find or develop a suitable system for that particular application. Continued research to elucidate the driving force responsible for the successful application of ionic liquid in the field of liquid metal extraction will contribute to optimizing the process and introducing more efficient and environmentally friendly technologies.
Extractant 13 diluted in aviation paraffin is proposed for the extraction of 14 REEs (lanthanum La, cerium Ce, praseodymium Pr, neodymium Nd, europium Eu, gadolinium Gd, terbium Tb, dysprosium Dy, holmium Ho, erbium Er, thulium Tm, ytterbium Yb, lutetium Lu and yttrium Y) from sulfuric acid solution [30]. With 13 the authors were able to achieve a high extraction rate of 91.4–99.8%. The recovery rate of REEs increased with increasing sulfuric acid concentration from 1 to 6 mol L−1 and decreased with further increase. According to the authors, this is due to a decrease in activity of water molecules at high concentrations of sulfuric acid, due to which the extractant molecules 13 form complexes at high concentrations of sulfuric acid. From the description, the chemistry of the process is not very clear—the phenomenon should have been presented in more detail.
According to the authors, this extractant is more environmentally friendly than the phosphorous-containing extractants P507 (mono-2-ethylhexyl ester of 2-ethylhexyl phosphonic acid) and P204 (di(2-ethylhexyl) phosphate), which are used in industry to extract REEs.
The extraction of REEs and their complexation with tetraalkyldiglycolamides (4, 13, N,N,N′,N′-tetrabutyldiglycolamide 21 and N,N,N′,N′-tetrahexyldiglycolamide 22) was studied [31]. Extraction ability was evaluated against light (La, Pr, Nd), middle (Eu, Gd) and heavy (Y, Er, Yb) REEs in HNO3 solution. The extraction capacities of the ligands were distributed in this order: 4 < 22 < 13 < 21.

During extraction of REEs from a hydrochloric acid medium by [32] unsymmetrical diglycolamide-N,N′-dibutyl-N,N′-di(1-methylheptyl) diglycolamide (compound 23) diluted with kerosene/n-octanol mixture the following order of metal extraction ability was established: Nd (III) < Gd (III) < Er (III) < Dy (III) < Sm (III) < Yb (III), indicating that compound 23 has a better affinity for heavier lanthanides. It was noted that the distribution ratio increased with increasing concentration of the extractant. According to IR study, it was found that the extractant coordinates with ions of REEs through the oxygen of carbonyl group. The mechanism of REE extraction was established, namely, it was shown that Nd (III) can bind with two molecules 23 and other REEs with three. Consequently, the composition of the extracted REE (III) complex can be expressed as NdCl3∙2(23), MCl3∙3(23).

In a study [33] of liquid extraction of REEs using compound 21 in 1-octanol from hydrochloric acid medium, it was found that the use of polar 1-octanol contributed to high extraction efficiency, especially for the separation of heavy lanthanides in solutions with high chloride concentration. Experimental results showed that the distribution ratio of trivalent REE ions increased with increasing HCl concentration, metal atomic number and extractant concentration. However, the light lanthanides La and Ce were poorly extracted with 21.
Thus, the works [32,33] failed to achieve high extraction efficiency of light lanthanides.
The polyvinylidene fluoride-based membrane containing extractant 13 enables extracting the REEs lanthanum (III), cerium (III), praseodymium (III), and neodymium (III) with purity over 95% from phosphate ore leaching solutions [34]. REE extraction was influenced by concentration 13. The efficiency of membrane transfer increased with the increase in concentration 13; however, when the optimum viscosity limit was reached, the transfer rate decreased. This is probably due to the fact that due to viscosity, diffusion across the membrane is impaired and becomes a limiting factor in the mass transfer process.
Nevertheless, this membrane technology makes it possible to separate more than 95% of the rare earth ions from the leaching solutions using 0.10 mol L−1 compound 13. More importantly, impurity ions do not pass through the membrane, allowing high-purity REEs to be obtained. Additionally, the use of liquid membranes contributes to an environmentally friendly, highly efficient and economical method for the recovery of REEs.
Despite the available experimental studies, confirming a high degree of extraction of only La, Ce, Pr, Nd, the authors of [34] make the assumption of high selectivity of the proposed membrane in relation to all lanthanides.
It should be noted that in the above-mentioned works [18,19,20,21,22,23,24,25,26,27,28,29,30,31,32,33,34], separation of REEs from impurities of heavy and alkaline earth metals Fe (III), Pb (II), Ti (IV), Cu (II), Mg (II) and others as well as thorium Th (IV) contained in rare earth ores was not investigated.
For the separation of trivalent REEs (Y, La, Eu, Gd, Dy, Er, Yb, and Lu) in the presence of aluminum Al (III) and iron Fe (III), a new extraction system 24 based on N,N-di-(2-ethylhexyl)-diglycolamide-grafted polystyrene resin Amberlite IRA-910 was proposed to prevent formation of the third phase, especially at high acidity of water phase [35].

The authors established the complex-forming mechanism of REE extraction based on their interaction with carbonyl and ether groups of ligands, which was confirmed by X-ray photoelectron spectroscopy.
It is interesting to note that the data on the adsorption of metal ions show the following trend: heavy REEs (Yb, Er, and Lu) > light REEs >> Fe > Al. In addition, the adsorption of all REEs was approximately 60%, while it was less than 1% at pH 1.8 for Al and Fe. However, increasing the pH contributes to increasing the adsorption of iron and aluminum, so at pH = 3.5, the adsorption of Fe was almost 18%. In addition, at pH = 3.5, an inhibitory effect on the adsorption of REE starts to act; therefore, a pH of 3.0 is recommended for their effective purification from Al and Fe.
The method is effective in separating REEs from impurity aluminum and iron ions, which can be very high in the ore. It also involves the highly efficient extraction of heavy REEs from low-concentration leaching solutions in a single stage, providing a simpler and more environmentally friendly alternative to extraction with organic solvents. The advantage of the proposed method is durability of polymer resin and possibility of its reuse within 3–4 cycles. However, there are no data on element separation factors in the work.
The influence of phosphate ions, iron (III) and copper (II) ions on extraction of trivalent REEs (Ce, Nd, La, and Dy) from leach products of New Kankberg (Sweden) and Covas (Portugal) deposits was studied [36]. The extraction was carried out with solvate (13) and acidic extractant (di-(2-ethylhexyl) phosphoric acid 25) in different media in the presence of the mentioned impurities. As a result, the advantage of the acid extractant over the solvate extractant was shown. The selectivity with acid was significantly higher, allowing easier extraction of individual REEs. Additionally, compound 13 showed satisfactory results in nitric acid medium, while it was much worse in other acids. Di-(2-ethylhexyl) phosphoric acid is able to extract REEs from all acids, which is a positive economic and technological factor.

The separation of rare earth metals from recycled raw materials is a very topical issue. For example, some REEs, such as Nd (III), Pr (III), and Dy (III), can be extracted from neodymium magnets that are present in various process wastes, such as hard drives, electrical generators for wind turbines, and electric motors. Separation of REEs from other magnet components, such as iron, which is the main part of the alloy, and further processing of REEs was the main task of the authors of the paper [37]. The magnetic powder was leached using harmless and cheap organic substances: maleic, glycolic and ascorbic acids, with the most efficient extraction of REEs from the maleic filtrate. When comparing the extraction ability of compound 13 with the organophosphorous extractants TBP, compound 25, Cyanex 272 and Cyanex 923 compared to REEs, compound 13 showed the best REE extraction and selectivity between elements in the maleic leachate. As a result, Nd (distribution ratio DNd ≈ 200), Pr (DPr ≈ 90) and Dy (DDy ≈ 250) were efficiently extracted from it. It can be concluded that compound 13 could potentially be used in the future on a large scale for the selective separation of REEs from impurities of other metals.
In [38], the process of leaching and solvent extraction for REE extraction from magnetocaloric materials including Ce, Fe, La, Mn, and Si was described. Leaching was carried out using solutions of nitric, hydrochloric and sulfuric acids with the selection of optimum temperature, acid concentrations and solid–liquid ratios. Extraction of REEs from leach products of nitric, hydrochloric and sulfuric acids was carried out using 13 in paraffin. High distribution ratios of REEs, expressed in terms of concentrations of REEs in the aqueous phase before and after extraction, and good selectivity for Fe and Mn were achieved. The selectivity was better in nitric acid media. Extractant 13 showed very good selectivity between REEs compared to impurities.
Imidophosphoric acid esters, which are polydentate ligands that form strong complexes with these elements and can be used for recovery of REEs from ores can be used for recovery of REEs. In [39], 2-ethylhexyl derivatives of imidophosphoric acid (26 and 27) were described and showed high efficiency for collective extraction of trivalent REEs Y, Pr, La, Ce, Nd, Sm, Gd, Dy, Yb and Ho from nitric acid water solutions. A mixture of C9–C13 hydrocarbons was used as a diluent.

The results obtained by the authors were compared with the data for commercial extractant polyalkylphosphonitrile acid, whose structure is not fully established. Higher extraction capacity of synthesized compounds but lower selectivity compared to polyalkylphosphonitrile acid were noted.
The authors proposed a cation-exchange extraction mechanism (3):
Ln3+ + 3HA = [Ln(A)3] + 3H+
The authors explain the low selectivity of the extractants by the fact that the properties of the resulting complex [Ln(A)3] depend to a greater extent on the -P(O)(OR)-NR’- fragments in the outer sphere of the complex and depend less on the nature of the lanthanide.
It is also reported that increasing the chain length of the ester leads to a better extraction capacity towards the lighter lanthanides. However, the authors of the present work do not explain this fact. The obtained extractants are proposed to be used for the extraction of REEs from ores.
It should be noted that unlike industrial phosphorous-containing extractants having low separation factors of REEs and requiring a large number of stages to obtain one REE of high purity, amide compounds enable separation of REEs in one stage.
2.3. Heavy and Noble Metals
Thioglycolamides are widely used as extractants for noble metals.
For example, in a study [40] of palladium Pd (II), platinum Pt (IV), and rhodium Rh (III) extraction from chloride solutions, N,N′-dimethyl-N,N′-dibutylthiodiglycolamide 28 dissolved in toluene was used.

It was reported that this compound efficiently extracts palladium, but poorly extracts platinum and rhodium. The palladium/platinum and palladium/rhodium separation factors (at 100 mg L−1 concentration of each metal in solution) were 356 and 2880, respectively. It was also shown that at high concentrations of hydrochloric acid (more than 5.5 mol L−1), palladium extraction was accompanied by the loss of extractant to the aqueous phase. However, no interpretation for this fact was given by the authors. Thus, compound 28 is promising for the selective extraction of palladium from low-concentration chloride solutions.
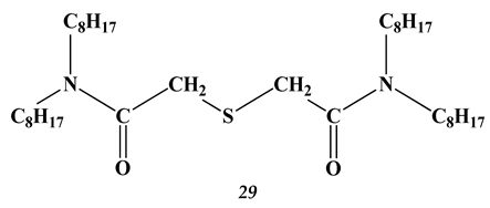
A tridentate ligand, N,N,N′,N′-tetraoctylthiodiglycolamide (compound 29), is able to selectively extract silver Ag (I), palladium Pd (II), gold Au (III) and mercury Hg (II) from nitric, sulfuric, hydrochloric and chloric acid solutions [41]. Table 3 gives data on extraction of 29 different metals. They can be divided into three groups: hardly extracted metals (D < 0.1), extractable metals (D = 0.1–10) and well-extractable metals (D >10).
Table 3.
Distribution ratio values obtained by extraction with compound 29 in n-dodecane (condition: 3 mol L−1 HNO3 and 0.2 mol L−1 compound 29).

As can be seen from Table 3, compound 29 extracts platinum (IV) and iron (III) poorly and excels in extracting palladium (II), silver (I), mercury (II) and gold (III).
The authors of [41] suggested that Pd, Ag, Hg and Au are well extracted by compound 29 because they have different stable oxidation degrees: Ag (I), Au (III), Pd (II) and Hg (II); and ionic radii: Ag 67 pm [coordination number (CN) = 2], Au 85 pm [CN = 6], Pd 64 pm [CN = 4], Hg 96 pm [CN = 6]. It can be concluded that compound 29, extracts predominantly soft acid metals, i.e., the interaction is based on the hard and soft acids and bases principle (HSAB). Sulfur as a donor gives preference to soft acid metals that promotes high values of the distribution ratios of compound 29 for Pd (II), Hg (II), Au (III) and Ag (I). However, the mechanism of extraction of these metals by compound 29 is not described in the work, which is a significant drawback. In addition, the authors of [41] did not give values for the separation factors of soft and hard metals.
A comparison of extraction of metals by compound 29 with extractants containing other donor atoms (compound 13 and methylimino-bis-N,N′-dioctylacetamide 30) established that compound 13 shows high extraction ability in relation to hard acid metals U (VI), Pu (IV), Nd (III), and Zr (IV) due to the central oxygen donor atom [41].

Compound 30 has a high extraction capacity for soft acid metals Pd (II), Au (III), Hg (II), and Ag (I) and oxonium anions Tc (VII), Re (VII), Mo (VI), and W (VI) due to the central donor nitrogen atom.
The authors of [42] successfully extracted silver (I), palladium (II) and platinum (II) from aqueous solutions using 2,6-bis(4-methoxybenzoyl)-diaminopyridine 31 in chloroform with a more than 99% efficiency. In addition, polymer membranes based on poly(vinyl chloride) impregnated with compound 31 were used for extraction. The percentage of gold and silver extraction with the membranes was more than 96% after 48 h. However, the percentage of desorption of platinum and palladium was low (less than 70%).

Copper (II) was extracted from nitric acid solutions using compound 31 dissolved in chloroform [43]. This provided extraction of 99.13% of copper at a ligand concentration of 0.001 mol dm−3 and a copper (II) concentration of 0.001 mol dm−3. In the opinion of the authors, extraction occurred owing to the copper coordination to the nitrogen atom of the pyridinium ring and to the oxygen atom of the amide group in the ionized enol form, thus giving complex 32.

We can conclude that during the extraction of heavy metals by diamides, the determining factor is the nature of the central donor atom in the molecule, which, according to the HSAB principle, allows the extractant to form strong complexes with some metals and not to form them with others. Due to this fundamental approach, diglycolamides hold great promise for the isolation and separation of toxic, heavy and precious metals in the presence of various impurities.
3. Amino Acids
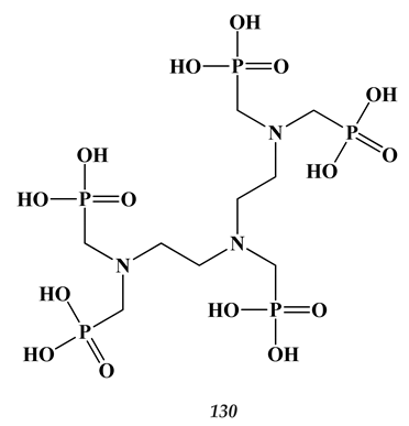
Amino acids, such as ethylenediaminetetraacetic acid (EDTA, compound 33), diethylenetriaminepentaacetic acid (compound 34), nitrilotriacetic acid (compound 35), and (S,S)-ethylenediamine-N,N′-disuccinic acid (compound 36), are widely used for the extraction of heavy metals from soil, since they cause less destruction of the mineral base of the soil compared to inorganic acids.


Heavy Metals
It was shown in [44] that an equal volume of 0.05 mol L−1 EDTA and 0.2 mol L−1 organic acids (citric acid, oxalic acid, and tartaric acid) makes it possible to extract more than 80% of heavy metals (copper, nickel, zinc) from the soil, which is higher compared to pure EDTA. However, the authors do not explain this fact. In addition, the use of mixed extractants reduces cost and secondary environmental pollution (pressure on the environment). The above is supposed to be used for the remediation of contaminated industrial soils. However, the presented technology is quite time consuming. The heavy metals extraction process takes 6 h.
EDTA can be used to extract cadmium, copper, nickel, zinc, lead and calcium from soil. The authors of [45] compared the efficiency of extraction of these metals by EDTA and proteinogenic natural amino acids, and tried to identify the factors that determine the efficiency of metal extraction. The research results show that hydrophobic, nucleophilic and steric properties do not impact the process. However, the functional groups of the side chains play an important role in the extraction of heavy metals. In particular, the effect of hydroxy groups on the side chain was clearly manifested. The advantage of tridentate amino acids over similar bidentate ones has also been shown.
The selection of the optimal conditions for the extraction of lead Pb (II) from the soil was carried out by washing the surface soil of the laterite soil with EDTA [46]. A high extraction efficiency was achieved—89.6%, which is lower than the theoretically calculated 90.8% due to the presence of iron, which also forms complexes with the extractant 33. Nevertheless, the authors of the work [46] were unable to establish whether the extraction of lead is selective compared to other heavy metals present in the soil—zinc, cadmium, and copper, which are also capable of complexation with EDTA. The proposed extraction process is laborious and involves multiple stages.
When using EDTA to separate cadmium, lead, zinc, copper and nickel contained in soil [47], the following sequence of selectivity was established: Cd (II) > Pb (II) ≥ Zn (II) ≥ Cu (II) ≥ Ni (II). The authors propose to isolate heavy metals from lake sediments. Sludge treatment is a rather long process and the average degree of heavy metals extraction reached only 46.4–78.8% after 21 days.
It was found in [48] that EDTA is more effective in removing lead and copper from the soil than cadmium and zinc, which the authors explain by the higher complexing ability of the extractant compared to lead and copper (higher stability constants of complexes with lead and copper). Using 0.07 mol L−1 EDTA, it was possible to remove 94.8% Cu (II), 99.4% Pb (II), and 77.8% Zn (II) from the soil. At the same time, the work did not consider the effect on the extraction compounds Ca (II), Mg (II), Al (III), and Fe (II and III), in the soil which contains much more than heavy metals, on the removal efficiency of target metals.
EDTA can be used to extract molybdenum, nickel, and cobalt from spent hydrodesulfurization catalyst of the oil refining industry [49]. Having established the optimal extraction conditions, the authors of this work extracted 90.22% Mo (IV), 96.71% Co (II), 95.31% Ni (III), and 19.98% Al (III). The extraction of metals was carried out in two stages: the chelation reaction and chemical precipitation.
EDTA was used to extract copper from a spent low-temperature shift catalyst (CuO, ZnO, and Al2O3) [50]. Under optimal process conditions (EDTA concentration 0.5 mol L−1, temperature 100 °C, solid-to-liquid ratio 1:25 (g mL−1), particle size 120 μm and reaction time 4 h), 95% of copper was extracted.
This study demonstrates the possibility to isolate copper by EDTA from a spent catalyst for its recovery and reuse. It remains unclear whether the zinc and aluminum contained in this catalyst can be extracted in this way. In addition, the structure of the copper EDTA complex is presented incorrectly.
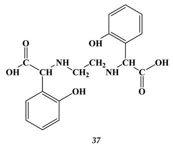
The ability of compounds 33, 34 and ethylenediamine-N,N′-bis(2-hydroxyphenylacetic acid) 37 was studied as a solution of iron (III) and aluminum (III) contained in the soil [51]. It is known that copper (II), manganese (II), and aluminum (III) compete with iron (III). It was found that extractants 33 and 34 form low-stability complexes with iron, and 37 forms more stable complexes with it due to the binding of the metal through the phenolate. Compound 37 was most efficiently extracted for iron and aluminum, and compound 33 for copper, manganese and zinc. It was also found that pH has a stronger effect on the extraction of compounds 33 and 34, compared with compound 37. Selectivity for iron for 37 is higher than for 33 and 34, as evidenced by the highest value of the ratio of iron concentration to the sum of the concentration of all metals in the soil.

Currently, there is considerable interest in the use of magnetic nanoparticles functionalized with chelating agents for the extraction of metals from solutions. Thus, the possibility of functionalization of nanoparticles of magnetite coated with silicon dioxide with compound 34 was investigated [52] to remove potentially hazardous (cadmium, cobalt, and copper) and “non-toxic” (calcium Ca and manganese Mn) metals from solutions. It was found that extractant 33 is capable of extracting metal ions with a fairly high efficiency (more than 70%).
Superparamagnetic nanoparticles based on a magnetite core and a silica shell with an immobilized EDTA derivative [53] were used to quantitatively remove heavy metals Cd (II), Cu (II), Cr (III), and Pb (II) from contaminated media for 15 min, as well as analytical determination of metal ions in wastewater samples. The presented method is accurate and reliable and can be recommended for use in industry.
The work [53] is also interesting because the authors take into account both organic compounds and inorganic ions, which are present in the form of macrocomponents in wastewater and are of decisive importance in the evaluation of adsorbents. Organic substances can form complexes with metals in solution, which reduces the adsorption capacity. Adsorption can be influenced by humic acid containing phenolic (-OH) and carboxyl (-COOH) groups, which can bind heavy metals by complexation or chelation. Nevertheless, it was found that the adsorption of humic acid by nanoparticles was insignificant and did not affect the adsorption of heavy metal ions.
The effect of Ca (II), Mg (II), Fe (III), Na (I), Co (II) and a number of anions on the adsorption and determination of target heavy metal ions in multicomponent solutions has been studied. The results are shown in Table 4.
Table 4.
The effect of coexisting ions on recoveries of determined metal ions (pH = 5.5).
It follows from Table 4 that the cations Na+, Ca2+, Fe3+, and Mg2+ do not have a significant effect on the adsorption of target ions, even though iron and magnesium are capable of forming highly stable complexes with EDTA. The authors explain this phenomenon by the co-deposition of small amounts of Fe3+ and Mg2+ ions with ions of extracted heavy metals. However, the explanation given is not convincing.
To isolate cadmium (II) and lead (II) from agricultural soils using extractants 33 and 34 in 30 min, at pH = 5, the ratio of soil mass/volume of extractant 1:10, 59% Cd and 63% Pb (compound 35), 52% Cd, and 51% Pb (compound 36) were extracted [54]. The authors of the work do not provide explanations of what caused the low efficiency of metal extraction.
In addition, compounds 33 and 34 are ineffective for the simultaneous extraction of heavy metal cations and arsenic metalloid anions present in the soil. This was shown by Swedish scientists [55], who extracted Pb (II), Cd (II), As (V), and Zn (II) using 33, 34 and 35 from a mixture of soil and waste glass taken from a landfilling of the wastes from the glass daily production process. Unfortunately, the extraction efficiency of these metals turned out to be low (no more than 41%). At the same time, the authors of this work do not explain the mechanism of the effect of arsenic on the extraction efficiency.
The problem associated with the presence of arsenic was solved by E.J. Kim et al. [56]. They showed that the addition of reducing agents such as sodium oxalate, ascorbic acid, and sodium dithionite significantly enhances the extraction of both heavy metals Cu (II), Pb (II), Zn (II) and As (V) itself when using the same extractant 33. The efficiency of extraction of As, Cu, Zn and Pb when using a combination of sodium dithionite and compound 33 was approximately 90% in a wide pH range, which is quite satisfactory. The authors of [56] explain the improvement of extraction in the presence of reducing agents by the weakening of the bond strength of metals with soil minerals due to the reduction of metals to lower oxidation states.
Compound 33 can be used for the extraction of heavy metals from green liquor dregs generated during the production of kraft pulp. For example, in [57], using 33, it was possible to achieve 59 wt% Cd (II), 13 wt% Co (II), 62 wt% Cu (II), 3 wt% Mn (II), 12 wt% Ni (II), 43 wt% Pb (II), 16 wt% Zn (II) and less than 1 wt% Ca (II) at ratios of 0.035 g EDTA per 1 g liquor, liquid phase to solid phase 6.25 mL g−1. Unfortunately, the authors of this work do not explain why compound 33 fails to quantitatively extract heavy metals from green liquor dregs.
With all the advantages of compounds 33 and 34, they have a significant drawback—low biodegradability in soil, which is due to the high stability of metal complexes. Therefore, amino acids are often used for the extraction of heavy metals. For example, to remove copper (II), zinc (II) and lead (II) from soil, an equimolar mixture of chelating extractants 33 and 36 can be used [58]. It was found that extractant 36 reduces the stability of metal complexes based on 33 (for example, for complex 33 and Pb (II) logK is 17.9, and for 36 and Pb (II) logK is 12.7) and increases its biodegradability.
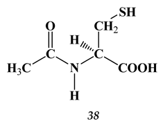
In [59], the extraction of chromium (VI) from soil was accomplished using biodegradable and environmentally safe amino acid, N-acetyl-L-cysteine 38, containing thiol chelating groups.

In comparison with EDTA, a lower concentration of extractant 38 in water is required for chromium (VI) extraction. In particular, 4128 mg kg−1 of EDTA extract and 14.3% of chromium, while in the case of 300 mg kg−1 of compound 38, this value is 65.7% for soil with a pH of 5.5. However, compound 38 is 4-fold more expensive than EDTA.
4. Shiff Bases (Azomethines) and Oximes
In contrast to amino acid-based extractants, Schiff bases and oximes are easily biodegradable, can form stable complexes with almost all metal ions due to the π-acceptor properties of the azomethine nitrogen atom, and have high values of the distribution ratios, which makes this class of compounds promising for creating highly effective chelates [60].
4.1. Actinides and Lanthanides
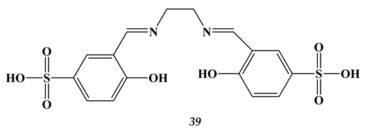
The introduction of water-soluble Schiff bases into the aqueous phase increases the selectivity of separation of actinides and lanthanides contained in spent nuclear fuel and high-level radioactive waste by di-(2-ethylhexyl) phosphoric acid. During the extraction process, the Schiff base predominantly forms a complex with actinides, and di-(2-ethylhexyl) phosphoric acid with lanthanides. For example, the authors of [61] compared the extraction of U (VI), Eu (III), and Np (IV) with a solution of di-(2-ethylhexyl) phosphoric acid in toluene with and without the addition of N,N′-bis (5-sulfonatosalicylidene) ethylenediamine (compound 39) in the aqueous phase.

In the absence of the Schiff base, the lowest values of separation factors Eu (III) and U (VI) (0.2 after 30 min of extraction), Eu (III) and Np (IV) (4 after 30 min of extraction) are observed. Upon the addition of 0.01 mol L−1 of compound 39 to the aqueous phase after 30 min of extraction, the separation factor for Eu/U and Eu/Np was increased to 30 and 230, and after 1.5 h it reaches 210 and 1800, respectively.
Uranium extraction from alkaline leachate of uranium ores is a promising area of research, as uranium is the main raw material of the nuclear industry. The authors of [62] investigated the process of uranium (VI) sorption from aqueous solutions of uranyl sulfate using amidoxime-grafted chitosan magnetic microparticles 40.

The obtained sorbent makes it possible to separate uranium and Eu (III), which is also contained in uranium ores. The selectivity coefficient for uranium (VI) in relation to Eu (III) was high and equal to 14 at pH = 4.9. The sorption and desorption efficiencies of europium with 0.5 mol L−1 HCl were 76% and 100% in one cycle, and for uranium in both cases were close to 99%.
The authors of works [61,62] consider the compounds obtained by them as extractants for the isolation of separate metals from multimetal raw materials. However, the studies carried out are limited to only a few elements; under real conditions, impurities of other ions can significantly affect the extraction results.
Thorium is an indispensable element for various technologies, especially for the peaceful uses of atomic energy. However, thorium occurs in nature in low concentrations, so it is necessary to extract it from nuclear waste.
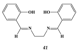
The authors of [63] studied the extraction of thorium (IV) from Th(NO3)4 aqueous solution using Amberlite XAD-4 resin loaded with a tetradentate Schiff base—bis(2-hydroxybenzaldehyde)-1,2-ethylenediimine diaminoethane 41.

It was possible to achieve a quantitative release of thorium at an initial concentration of 20 mg L−1, under optimal conditions, pH = 5, amount of adsorbent 0.1 g, contact time 45 min, and temperature 25 °C. In addition, it was found in the work that the REEs lanthanum (III), cerium (III), samarium (III), europium (III), dysprosium (III), holmium (III) and erbium (III), which are contained in radioactive waste, have no significant effect on thorium adsorption. However, the authors of the work do not give an explanation for this fact.
4.2. Heavy Metals
As mentioned above, the recovery of heavy metals from wastewater is an urgent task. A number of studies were devoted to its solution with the help of chelating azomethines and oximes.
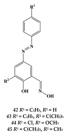
In [64], by condensation of azoaldehyde compounds with hydroxylamine in new ethanol diazo-containing phenolic oximes 42–45, which are capable of extracting copper (II) from sulfate medium at low pH values, were obtained.

A higher extraction efficiency of Cu (II) compared to Ni (II) and Zn (II) was noted. It was found that the efficiency of copper extraction with compound 42 at pH = 1 is approximately 55% and only 30% for compounds 43, 45. Copper extraction efficiency reached 75% only at pH = 3 with compound 45. However, the authors of [64] did not answer the question, whether the mentioned extractants have high selectivity of copper (II) extraction in the presence of zinc (II), cadmium (II), nickel (II), iron (III), cobalt (II), manganese (II), arsenic (V), mercury (II), lead (II) and chromium (III), which, along with copper, can be contained in industrial waste, as well as in ash from municipal solid waste incineration.
During extraction of cobalt (II) from chloride/sulfate solutions by oxime 1-(2-pyridyl) tridecan-1-one (compound 46) in toluene-decanol-1 mixture (9:1 vol./vol.), it was found that the amount of extracted cobalt decreases with increasing acidity of water phase, increases with increasing concentration of extractant 46 and cobalt (II) ions, but does not depend on concentration of chloride ions [65]. At the same time, the explanation of the obtained dependences is not given in the work. The cobalt extraction rate was 90–92% at a chloride ion concentration of more than 1 mol L−1. The paper describes the possibility of selective separation of Co (II) from Ni (II), Zn (II) and Cu (II). However, there are no data on the extraction of Co (II) in the presence of Fe (III) and Mn (II), also contained in laterite ores.

The extraction of nickel (II), zinc (II) and copper (II) from nitric acid solutions with N,N′-bis(salicylidene)ethylenediamine (salen) 47 in chloroform was studied [66].

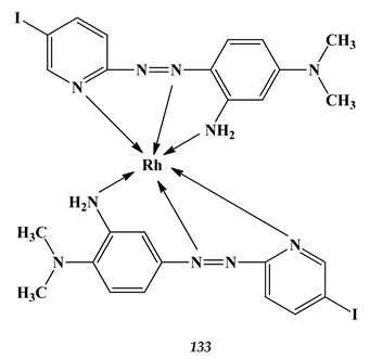
The efficiency of copper extraction was 99.79%, while the zinc and nickel extraction efficiencies were 87.68 and 60.98%, respectively. The authors did not give an explanation for lower extraction efficiency of zinc and nickel compared with copper.
The adsorption capacity of a membrane based on poly(vinyl chloride) containing 20 and 40 wt% compound 47 with respect to these metals was also studied. The adsorption capacity was shown to rapidly increase during the first hour of extraction. In the authors’ opinion, this was due to the large number of accessible active sites for adsorption. It was also noted that an increase in the content of salen by 20% leads to a 10-fold increase in the percentage of sorption. However, the percentage of sorption by a membrane containing 47 was below 50%.
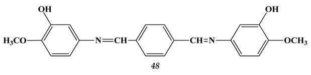
During the extraction of trace amounts of copper, chromium and mercury from the aqueous phase (0.1 mol L−1 KCl), using compound 48 in chloroform as an extractant, it was found that the extraction efficiency of Cr (III) is higher than Cu (II). The extraction of chromium was achieved—more than 90% at pH = 6–7—but Hg (II) could not be isolated under experimental conditions (extraction efficiency less than 1%) [67].

The use of extractant 48 is expected to extract low concentrations (1.5·10−3 mol L−1) of toxic chromium (Cr) and copper (Cu) from industrial wastewater. However, the authors of this work did not consider the effect of trace amounts of arsenic that interfere with extraction.
In [68], 2-pyridylketoximes 46, 49 and 50 were used for cadmium (II) extraction, and the chelate complexes of extractants 46 and 49 with cadmium salts were characterized. In addition, a negative effect of increasing chloride concentration in the aqueous phase on metal extraction was reported.

The authors established the structural formula of the complex between the cadmium ion and the extractant, without aiming at the selection of suitable extraction and separation conditions for the different metals. That said, the optimization of the extraction process is the basis of applied research, so it can be concluded that the work is purely fundamental.
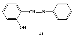
Synergistic extraction can be used to extract cobalt (II) from wastewater using Schiff bases. For example, using a mixture of N-(2-hydroxybenzylidene)-aniline 51 with 1-octanol dissolved in chloroform increases from 15% to 55% extraction efficiency of Co (II) from sulfate medium, while the process occurs without emulsification and third phase formation, compared to pure compound 51 [69].
The authors of this work explain the synergistic effect by the solvation of the central Co (II) ion in the extracted complex by 1-octanol, and the low degree of extraction by the strong interaction of 1-octanol with compound 51.

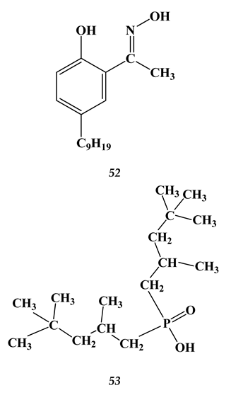
A synergistic effect was also observed for mixtures of extractants based on oximes and organophosphoric acids. When copper (II), zinc (II), nickel (II) and cadmium (II) were extracted and separated from calcium (II) and magnesium (II) by a Mextral 84H extractant (2-hydroxy-5-nonylacetophenone oxime, compound 52) solution with the addition of Cyanex 272 (di-(2,4,4-trimethylpentyl) phosphinic acid, compound 53) in the aliphatic diluent Mextral DT-100, it was found that the addition of Cyanex 272 extractant to Mextral 84H causes synergistic effects for zinc and cadmium and an antagonistic effect for nickel [70].

The extraction mechanism, which is a cationic exchange, is expressed by the authors of this paper with the following Equation (4):
where Maq.2+—metal cation; HxRx and HyLy—Mextral 84H and Cyanex 272, respectively; MRnxLmyH(my+nx−2)—the molecular formula of the extractable complex. However, this mechanism does not explain why there is an antagonistic effect for nickel.
Maq.2+ + nHxRx org + mHyLy org = MRnxLmyH(my+nx−2) org. + 2Haq.+
Quantitative metal re-extraction was achieved with dilute sulfuric acid at a ratio of organic/water phase = 1:1 and a temperature of 40 °C in 1 min. The extraction of copper and nickel reached 100%, zinc 99.5% and cadmium 98.6%, while extraction of calcium and magnesium was only 17.2% and 1.7%, respectively. This process, in which all heavy metals were extracted simultaneously and selectively separated under optimal conditions, is fully applicable to the separation of copper, zinc, nickel and cadmium from calcium and magnesium in concentrated wastewater [70].
A significant synergistic effect was observed in the extraction of nickel (II) with compound 52 mixed with di-(2-ethylhexyl) phosphoric acid [71]. The synergistic coefficient reached 3.4, which is explained by the interaction of the phosphorous-containing extractant with nickel and oxime to form the octahedral Ni(H2A2L2) complex 54.

The mechanism of nickel extraction with a mixture of extractants is described by the following Equation (5):
where H2A2—di-(2-ethylhexyl) phosphoric acid and HL—oxime 52.
Niaq.2+ + y/2 H2A2 org. + z HLorg. = Ni(Hy+z−2AyLz)org. + 2Haq.+
The authors explain the synergistic effect by the formation of a more stable and hydrophobic complex compared to compound 52.
Pyridine oxime-ethers can be used for the separation of heavy metals. It is known, that to extract zinc (II) from spent pickling liquor, which is formed at a steel pickling line in steel rolling mills, it is necessary to separate zinc and iron. For example, N-decoxy-1-(pyridin-3-yl)ethaneimine 55 can selectively separate Zn (II) and Fe (III) in chloride media. The authors of [72] found that the separation factor βZn/Fe for extractant 55 is 90-fold higher than that of TBP.
To evaluate the selectivity, the authors performed Zn (II) extraction in the presence of Fe (III). The separation factor under different conditions was between 58 and 80. Thus, the authors describe extractant 55 as satisfactory for the separation of zinc and iron. One can agree with this conclusion, because TBP, used in the metallurgical industry for the separation of zinc and iron, has a much lower separation factor.

Oximes are also suitable for microfluidic extraction. For example, oxime LIX 984N, a mixture of 5-nonylsalicylaldoxime 56 and compound 52, was used for the separation of Cu2+ and Co2+ ions. It was found that at optimum operating parameters (initial pH 2.5, volume flow rate 0.035 mL min−1 and extractant concentration 17.36%), the copper extraction rate could reach 96.73% with the low cobalt extraction rate (2.41%) [73]. The result shows that the microfluidic method can provide a higher copper extraction rate, a shorter equilibrium setting time, fewer extraction stages and higher copper and cobalt separation factors compared to other methods such as conventional extraction and emulsion liquid membranes.

Microfluidic extraction of copper from sulfate solution containing Cu (II), Fe (III) and Zn (II) was also carried out using DZ988N extractant, which is a mixture of 56 and 5-dodecylsalicylaldoxime 57 (volume ratio of 1:1). The copper extraction efficiency was 99% in one step. The separation factors, βCu/Fe and βCu/Zn, reached maximum values of 644 and 7417 at pH 1.96, extractant concentration 15 vol.% in aliphatic diluent Mextral DT-100, at flow rate 15 mL min−1 [74].

A drawback of the works [73,74] is the lack of explanation for the high selectivity of copper extraction.
The oxime Mextral 984H, which is a mixture of compounds 56 and 52, selectively extracts vanadium (V) from vanadium-bearing shale leachate in the presence of iron Fe (III), aluminum Al (III), magnesium Mg (II), potassium K (I) and calcium Ca (II) impurities. In [75], the efficiency of vanadium (V) extraction by Mextral 984H dissolved in sulfonated kerosene was 90%, while the extraction efficiency for impurities was less than 4% at a temperature of 25 °C, extraction time of 12 min, filtrate pH of 0.53, extractant concentration of 20 vol. % and A/O ratio of 2:1. The authors also studied the extraction mechanism and found that vanadium is coordinated to the hydroxyl oxygen atom and oxime nitrogen atom [75].
4.3. Noble Metals
Compound 47 dissolved in chloroform was used to extract noble metals such as palladium (II), silver (I), platinum (II) and gold (III) from aqueous solutions [76]. Compound 47 was shown to be a promising extractant for platinum (extraction efficiency above 94%), palladium, silver (extraction efficiency above 96%) and gold (above 99%) from polymetallic solutions. However, when polymer membranes containing compound 46 were used, the percentage of sorption of noble metals decreased after 24 h (down to 93% for palladium, 84% for gold, 81% for silver and 48% for platinum). The authors gave no explanation for this fact.
Commercial-grade extractants LIX 84 (compound 52) and LIX 860-I (compound 57), dissolved in toluene, can extract up to 99% Pd (II) from nitric acid media in the presence of Cu (II), which is due to the stability of PdL2 complexes in the organic phase [77]. The quantitative extraction of palladium requires a higher concentration of extractant 57 (3.4 mmol L−1) compared to 52 (1.4 mmol L−1). Additionally, the extraction constants for oxime 52 are higher than for 57; therefore, LIX 84 (52) represents a significant prospect for the extraction of palladium from spent automotive catalysts.
It can be concluded that Schiff bases and oximes are promising compounds for the extraction of thorium from nuclear waste and uranium from uranium ores in the presence of lanthanide impurities, as well as low concentrations of heavy metals and noble metals from industrial wastewater. The separation of heavy metals can also be achieved.
The disadvantage of this class of extractants is the difficulty of quantitative extraction of heavy metals from industrial wastewater. Mixtures of oximes with organophosphorous compounds can be used for this purpose.
5. Crown Ethers
Macrocyclic polyethers, crown ethers, due to their defined ring size and ion–dipole interactions, are able to efficiently extract specific metals, such as lithium, strontium, palladium, as well as seventh group elements present in high-level waste, such as rhenium and technetium.
5.1. Lithium
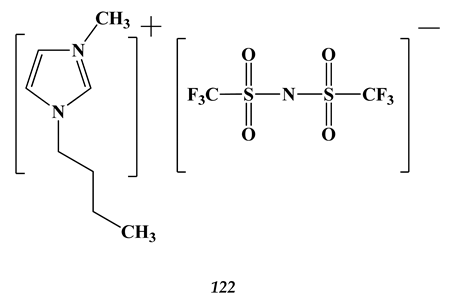
A team of researchers from South Korea has developed a simple and environmentally friendly scheme for the liquid extraction of lithium cations (Li+) from seawater in the presence of sodium, potassium and magnesium ions [78]. The extractant used was a dibenzo-14-crown-4 ether with a long lipophilic C18-alkyl chain and a side carboxylic group (compound 58), diluted with ionic liquid CYPHOSIL 109 [(C6H13)3(C14H29)P]+[(CF3SO2)2N]−. The quantitative separation of lithium was found to be quite fast, within 10 min, and the extractant could be easily regenerated with dilute hydrochloric acid. Therefore, compound 58 has great potential for the extraction of lithium ions from brine or seawater. However, the need to use expensive ionic liquids as diluents is likely to limit the industrial application of the proposed method.

Benzo-15-crown-5 ether 59 in dichloromethane (concentration 0.05 mol L−1) can be used for the selective extraction of Li+ from spent lithium-ion batteries. At pH = 6.0, a temperature of 30 °C and an extraction time of 2 h, the extraction degree of Li+ was 37%, which is significantly higher than for impurity ions Ni (II) (extraction degree 5.18%), Co (II) and Mn (II) (extraction degree close to zero) [79]. Unfortunately, high-purity lithium could not be obtained by this method.

5.2. Heavy Metals and Strontium
The extraction of lead (II) and cadmium (II) from nitric acid solutions with benzo-18-crown-6 ether 60 in benzene was studied [80]. The extraction properties of compound 60 were evaluated by determining the extraction constants of these metals. The logKex values were more than 7 for various Cd/Pb ratios. When the Cd/Pb ratio increased, logKex decreased. In particular, when Cd/Pb was 1.06, logKex was 7.143, while an increase in the Cd/Pb ratio to 178 resulted in a logKex of 7.06.

However, the authors of [80] did not present distribution ratios or separation factors, which are the key characteristics of extraction processes.
The isotope 90Sr is among the most dangerous radionuclides, as it can accumulate in bone tissue on a par with calcium and lead to radiation damage of surrounding tissues. Therefore, an important goal is to develop an effective method for the extraction of strontium from high-level waste.
In [81], 4,4′(5′)-di-tret-butylcyclohexano-18-crown-6 ether (compound 61) was used for Sr (II) extraction from nitric acid solution. The authors proposed a method consisting in passing the nitric acid solution through a chromatographic column (compound 61 in 1-octanol on an inert polymeric carrier) is simple, economical and allows the analysis of a large volume of samples, but slower compared to extraction with di-(2-ethylhexyl) phosphoric acid in toluene in a liquid–liquid system. The extraction rate of strontium by the developed method was more than 60%.
This method can be used for the extraction of the long-lived radioactive strontium isotope 90Sr from high-level waste, as well as for the separation of parent 90Sr and its daughter isotope 90Y (used in radiation therapy).

The extraction of Sr (II) from nitric acid media using dicyclohexano-18-crown-6 ether 62 dissolved both in common organic solvents and in ionic liquids 3, 63, 64 was studied [82]. The dependence of Sr (II) extraction degree on concentrations of nitric acid, crown ether and initial concentration of strontium was determined. It was found that a shorter carbon chain in the cations of ionic liquids contributed to an increase in the efficiency of metal extraction (the distribution ratio increased from 0.3 for ionic liquid 63 to 2.5 for ionic liquid 64 at a concentration of nitric acid 1 mol L−1). The highest distribution ratio of 3.9 was achieved using a diluent mixture of n-octanol and acetylene tetrachloride (50:50 vol.%) at a nitric acid concentration of 1 mol L−1. However, the authors of the present work provide no explanation for this fact.


The use of 62 in a mixture of acetylene tetrachloride with n-octanol has great potential for industrial applications for the recovery of radioactive strontium from spent nuclear fuel, in contrast to the much more expensive ionic liquids.
A new bis (crown ether) 65 was synthesized from carboxyl-containing crown ethers and 4,4′-dihydroxy azobenzene by the authors of [83]. Its ability to extract alkali, alkaline earth and transition metal ions was considered. Interestingly, the rate of extraction of metal ions by compound 65 after light irradiation was slightly higher than under natural light. The authors attribute this to the formation of a more compact complex due to the transition from the trans-configuration to the cis-configuration.
For example, when exposed to UV light, the extractant is highly selective for Sr (II) as a result of the formation of a sandwich complex with metal ions, which indicates its promising potential application for the selective extraction of strontium ions.

However, a common disadvantage of the works [80,81,82] is the lack of data on the influence of other radionuclide impurities on 90Sr extraction.
5.3. Elements of 7th Group of the Periodic Table of Elements
Significant amounts of rhenium (Re) are present in waste materials from the petrochemical, aerospace and nuclear fuel industries, so the extraction of rhenium from secondary raw materials is promising for technologies to produce this rare element.
Using dicyclohexano-18-crown-6 ether 62 in chloroform in the presence of high concentrations of uranium (VI), rhenium (VII) was extracted from nitric acid solution in the form of perrhenate ions ReO4− [84].
The highest extraction efficiency of ReO4− (58%) was observed at a nitric acid concentration of 3 mol L−1 and then decreased. This is explained by the extraction mechanism, which is an anion exchange involving the protonated form of the crown ether (6):
ReO4−aq. + [NO3−(H3O+·62)]org. = [ReO4− (H3O+·62)]org. + NO3−aq.
However, the extraction efficiency of the perrenate ions was practically independent of the uranium concentration when the nitric acid concentration was approximately 3 mol L−1 [84]. The authors of the present work provide no explanation for this fact. Separation of rhenium (VII) from impurities of other radionuclides was also not considered.
The treatment of high-level waste produces low-level waste that is treated with alkali for storage in tanks. Extraction of TcO4− from alkaline waste is difficult due to the presence of competing NO3− and OH− ions [85]. Therefore, it is necessary to develop an effective method of extraction of long-lived radionuclide 99Tc from alkaline waste. This is due to the fact that 99Tc has a high mobility in soil and is easily transferred from it to living organisms.
At a high-level waste recycling plant, di-tret-butyl-dibenzo-18-crown-6 ether 66 dissolved in a mixture of isodecyl alcohol and n-dodecane was used to selectively isolate technetium in the form of pertechnetate ions TcO4− from wastewater [86]. Extractant 66 is capable of forming Na+·crown-ether·TcO4−, which was established experimentally by the increase in distribution ratio DTc with increasing concentration of sodium ion. Therefore, according to the authors, there is a preferential extraction by crown ether TcO4− in the presence of competing anions.

The separation factor for the mentioned extraction system was more than 22 for technetium with respect to Cs2+ (22.5), Sr2+ (112.5), RuO4− (450). The distribution ratio for TcO4− (4.5) is much higher than the distribution ratios for Cs2+ (0.2), Sr2+ (0.04) and RuO4− (0.01).
Thus, crown ether 66 is a suitable compound for the recovery of technetium from alkaline low-level waste.
5.4. Noble Metals
It was found in [87] that the logarithms of silver Ag (I) extraction constants from nitric acid, perchlorate and picrate solutions with benzo-18-crown-6 ether 60 dissolved in 1,2-dichloroethane were 1.04, 2.99 and 5.31, respectively. Hence, it is appropriate to extract silver with crown ether 60 from picrate media. However, the authors did not report data on the selectivity of the extraction of silver, i.e., separation factors of silver from other noble metals.
To extract palladium (II) and platinum (II) from spent automobile catalyst leachate and separate these metals, dioxa-dithiacrown ether derivatives 67–69 in toluene were tested [88].
High separation factors of palladium and platinum were observed (on the order of 104–105), with the highest separation ratio observed for compound 67. High Pd (II) purity and 99.5% extraction efficiency were achieved using crown ether 67 in toluene.

At the same time, competing metal ions (cerium (III), aluminum (III), iron (III), nickel (II), manganese (II), and chromium (III)) did not impede palladium extraction, as predominantly palladium binds to “soft” ligands containing the S-heteroatom.
Crown ethers are therefore of interest for the extraction and separation of radionuclides from spent nuclear fuel. Crown ethers make it possible to separate similar elements, such as noble metals. However, crown ethers also have a number of drawbacks. These include difficult synthesis, very high cost, difficulty in regenerating the extractant, and low solubility in organic solvents.
6. Calixarenes
Along with crown ethers, another group of macrocyclic compounds, calixarenes, obtained by condensation of p-alkylphenol and formaldehyde, have recently attracted considerable research attention. This class of compounds is known for its excellent performance properties, such as low toxicity, resistance to heating and various types of radiation.
6.1. Lanthanides and Actinides
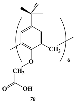
The process of europium (III) and neodymium (III) extraction by carboxyl-containing calix[6] arene 70 was studied by a group of Chinese scientists led by X. Lu [89].

Carboxyl groups, due to cation exchange, increased the extraction efficiency of metal ions from aqueous solutions. The maximum extraction of europium (III) and neodymium (III) was 95% and 70%, respectively, at an extractant concentration of 0.1·10−3 mol L−1. A higher extraction of europium and neodymium could not be achieved. Unfortunately, the authors do not provide data regarding the study of the influence of Y (III), Dy (III), Tb (III) and other REEs on europium and neodymium extraction. In addition, the authors do not give an explanation for the lower degree of extraction of neodymium compared to europium.
In [90], the extraction ability of functionalized calix[4] arenes 71–75 and their non-macrocyclic analogues was compared on the example of Eu (III) and Am (III), which are part of highly active liquid wastes. Extraction was carried out both from alkaline and nitric acid solutions using extractants dissolved in 1-nitro-3-(trifluoromethyl)benzene. As a result, it was concluded that calixarenes extract americium and europium more efficiently than their non-macrocyclic counterparts. For example, distribution ratio DAm, max for extractant 74 is 2 and for extractant 76 is 0.067. Distribution ratio DEu, max for extractant 74 is 1.7 and for extractant 76 is 0.0335.

It is also reported that the functionalization of p-tret-butylcalix[4]arene by phosphonate groups increases the distribution ratios of the Am and Eu (extraction efficiency), but has little effect on the separation factors βAm/Eu (extraction selectivity). The extraction efficiency for phosphorylated calixarenes 72 and 73 was higher from nitric acid solutions, while the selectivity was higher in alkaline solutions. Calix[4]arenes with pyridine ring 71 showed the highest selectivity with a separation factor βAm/Eu exceeding 3 at pH = 12–13.
At the same time, it should be noted that the presented calixarenes are inferior in efficiency and selectivity to the extraction of americium from alkaline solutions with the known extractant–2-hydroxy-5-alkylbenzyldiethanolamine 77.

The extraction behavior of lanthanides, except for promethium Pm (III), from nitric acid medium with calix[4]arene tetraphosphonic acid 78 in chloroform has been considered [91]. It has been observed that the extraction of REEs decreases with increasing nitric acid concentration. For example, the extraction rate of dysprosium (III) decreased from 99.9% at 0.5 mol L−1 HNO3 to 17.5% at 1.1 mol L−1 HNO3. It was also found that heavy rare earth ions are better extracted than light rare earth ions and are arranged in the following order: Lu3+ > Yb3+ > Tm3+ > Er3+ > Ho3+ > Dy3+ > Tb3+ > Gd3+ > Eu3+ > Sm3+ > Nd3+ > Pr3+ > Ce3+ > La3+.

The authors explain this extraction sequence by HSAB theory, namely, the stronger bond between the extractant and heavy REEs compared to light REEs.
However, the authors of [91] did not explain why they extracted all lanthanides except Pm (III).
6.2. Noble Metals
Calixarenes can be used for fast and selective extraction of noble and heavy metal ions from ore leaching products and industrial wastewater by microfluidic and liquid extraction.
The extraction of silver (I) from aqueous solutions by thiacalix[4]monocrown ethers 79–87 was reported [92].


The best efficiency of silver extraction (61%) was found for thiacalix[4]monocrown ether 81. For other compounds, the efficiency of metal extraction was less than 40%. Thus, thiacalix[4]monocrown ethers 79–87 are poor extractants for silver (I).
Nevertheless, the authors of [92] studied the extraction mechanism and found that the silver coordination to thiacalix[4]monocrown ethers 79–81 involves the sulfur atom, the phenolic oxygen atom and two crown ether oxygen atoms.
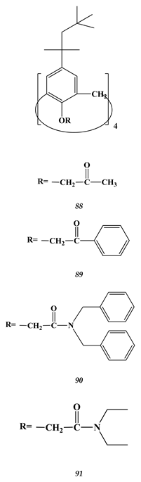
The authors of [93] reviewed extraction of silver Ag (I) from nitric acid with the help of a number of p-tret-octylcalix[4]arenes 88–91 diluted with chloroform. The difference of extraction ability of keto-containing and amide-containing p-tret-octylcalix[4]arenes was revealed to be due to the difference in interfacial activity at the chloroform–nitric acid interface. In particular, the interfacial surface tension of amide derivatives 90 and 91 sharply decreased with increasing extractant concentration and the extraction efficiency of Ag (I) was extremely high compared to that of other extractants. This fact is explained by the ability of the extractant to adsorb at the liquid–liquid interface due to the high polarity of the amide group. Unfortunately, the authors do not provide data on the separation of silver (I), gold (III), palladium (II), and platinum (IV) contained in secondary waste from the production of electronic devices, catalysts and jewelry.
It is not clear from the work why chloroform was used as the solvent. From a technological point of view, it is not very convenient as it is very volatile, toxic and can react with silver salts.

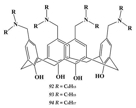
High extraction ability with respect to Pd (II) and Pt (IV) ions was found during the extraction of metals from leaching solutions of car catalysts in dialkylaminomethylcalix[4]arenes 92, 93 and 94 dissolved in saturated hydrocarbons [94,95].

The extraction efficiencies for these compounds were 94.2%, 93.0%, and 97.7% in the case of palladium and 91.7%, 94.0%, and 92.5% for platinum [94]. As a result, palladium and platinum were extracted with 93.4% and 97.3% efficiency, respectively, in five extraction/re-extraction cycles using p-di-n-octylaminomethylcalix[4]arene 94 in kerosene/1-decanol diluent mixture [95].
The mechanism of metal extraction using compounds 92–94 was described in [94]. The mechanism involves partial extraction of HCl molecules by amino fragments of calixarenes (7) followed by exchange of Cl− ions for [PdCl4]2− (8) or [PtCl6]2− (9).
Extractant + 2 HCl = (Extractant ·2H)2+ + 2Cl−
(Extractant ·2H)2+·2Cl− + [PdCl4]2− = [(Extractant ·2H)2+·PdCl42−] + 2Cl−
(Extractant ·2H)2+·2Cl− + [PtCl6]2− = [(Extractant ·2H)2+·PtCl62−] + 2Cl−
The impurities in the leaching solution were Rh (III), Zr (IV), Ce (III), Ba (II), Al (III), La (III), and Y (III). The efficiency of impurity extraction was less than 0.01%. Consequently, amino calixarenes with long hydrocarbon chains at the nitrogen atom are promising compounds for the extraction of platinum group metals from secondary raw materials.
6.3. Heavy Metals
The extraction of lead (II) with 25,26,27,28-tetrakis(N,N-diethylamino- carbonylmethoxy)-5,11,17,23-tetrakis(1,1,3,3-tetramethylbutyl)calix[4]arene (compound 95) in chloroform from nitric acid media in a microfluidic reactor was studied [96]. The extractant showed very high selectivity for Pb (II) in the presence of Fe (III), Zn (II), Cu (II), Ni (II) and Co (II) with concentrations hundreds of times higher than lead. The authors suggest that this fact is due to the formation of complex 82 in the organic phase, but do not explain why the complex does not form with other metals. At the same time, complex 96 itself has not been isolated and studied.
The use of a microfluidic system reduced the extraction and re-extraction times to 2 s, which were initially 1.5 and 24 h, respectively. It is intended to use this development for the rapid removal of lead from industrial wastewater by constructing a large-scale reactor.

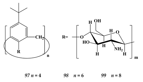
The use of calix[n]arenes with chitosan fragments 97–99 (R = -CS or -OH) dissolved in chloroform allows the extraction of Hg (II) from industrial wastewater with efficiencies of 89.46% (extractant 97), 98.96% (extractant 98) и 97.85% (extractant 99) [97].

However, in comparison with Hg (II), the extraction efficiency of these rings for other metals was low: 51% for Fe (III), 83% for Cd (II), 56% for Pb (II), 49% for La (III), 54% for Ce (III), and 52% for Eu (III). However, the authors do not explain why this is the case.
6.4. Strontium
Of particular interest are calix[4]arenes containing crown ethers in their structure, which allows for the efficient isolation of certain metals. For example, by using calix[4]arene-crown-6 ether 100, it was possible to isolate strontium (Sr) from nitrate medium with high efficiency (the value of the distribution ratio DSr reached 120).
When the process was carried out using ionic liquid 101 and in n-dodecane, it was found that the “anion exchange” mechanism prevails in the ionic liquid and the “solvation” mechanism prevails in n-dodecane [98].


This is due to the formation of a neutral metal–extractant complex in n-dodecane (10) and an ionic–cationic (11) or anionic (12) complex in the ionic liquid due to its ionic nature:
Sr2+aq. + 2NO3−aq. + m100 n-dodecane = Sr(NO3)2·m100org.
Sr2+aq. + nNO3−aq. = m100IL + (2-n)Py+IL = [Sr(NO3)n·m100]2−nIL + (2-n)Py+aq.
(n = 2)
(n = 2)
Sr2+aq. + nNO3−aq. = m100IL + (n-2)NTf −2IL = [Sr(NO3)n·m100]n−2IL + (n-2)NTf −2aq
(n = 2)
(n = 2)
In addition, it was found that the maximum value of the distribution ratio of Sr (II) in the ionic liquid is 5-fold higher than in n-dodecane. This is explained by the polar nature of the ionic liquid. It was noted that with changing the concentration of 1-ethyl-2-methylpyridinium cation the values of the strontium distribution ratio did not change, which evidences that the cation was not involved in the complex formation. Consequently, the cation exchange mechanism is not predominant. A decrease in the distribution ratio with increasing concentration of NTf2− anion was observed; therefore, the anion is transferred to the aqueous phase during the extraction process and the anion exchange mechanism prevails. The authors propose to use the 100 + 101 extraction system for the extraction of long-lived radionuclides, which are products of 235U, nuclear fission, from high-level nuclear waste. However, the authors of the work studied the extraction of the radionuclide 90Sr in the absence of impurities.
The disadvantages of calixarenes are their limited solubility in organic solvents, which does not allow achieving a high concentration of extractant and high extraction efficiency. Although it is possible to increase the solubility with various additives, this leads to additional material costs.
7. Phenanthroline Derivatives
Phenanthroline is a fused heterocyclic compound capable of coordinating metals owing to the lone pairs of electrons at nitrogen atoms. However, the coordinating action of nitrogen atoms is insufficient for metal extraction. In addition, the selectivity of phenanthroline to various ions is moderate. Therefore, additional functional groups are introduced into the phenanthroline molecule, thus providing for efficient extraction and separation of lanthanides, actinides, and some precious metals.
7.1. Actinides and Lanthanides
The extraction behaviors of phenanthroline (102), bipyridine (103), and pyridine (104) derivatives towards Am (III) and Eu (III) dissolved in highly concentrated nitric acid solutions were compared [99]. 3-Nitrobenzotrifluoride was used as the diluent.

Among the tested ligands, compound 102 showed the highest selectivity to americium, with the Am (III) and Eu (III) separation factors being 12, while for compounds 103 and 104, these factors were 1.1 and 0.5, respectively. This result was attributed to the higher affinity of trivalent actinides for the rigid 1,10-phenanthroline core.
The other two phenanthroline derivatives, tetrabutyl (1,10-phenanthroline-2,9-diyl)phosphonate 105 and tetraethyl (1,10-phenanthroline-2,9-diyl)phosphonate 106, selectively extract Am (III) from a highly acidic 3 mol L−1 HNO3 solution [100,101]. The distribution ratio of Am (III) was an order of magnitude higher than that of Eu (III): more than 100 for extractant 104 and less than 20 for extractant 106, respectively.

The higher distribution ratio obtained for extractant 105 was attributed to the fact that compound 105 contains stronger electron-donating groups than 106.
Additionally, using the dependence DAm(III) = f(log[extractant]), the authors established that for extractant 105 in the loaded organic phase, the 2:1 metal–ligand complex predominates, while in the case of extractant 106, the predominant species is the 1:1 metal–ligand complex. Hence, the mechanisms of americium(III) extraction with structurally related compounds 105 and 106 are different.
In [102], a number of tetradentate ligands, 4,7-dichloro-1,10-phenanthroline-2,9-dicarboxylic acid diamides (compounds 107–114), were prepared. It was found that these compounds as solutions in 3-nitrobenzotrifluoride show high selectivity in the separation of americium (III) and lanthanum (III), or americium (III) and europium (III). According to HSAB, these ligands contain two types of coordination sites, hard carbonyl oxygen atoms and soft phenanthroline nitrogen atoms. Being moderately strong Brønsted bases and strong Lewis bases, compounds 107–114 can efficiently bind to metal cations in highly acidic media and form stable metal complexes soluble in polar organic solvents.

The extraction capacity and selectivity of ligands towards americium (III) were found to decrease on going from 107 to 114. The decrease in the extraction efficiency for compound 112 in comparison with 107 or 108 was attributed to the fact that the amide groups in the crystals of 112 are located in the anti-periplanar position, while in the crystals of 107 and 108, they are in the periplanar position. Additionally, in the authorsʹ opinion, high barriers for the rotation around the phenanthroline-CO bonds in 112 and 113 contributed to the decrease in the extraction capacity of diamides 112 and 113 in comparison with diamides 107 and 108.
The separation of americium Am (III) and curium Cm (III) from europium Eu (III) can be accomplished using 2,9-bis(1-(2-ethylhexyl)-1H-1,2,3-triazol-4-yl)-1,10-phenanthroline 115 diluted with n-octanol or with the [A336][NO3] ionic liquid [103].

It was found that in n-octanol, selective extraction with 115 is possible only in the presence of 2-bromohexanoic acid as a synergistic agent; the separation factor of Am (III) and Eu (III) is thus more than 200. For extraction in the [A336][NO3] ionic liquid, there is no need to use a synergistic agent, but the americium/europium and americium/curium separation factors are markedly lower, 70 and 1.9–2.2, respectively.
Drawbacks of extractant 115 are the slow extraction rate and formation of a precipitate upon contact between the organic phase and the highly acidic aqueous phase; therefore, extraction can be carried out only from aqueous phases with low acidity (pH = 2–3). In the authorsʹ opinion, this is due to protonation of the triazole ring nitrogen atoms followed by formation of intermolecular hydrogen bonds. Thus, compound 115 cannot be used in continuous extraction processes.
Three tetradentate extractants 116–118 showed high efficiency in the extraction of uranium (VI) (as uranyl ions UO22+) from nitric acid solutions; the compounds were found to be applicable for the recovery of actinides from nuclear waste [104]. The UO22+ distribution ratios for compounds 116, 117, and 118 were 118, 92, and 90, respectively.

However, compound 119 with an ethyl group at the amide nitrogen showed a poor extraction capacity. This result was attributed [104] to the fact that the short alkyl chain hampers the ligand dissolution in the organic solvent (1-(trifluoromethyl)-3-nitrobenzene). It was also noted that compound 116 is the most promising extractant for uranium (VI). The authors attributed this result to the steric effect of long alkyl chains, which weaken the coordination of the uranyl ion and decrease the stability constant of the uranyl ion complex.

Further, the authors indicated that one ligand binds one uranyl ion via two amide oxygen atoms and two phenanthroline nitrogen atoms. Subsequently, the authors plan to study the radiation stability of ligands 116–118.
N,N′-Diethyl-N,N′-ditolyl-2,9-diamide-1,10-phenanthroline 120 dissolved in 1-(trifluoromethyl)-3-nitrobenzene was used to separate actinides and lanthanides in a nitric acid solution [105]. It was found that compound 120 selectively extracts UO22+ over a broad range of aqueous-phase acidities.

The distribution ratio for UO22+ was more than 300, and the recovery amounted to 99.4%. Meanwhile, trivalent lanthanides (La, Pr, Yb, Nd, Sm, Ce, Gd, Dy, Eu, and Tb) were not extracted from nitric acid solutions. In the opinion of the authors, the nitrogen atoms of the phenanthroline moiety provide for fast and thermodynamically favorable complex formation with the uranyl ion UO22+, which is due to the higher effective charge and ionic potential of the uranyl ion in comparison with the lanthanide ions. Quantitative (100%) back extraction of UO22+ was performed in one stage with a 5% aqueous solution of Na2CO3.
7.2. Palladium
Phenanthroline-based compounds form stable complexes with palladium ions and can selectively extract palladium from aqueous solutions. The extraction of palladium from nitric acid solutions with compound 120 dissolved in 3-nitrobenzotrifluoride was studied in [106]. In the opinion of the authors, compound 120 would be suitable for the extraction of Pd (II) from high-level liquid waste.
The extraction equilibrium was attained in 30 min, being indicative of the fast extraction rate. The highest distribution ratio was approximately 102.
Additionally, the extractant was found to be reusable for 10 extraction–back extraction cycles, which is a substantial advantage over the other extractants.
Furthermore, unlike dialkylamides, extractants based on phenanthroline have a higher affinity for actinides owing to the presence of additional coordination sites (nitrogen atoms).
However, the need to often use specific expensive solvents, laborious synthesis, and high cost of the phenanthroline derivatives prevent their use on an industrial scale.
8. Other Chelating Extractants
8.1. Lanthanides and Actinides
Polydentate neutral and acidic phosphorus-containing compounds are promising reagents for the extraction of neodymium (III) from nitric acid solutions and for separation of neodymium from light and heavy lanthanides.
The authors of [107] described extraction of neodymium (III) from a nitric acid solution using a polymeric sorbent based on styrene-divinylbenzene copolymer impregnated with bidentate phosphine oxide 121 and ionic liquid 122.


The sorbent containing 40% of a 121 + 122 mixture at a 121:122 molar ratio of 2:1 (nitric acid concentration not higher than 0.01 mol L−1) was found to be most efficient. The extraction efficiency with this sorbent was higher than that attained with the sorbent impregnated with only compound 121 or only ionic liquid 122. The synergistic action of ionic liquid 122 was attributed to the replacement of nitrate anion by more hydrophobic Tf2N− anion in the extracted neodymium complex.
It was also noted that neodymium is more easily separated from heavy than from light lanthanides. In particular, the β(La/Nd), β(Dy/Nd) and β(Tm/Nd) separation factors were 1.03, 1.15 and 1.30, respectively. The authors explained this fact by higher stability of complexes with heavy lanthanides than with light ones.
In the opinion of the authors, the mechanism of lanthanide extraction with a 121 + 122 mixture can be described by the Equation (13):
where s is the solvate number, Ln is lanthanide, and (a) and (o) are the aqueous and organic phases, respectively.
Ln3+(a) + s121(o) + [Cnmim][Tf+2N]−(o) = Ln121s(Tf2N)3(o) + 3[Cnmim]+(a)
Polyamines are promising extractants for lanthanides from scraps of electrical and electronic equipment. For example, lanthanum (III) and neodymium (III) extraction with a sorbent based on montmorillonite clay impregnated with pentaethylenehexamine 123 has been studied [108].

The authors proposed three sorption mechanisms: ion exchange, surface adsorption and coordination to the amino groups of compound 123. It was also noted that the amount of captured ions was higher for lanthanum than for neodymium, with the starting ion content being 0.5–2.0 mmol g−1. When the content of ions was 0.5 mmol g−1, no statistically significant difference between the uptakes of these metals was observed. However, no explanation for this fact is given in the publication [108].
Spent nuclear fuel contains radioactive actinides, in particular radioactive plutonium; therefore, it is necessary to develop efficient extractants and fluorescent sensors for Pu extraction and detection in spent fuel.
In [109], the ability to bind Pu (IV) and PuO2 (VI) in water was investigated for six tridentate N-donor ligands 124–129.


It was ascertained that the nitrogen-PuO2 (VI) bonds are longer than the nitrogen-Pu (IV) bonds. The authors attributed this to weaker interaction between plutonium and nitrogen caused by the slight positive charge on the central ion of PuO22+.
It was noted that among ligands 124–129, the most stable complex with Pu (IV) and PuO2 (VI) is formed with 129; this complex is characterized by the highest bond energy, indicating that coordination to the pyridine nitrogen atom ensures high stability of complexes. Thus, ligand 129 is a promising compound for plutonium (IV) extraction from aqueous solutions.
Unfortunately, the authors of [109] give no explanation for the lower stability of Pu (IV) and PuO2 (VI) complexes with ligands 127 and 128, which are structurally similar to compound 129.
8.2. Heavy Metals
Direct extraction of heavy metals (mercury, lead, cadmium, nickel, etc.) from water samples is a challenging task, which is due to low concentration of the metals in water; therefore, instrumental determination of heavy metals should be preceded by extraction and preconcentration.
Extraction of trace amounts of mercury (II) from wastewater with a hybrid organic-inorganic material, polyaniline-modified molybdenum disulfide (MoS2) nanosheets, was investigated [110]. The adsorbent (0.25 g) provided extraction of 100% of mercury (at a mercury concentration of 100 mg L−1). The adsorption capacity of the adsorbent was 240 mg g−1, which is comparable with the previously studied adsorbents, for example, Fe3O4@SiO2SH.
The mechanism of adsorption at pH = 6.0, associated with chelation of mercury with sulfur ions on the surface of the hybrid material, was described.
Thus, the developed material can be used to monitor the content of mercury in water samples.
The extraction of heavy metals, that is, lead (II), copper (II) and cadmium (II), was performed using cellulose nanofibers covalently functionalized with diethylenetriamine penta(methylene phosphonic acid) 130 [111]. The highest adsorption capacity (180.3 mg g−1 for lead, 76.2 mg g−1 for copper and 103.4 mg g−1 for cadmium) were observed at pH = 6; this was attributed to favorable interaction between the indicated metal ions (soft acids) and groups of phosphonic acids (soft bases). The lower adsorption capacities observed for low pH were attributed to protonation of functional groups and positive surface charges. This material showed low limits of detection of copper, lead and cadmium in trace amounts (0.03–0.05 μg L−1) and can be used to determine these metals in environmental water samples.

Cadmium magnetic ion-imprinted polymer MIIP was developed for the extraction of cadmium from water samples [112]. The polymer was synthesized by non-covalent imprinting using two functional monomers: methacrylic acid and acrylamide. CdCl2·5/2 H2O was used as the template and a mixture of acetonitrile and water served as the solvent. The synthesis of MIIP is shown in the scheme below, where EGDMA is ethylene glycol dimethacrylate (cross-linking monomer), AIBN is azobisisobutyronitrile (initiator) and TEOS is tetraethyl orthosilicate:

The adsorption capacity of the obtained polymer increased as the content of cadmium in the sample increased from 30 to 80 μg mL−1. The highest adsorption capacity was 46.8 mg g−1 (pH = 6). The adsorption capacity remained invariable for six adsorption-desorption cycles. The selectivity factors for lead, copper and nickel were greater than 1.
Thus, the proposed polymer is a promising material for selective extraction of traces of cadmium from water samples in the presence of copper and nickel.
Thenoyltrifluoroacetone 131 was used to extract nickel Ni (II) from nitric acid solutions and to detect traces of nickel (II) in seawater (collected from the Toyama Bay, Toyama, Japan) [113].

Acetone was used as the solvent, because among polar solvents such as methanol, ethanol, and 2-methoxyethanol, quantitative extraction of nickel was attained only in acetone.
The authors proposed the following equations to describe the extraction of nickel at pH = 8 with the enol form of 131 (TTA−):
Ni2+ + 2 TTA− = Ni(TTA)2
Ni2+ + 3 TTA− = [Ni(TTA)3]−
It was found that nickel can be extracted from sea water samples when the initial nickel concentration is 0.125 and 0.25 μg L−1 with efficiency of 99 and 95%, respectively.
8.3. Platinum-Group Metals
Rhodium is widely used in the production of catalysts; therefore, low concentrations of rhodium salts get into the environment. Hence, it is necessary to develop an efficient method for detection of rhodium in water samples.
In [114], 2-(5-iodo-2-pyridylazo)-5-dimethylaminoaniline 132 was used as the chelating extractant for the recovery of rhodium (III) from water samples.

The authors assumed that compound 132 coordinates rhodium (III) to give complex 133.

The authors established that compound 132 extracts rhodium from tap, well, spring and river water samples with an efficiency of more than 98%. However, no comparative data for extraction with nitrogen-containing agents studied previously or experimental evidence for the mechanism of formation of this complex are given in the paper.
1-Alkyltriazoles are promising compounds—soft ligands (in terms of the HSAB theory) for the separation of soft platinum group metal cations (Pt, Pd, etc.) from hard heavy metal cations (Co, Zn, Ni, etc.).
For example, 1-alkyltriazole 134 (alkyl = pentyl, hexyl, heptyl, octyl, nonyl, decyl, dodecyl, tetradecyl or hexadecyl) dissolved in dichloromethane was used to extract palladium (II) and to separate palladium (II) from zinc (II) and nickel (II) [115].

The highest percentage of palladium extraction was attained for 1-hexadecyltriazole. This fact is attributable to the increase in the stability constants of complexes with increasing alkyl chain length. However, quantitative extraction of palladium could not be attained.
Conversely, the highest selectivity was observed for a compound with fewer carbon atoms, 1-pentyltriazole. The authors gave no interpretation for this fact.
A similar trend was observed for polymer membranes based on cellulose triacetate impregnated with 1-alkyltriazole 133. These membranes can be used at low pH (below 2).
9. Conclusions
Dialkylamide compounds are non-toxic, easy to synthesize and dispose after extraction, cheap and practical. According to the literature, dialkylamide compounds are promising compounds to separate actinides contained in high-level waste, to separate them from impurities in uranium fission products and to extract REEs from natural ores and secondary raw materials. Thereby, dialkylamide compounds are a suitable alternative to toxic phosphorous-containing extractants.
However, the extraction capacity of this class of extractants is strictly dependent on the oxidation state of the element to be extracted. In addition, dialkylamide extractants have a low capacity and a tendency to form a third phase.
In turn, amino acids are cheap, form stable complexes with heavy metal ions, but take a long time to establish extraction equilibrium. In addition, amino acids are toxic, accumulate in the environment and are poorly biodegradable. In most of the studied works, the authors do not give an explanation for the low (less than 70%) extraction rate of heavy metals from soil.
Oximes and azomethines form stable chelate complexes with heavy metals and can be used for their extraction (e.g., cobalt, copper, nickel, and chromium) from primary (ores) and secondary (industrial waste) sources. Oximes and azomethines are promising compounds to separate actinides from lanthanide impurities found in radioactive ores. The main disadvantage of this class of extractants is the problem of achieving a complete extraction of the heavy metals, especially those contained in multi-metal solutions.
Crown ethers are promising compounds for reprocessing spent nuclear fuel because they are resistant to radiolysis and hydrolysis. They can also be used for the separation of platinum group metals. The disadvantage of crown ethers is their high cost compared to phosphorous-containing extractants.
Calixarenes are effective for separation of silver, palladium, platinum, lead, mercury, heavy REEs and also products of uranium fission. However, calixarenes are mostly soluble in halogenated or aromatic hydrocarbons, which creates potential problems for the environment and human health. This necessitates the use of expensive green solvents such as ionic liquids.
Compounds containing phenanthroline moieties are promising extractants for the selective separation of actinides and lanthanides during the reprocessing of spent nuclear fuel, as well as for the extraction of palladium from high-level liquid waste. Phenanthroline derivatives have a high extraction rate, high extraction capacity, excellent selectivity towards actinides in a wide range of acidities of the aqueous phase, and high resistance to chemical and radiation corrosion.
According to the literature, it can be concluded that chelating compounds, for the most part, are much more efficient and selective metal extractants compared to monodentate ligands. They are also safer to use than common industrial organophosphorous extractants. However, the high cost, complexity of synthesis and regeneration of most chelating extractants limits their wide practical application. Therefore, the current line of research on this topic is to optimize a number of characteristics such as cost, efficiency, safety, processability and the available raw material base.
For example, it is possible to reduce the cost of extraction processes in general through automation, the use of cheaper natural raw materials, and the development of technologies for the regeneration of components used in extraction. To increase the safety of the process, extraction is carried out in the absence of toxic and flammable solvents, for example, using environmentally friendly and non-flammable ionic liquids. The use of natural amino acids such as glycine and sarcosine for the synthesis of extractants makes the extraction process environmentally friendly. To optimize the extraction efficiency, it is necessary to select the optimal values of pH of the medium, extractant concentration, contact time and temperature, which can be achieved through computer simulation.
Author Contributions
Conceptualization, E.C. and P.Y.; methodology, E.C.; validation, E.C. and P.Y.; writing—original draft preparation, P.Y.; writing—review and editing, E.C.; visualization, P.Y.; supervision, E.C.; project administration, E.C.; funding acquisition, E.C. All authors have read and agreed to the published version of the manuscript.
Funding
This research received no external funding.
Institutional Review Board Statement
Not applicable.
Informed Consent Statement
Informed consent was obtained from all subjects involved in the study.
Data Availability Statement
Not applicable.
Conflicts of Interest
The authors declare no conflict of interest.
References
- Zhao, M.; Xu, Y.; Zhang, C.; Rong, H.; Zeng, G. New trends in removing heavy metals from wastewater. Biotechnology 2016, 100, 6509–6518. [Google Scholar] [CrossRef] [PubMed]
- Crini, G.; Lichtfouse, E. Advantages and disadvantages of techniques used for wastewater treatment. Environ. Chem. Lett. 2018, 17, 145–155. [Google Scholar] [CrossRef]
- Davidson, C.M. Methods for the Determination of Heavy Metals and Metalloids in Soils. In Heavy Metals in Soils. Environmental Pollution; Alloway, B.J., Ed.; Springer: Dordrecht, The Netherlands, 2013; Volume 22, pp. 97–140. [Google Scholar] [CrossRef]
- Soltani, F.; Darabi, H.; Aram, R.; Ghadiri, M. Leaching and solvent extraction purification of zinc from Mehdiabad complex oxide ore. Sci. Rep. 2021, 11, 1566. [Google Scholar] [CrossRef] [PubMed]
- Ilyas, S.; Kim, H.; Srivastava, R.R. Hydrometallurgical Recycling of Rare Earth Metal–Cerium from Bio-processed Residual Waste of Exhausted Automobile Catalysts. JOM 2021, 73, 19–26. [Google Scholar] [CrossRef]
- Li, X.Z.; Zhou, L.P.; Yan, L.L.; Dong, Y.M.; Bai, Z.L.; Sun, X.Q.; Diwu, J.; Wang, S.; Bunzli, J.C.; Sun, Q.F. A supramolecular lanthanide separation approach based on multivalent cooperative enhancement of metal ion selectivity. Nat. Commun. 2018, 9, 547. [Google Scholar] [CrossRef] [PubMed] [Green Version]
- Yudaev, P.A.; Kolpinskaya, N.A.; Chistyakov, E.M. Organophosphorous extractants for metals. Hydrometallurgy 2021, 201, 105558. [Google Scholar] [CrossRef]
- Hirayama, N. Chelate extraction of Metals into Ionic Liquids. Solvent Ext. Res. Dev. 2011, 18, 1–14. [Google Scholar] [CrossRef] [Green Version]
- Zalloum, H.M.; Mubarak, M.S. Antioxidant Polymers: Metal Chelating Agents. In Antioxidant Polymers: Synthesis, Properties, and Applications; Cirilo, G., Iemma, F., Eds.; John Wiley & Sons Inc.: Hoboken, NJ, USA, 2012; pp. 87–114. [Google Scholar] [CrossRef]
- Memon, S.Q.; Memon, N.; Mallah, A.; Soomro, R.; Khuhawar, M.Y. Schiff Bases as Chelating Reagents for Metal Ions Analysis. Curr. Anal. Chem. 2014, 10, 393–417. [Google Scholar] [CrossRef]
- Laskar, M.A.; Siddiqui, S.; Islam, A. Reflection of the physiochemical characteristics of 1-(2-pyridylazo)-2-naphthol on the preconcentration of trace heavy metals. Crit. Rev. Anal. Chem. 2016, 46, 413–423. [Google Scholar] [CrossRef]
- Ding, X.; Liu, Q.; Hou, X.; Fang, T. Supercritical Fluid Extraction of Metal Chelate: A Review. Crit. Rev. Anal. Chem. 2016, 47, 99–118. [Google Scholar] [CrossRef]
- Mahanty, B.; Kanekar, A.S.; Ansari, S.A.; Bhattacharyya, A.; Mohapatra, P.K. Separation of neptunium from actinides by monoamides: A solvent extraction study. Radiochim. Acta 2018, 107, 369–376. [Google Scholar] [CrossRef]
- Ren, P.; Li, Y.; Wang, Z.; Geng, Y.; Yu, T.; Hua, R. Extraction and separation of thorium(IV) and uranium(VI) with 4-oxaheptanediamide into ionic liquid system from aqueous solution. Chem. Pap. 2020, 74, 2049–2057. [Google Scholar] [CrossRef]
- Kumar, S.S.; Rao, A.; Yadav, K.K.; Lenka, R.K.; Singh, D.K.; Tomar, B.S. Selective removal of Am(III) and Pu(IV) from analytical waste solutions of quality control operations using extractant encapsulated polymeric beads. J. Radioanal. Nucl. Chem. 2020, 324, 375–384. [Google Scholar] [CrossRef]
- Gujar, R.B.; Mohapatra, P.; Verboom, W. Extraction of Np4+ and Pu4+ from nitric acid feeds using three types of tripodal diglycolamide ligands. Sep. Purif. Technol. 2020, 247, 116986. [Google Scholar] [CrossRef]
- Ansari, S.A.; Mohapatra, P.K.; Verma, P.K.; Leoncini, A.; Yadav, A.K.; Jha, S.N.; Bhattacharyya, D.; Verboom, W. Highly Efficient Extraction of Trivalent f-Cations Using Several N -Pivot Tripodal Diglycolamide Ligands in an Ionic Liquid: The Role of Ligand Structure on Metal Ion Complexation. Eur. J. Inorg. Chem. 2020, 2, 191–199. [Google Scholar] [CrossRef]
- Turanov, A.N.; Karandashev, V.K.; Boltoeva, M. Solvent extracvation of intra-lanthanides using a mixture of TBP and TODGA in ionic liquid. Hydrometallurgy 2020, 195, 105367. [Google Scholar] [CrossRef]
- Prathibha, T.; Swami, K.R.; Sriram, S.; Venkatesan, K.A. Interference of Zr(IV) during the extraction of trivalent Nd(III) from the aqueous waste generated from metallic fuel reprocessing. Radiochim. Acta 2020, 108, 543–554. [Google Scholar] [CrossRef]
- Liu, Y.; Gao, Y.; Wei, Z.; Zhou, Y.; Zhang, M.; Hou, H.; Tian, G.; He, H. Extraction behavior and third phase formation of neodymium (III) from nitric acid medium in N, N′-dimethyl-N, N′-dioctyl-3-oxadiglcolamide. J. Radional. Nucl. Chem. 2018, 318, 2087–2096. [Google Scholar] [CrossRef]
- Ravi, J.; Venkatesan, K.A.; Antony, M.P.; Srinivasan, T.G.; Vasudeva Rao, P.R. Tuning the diglycolamides for modifier-free minor actinide partitioning. J. Radioanal. Nucl. Chem. 2013, 295, 1283–1292. [Google Scholar] [CrossRef]
- Venkatesan, K.A.; Antony, M.P.; Srinivasan, T.G.; Vasudeva Rao, P.R. New unsymmetrical digycolamide ligands for trivalent actinide separation. Radiochim. Acta 2014, 102, 609–617. [Google Scholar] [CrossRef]
- Swami, K.R.; Venkatesan, K.A.; Selvan, B.R. Studies on the aggregation behaviour of radiolytically degraded tetra (2-ethyhexyl) diglycolamide in n-dodecane medium during the extraction of trivalent metal ions. J. Radioanal. Nucl. Chem. 2020, 325, 283–291. [Google Scholar] [CrossRef]
- Swami, K.R.; Venkatesan, K.A. Unraveling the role of phase modifiers in the extraction of Nd(III) from nitric acid medium in tetra-bis(2-ethylhexyl)diglycolamide in n-dodecane containing long chain aliphatic alcohols. J. Mol. Liq. 2019, 296, 111741. [Google Scholar] [CrossRef]
- Niu, Y.-N.; Ren, P.; Zhang, F.; Yan, Z.-Y. Solvent extraction of Eu3+ with 4-oxaheptanediamide into ionic liquid system. Sep. Sci. Technol. 2018, 53, 2750–2755. [Google Scholar] [CrossRef]
- Chen, J.; Wang, S.; Wang, X. Studies on the extraction of actinides, europium and technetium by diamide derivcatives. In Proceeding of the International Conference Global 2003, New Orleans, LA, USA, 16–20 September 2003; Volume 2, pp. 1915–1919. [Google Scholar]
- Parvathy, N.; Swami, K.R.; Prathibha, T.; Venkatesan, K.A. Antagonism in the aggregation behaviour of N,N,N′,N′-tetraoctyldiglycolamide in n-dodecane upon adding N, N-dioctylhydroxyacetamide during trivalent metal extraction. J. Mol. Liq. 2020, 317, 113940. [Google Scholar] [CrossRef]
- Atanassova, M. Investigation of synergism and selectivity using mixture of two neutral extractants in IL media for lanthanoids extraction. Sep. Purif. Technol. 2016, 169, 253–261. [Google Scholar] [CrossRef]
- Borisova, N.E.; Ivanov, A.V.; Kharcheva, A.V.; Sumyanova, T.B.; Surkova, U.V.; Matveev, P.I.; Patsaeva, S.V. Effect of Heterocyclic Ring on Ln III Coordination, Luminescence and Extraction of Diamides of 2,2′-Bipyridyl-6,6′-Dicarboxylic Acid. Molecules 2020, 25, 62. [Google Scholar] [CrossRef] [Green Version]
- Yuan, H.; Hong, W.; Zhou, Y.; Pu, B.; Gong, A.; Xu, T.; Yang, Q.; Li, F.; Qiu, L.; Zhang, W.; et al. Extraction and back-extraction behaviors of 14 rare earth elements from sulfuric acid medium by TODGA. J. Rare Earth 2018, 36, 642–647. [Google Scholar] [CrossRef]
- Chen, Z.; Yang, X.; Song, L.; Wang, X.; Xiao, Q.; Xu, H.; Feng, Q.; Ding, S. Extraction and complexation of trivalent rare earth elements with tetraalkyl diglycolamides. Inorg. Chim. Acta 2020, 513, 119928. [Google Scholar] [CrossRef]
- Sun, G.J.; Yang, J.H.; Yang, H.X.; Sun, G.X.; Cui, Y. Extraction study of rare earth elements with N,N′-dibutyl–N,N′-di (1-methylheptyl)-diglycolamide from hydrochloric acid. Nucl. Sci. Tech. 2016, 27, 75. [Google Scholar] [CrossRef]
- Case, M.E.; Fox, R.V.; Baek, D.L.; Mincher, B.J.; Wai, C.M. Extraction behavior of selected rare earth metals from acidic chloride media using tetrabutyl diglycolamide. Solvent Extr. Ion Exch. 2017, 35, 496–506. [Google Scholar] [CrossRef]
- Xu, D.; Shah, Z.; Sun, G.; Peng, X.; Cui, Y. Recovery of rare earths from phosphate ores through supported liquid membrane using N,N,N′,N′-tetraoctyl diglycol amide. Miner. Eng. 2019, 139, 105861. [Google Scholar] [CrossRef]
- Cui, H.; Feng, X.; Shi, J.; Liu, W.; Yan, N.; Rao, G.; Wang, W. A facile process for enhanced rare earth elements separation from dilute solutions using N,N-di (2-ethylhexyl)-diglycolamide grafted polymer resin. Sep. Purif. Technol. 2020, 234, 116096. [Google Scholar] [CrossRef]
- Tunsu, C.; Menard, Y.; Eriksen, D.Ø.; Ekberg, C.; Petranikova, M. Recovery of critical materials from mine tailings: A comparative study of the solvent extraction of rare earths using acidic, solvating and mixed extractant systems. J. Clean. Prod. 2019, 218, 425–437. [Google Scholar] [CrossRef]
- Gergoric, M.; Barrier, A.; Retegan, T. Recovery of rare-earth elements from neodymium magnet waste using glycolic, maleic, and ascorbic acids followed by solvent extraction. J. Sustain. Metall. 2018, 5, 85–96. [Google Scholar] [CrossRef] [Green Version]
- Tunsu, C.; Petranikova, M. Perspectives for the recovery of critical elements from future energy-efficient refrigeration materials. J. Clean. Prod. 2018, 197, 232–242. [Google Scholar] [CrossRef]
- Bredov, N.S.; Gorlov, M.V.; Esin, A.S.; Bykovskaya, A.A.; Kireev, V.V.; Sinegribova, O.A.; Ryabochenko, M.D. Linear 2-Ethylhexyl Imidophosphoric Esters as Effective Rare-Earth Element Extractants. Appl. Sci. 2020, 10, 1229. [Google Scholar] [CrossRef] [Green Version]
- Paiva, A.P.; Martins, M.E.; Ortet, O. Palladium (II) recovery from hydrochloric acid solutions by N,N′- dimethyl-N,N′-dibutylthiodiglycolamide. Metals 2015, 5, 2303–2315. [Google Scholar] [CrossRef] [Green Version]
- Sasaki, Y.; Morita, K.; Saeki, M.; Hisamatsu, S.; Yoshizuka, K. Precious metal extraction by N,N,N′,N′-tetraoctyl-thiodiglycolamide and its comparison with N,N,N′,N′-tetraoctyl-diglycolamide and methylimino-N,N′- dioctylacetamide. Hydrometallurgy 2017, 169, 576–584. [Google Scholar] [CrossRef]
- Bożejewicz, D.; Witt, K.; Kaczorowska, M.A.; Urbaniak, W.; Ośmiałowski, B. The Application of 2,6-Bis (4-Methoxybenzoyl)-Diaminopyridine in Solvent Extraction and Polymer Membrane Separation for the Recovery of Au (III), Ag (I), Pd (II) and Pt (II) Ions from Aqueous Solutions. Int. J. Mol. Sci. 2021, 22, 9123. [Google Scholar] [CrossRef]
- Bożejewicz, D.; Witt, K.; Kaczorowska, M.A.; Ośmiałowski, B. The copper (II) ions solvent extraction with a new compound: 2,6-bis (4-methoxybenzoyl)-diaminopyridine. Processes 2019, 7, 954. [Google Scholar] [CrossRef] [Green Version]
- Cheng, S.; Lin, Q.; Wang, Y.; Luo, H.; Huang, Z.; Fu, H.; Chen, H.; Xiao, R. The removal of Cu, Ni, and Zn in industrial soil by washing with EDTA-organic acids. Arab. J. Chem. 2020, 13, 5160. [Google Scholar] [CrossRef]
- Dolev, N.; Katz, Z.; Ludmer, Z.; Ullmann, A.; Brauner, N.; Goikhman, R. Natural amino acids as potential chelators for soil remediation. Environ. Res. 2020, 183, 109140. [Google Scholar] [CrossRef]
- Nair, N.M.; Varghese, G.K. Optimization of parameters for the extraction of Pb from lateritic soil using EDTA. SN Appl. Sci. 2020, 2, 1344. [Google Scholar] [CrossRef]
- Ayyanar, A.; Thatikonda, S. Enhanced Electrokinetic Removal of Heavy Metals from a Contaminated Lake Sediment for Ecological Risk Reduction. Soil Sediment Contam. 2021, 30, 12–34. [Google Scholar] [CrossRef]
- Sun, T.; Beiyuan, J.; Gielen, G.; Mao, X.; Song, Z.; Xu, S.; Ok, Y.S.; Rinklebe, J.; Liu, D.; Hou, D.; et al. Optimizing extraction procedures for better removal of potentially toxic elements during EDTA-assisted soil washing. J. Soils Sediments 2020, 20, 3417–3426. [Google Scholar] [CrossRef]
- Alpaslan, O.; Yaras, A.; Arslanoglu, H. A Kinetic Model for Chelating Extraction of Metals from Spent Hydrodesulphurization Catalyst by Complexing Agent. Trans. Indian Inst. Met. 2020, 73, 1925–1937. [Google Scholar] [CrossRef]
- Sharma, S.; Gautam, A.; Gautam, S. A Greener Approach to Extract Copper from Fertilizer Industry Spent Catalyst. Arab. J. Sci. Eng. 2020, 45, 7529–7538. [Google Scholar] [CrossRef]
- Orr, R.; Hocking, R.K.; Pattison, A.; Nelson, P.N. Extraction of metals from mildly acidic tropical soils: Interactions between chelating ligand, pH and soil type. Chemosphere 2020, 248, 126060. [Google Scholar] [CrossRef]
- Hughes, D.L.; Afsar, A.; Laventine, D.M.; Shaw, E.J.; Harwood, L.M.; Hodson, M.E. Metal removal from soil leachates using DTPA-functionalised maghemite nanoparticles, a potential soil washing technology. Chemosphere 2018, 209, 480–488. [Google Scholar] [CrossRef]
- Kobylinska, N.; Kostenko, L.; Khainakov, S.; Garcia-Granda, S. Advanced core-shell EDTA-functionalized magnetite nanoparticles for rapid and efficient magnetic solid phase extraction of heavy metals from water samples prior to the multi-element determination by ICP-OES. Microchim. Acta 2020, 187, 289. [Google Scholar] [CrossRef]
- Liang, F.; Guo, Z.H.; Men, S.H.; Xiao, X.Y.; Peng, C.; Wu, L.H.; Christie, P. Extraction of Cd and Pb from contaminated-paddy soil with EDTA, DTPA, citric acid and FeCl3 and effects on soil fertility. J. Cent. S. Univ. 2019, 26, 2987. [Google Scholar] [CrossRef]
- Jani, Y.; Hogland, W. Chemical extraction of trace elements from hazardous fine fraction at an old glasswork dump. Chemosphere 2018, 195, 825–830. [Google Scholar] [CrossRef] [PubMed]
- Kim, E.J.; Jeon, E.-K.; Kitae, B. Role of reducing agent in extraction of arsenic and heavy metals from soils by use of EDTA. Chemosphere 2016, 152, 274–283. [Google Scholar] [CrossRef] [PubMed]
- Golmaei, M.; Kinnarinen, T.; Jernström, E.; Häkkinen, A. Extraction of hazardous metals from green liquor dregs by ethylenediaminetetraacetic acid. J. Environ. Manag. 2018, 212, 219–227. [Google Scholar] [CrossRef]
- Beiyuan, J.; Tsang, D.C.W.; Valix, M.; Baek, K.; Ok, Y.S.; Zhang, W.; Bolan, N.S.; Rinklebe, J.; Li, X.-D. Combined application of EDDS and EDTA for removal of potentially toxic elements under multiple soil washing schemes. Chemosphere 2018, 205, 178–187. [Google Scholar] [CrossRef]
- Shukla, M.; Baksi, B.; Mohanty, S.P.; Mahanty, B.; Mansi, A.; Rene, E.R.; Behera, S.K. Remediation of chromium contaminated soil by soil washing using EDTA and N-acetyl-L-cysteine as the chelating agents. Prog. Org. Coat. 2022, 165, 106704. [Google Scholar] [CrossRef]
- Al Zoubi, W. Solvent extraction of metal ions by use of Schiff bases. J. Coord. Chem. 2013, 66, 2264. [Google Scholar] [CrossRef]
- Hawkins, C.A.; Bustillos, C.G.; May, I.; Copping, R.; Nilsson, M. Water-soluble Schiff base-actinyl complexes and their effect on the solvent extraction of f-elements. Dalton Trans. 2016, 45, 15415–15426. [Google Scholar] [CrossRef] [PubMed] [Green Version]
- Hamza, M.F.; Roux, J.C.; Guibal, E. Uranium and europium sorption on amidoxime-functionalized magnetic chitosan micro-particles. Chem. Eng. J. 2018, 344, 124–137. [Google Scholar] [CrossRef]
- Shiri-Yekta, Z. Removal of Th(IV) ion from wastewater using a proper Schiff base impregnated onto Amberlite XAD-4. Particul. Sci. Technol. 2020, 38, 495–504. [Google Scholar] [CrossRef]
- Karabörk, M.; Kirpik, H.; Sayin, K.; Köse, M. New diazo-containing phenolic oximes: Structural characterization, computational studies, and solvent extraction of Cu(II), Ni(II), and Zn(II) ions. Turk. J. Chem. 2019, 43, 197–212. [Google Scholar] [CrossRef]
- Wieszczycka, K.; Krupa, M.; Wojciechowska, A.; Wojciechowska, I.; Olszanowski, A. Equilibrium studies of cobalt (II) extraction with 2-pyridineketoxime from mixed sulphate/chloride solution. J. Radioanal. Nucl. Chem. 2016, 307, 1155–1164. [Google Scholar] [CrossRef] [Green Version]
- Witt, K.; Bożejewicz, D.; Kaczorowska, M.A. N,N’-Bis (salicylidene) ethylenediamine (Salen) as an Active Compound for the Recovery of Ni (II), Cu (II), and Zn (II) Ions from Aqueous Solutions. Membranes 2020, 10, 60. [Google Scholar] [CrossRef] [Green Version]
- Al Zoubi, W.; Kandil, F.; Chebani, M.K. Solvent extraction of chromium and copper using Schiff base derived from terephthaldialdehyde and 5-amino-2-methoxy-phenol. Arab. J. Chem. 2016, 9, 526–531. [Google Scholar] [CrossRef] [Green Version]
- Mazarakioti, E.C.; Beobide, A.S.; Angelidou, V.; Efthymiou, C.G.; Terzis, A.; Psycharis, V.; Voyiatzis, G.A.; Perlepes, S.P. Modeling the Solvent Extraction of Cadmium (II) from Aqueous Chloride Solutions by 2-pyridyl Ketoximes: A Coordination Chemistry Approach. Molecules 2019, 24, 2219. [Google Scholar] [CrossRef] [PubMed] [Green Version]
- Almi, S.; Bouzgou, M.; Adjal, F.; Barkat, D. Methyl-isobutyl ketone and 1-octanol as synergistic agents and phase modifiers in solvent extraction of cobalt (II) by the N-(2-hydroxybenzylidene) aniline from sulfate medium. Inorg. Nano-Met. Chem. 2020, 50, 8–15. [Google Scholar] [CrossRef]
- Sun, Q.; Wang, W.; Yang, L.; Huang, S.; Xu, Z.; Ji, Z.; Li, Y.; Hu, Y. Separation and recovery of heavy metals from concentrated smelting wastewater by synergistic solvent extraction using a mixture of 2-hydroxy-5- nonylacetophenone oxime and bis (2,4,4-trimethylpentyl)-phosphinic acid. Solvent Extr. Ion Exch. 2018, 36, 175–190. [Google Scholar] [CrossRef]
- Sun, Q.; Yang, L.; Huang, S.; Xu, Z.; Li, Y.; Wang, W. Synergistic solvent extraction of nickel by 2-hydroxy-5-nonylacetophenone oxime mixed with neodecanoic acid and bis (2-ethylhexyl) phosphoric acid: Stoichiometry and structure investigation. Miner. Eng. 2019, 132, 284–292. [Google Scholar] [CrossRef]
- Reis, M.T.A.; Ismael, M.R.C.; Wojciechowska, A.; Wojciechowska, I.; Aksamitowski, P.; Wieszczycka, K.; Carvalho, J.M. Zinc (II) recovery using pyridine oxime-ether–novel carrier in pseudo-emulsion hollow fiber strip dispersion system. Sep. Purif. Technol. 2019, 223, 168–177. [Google Scholar] [CrossRef]
- Xiao, B.Q.; Jiang, F.; Peng, J.H.; Ju, S.H.; Zhang, L.H.; Yin, S.H.; Zhang, L.B.; Xu, L.; Tian, S.H. Optimization study of operation parameters for extracting Cu2+ from sulfuric solution containing Co2+. Arab. J. Sci. Eng. 2018, 43, 2145. [Google Scholar] [CrossRef]
- Jiang, F.; Yin, S.; Zhang, L.; Peng, J.; Ju, S.; Miller, J.D.; Wang, X. Solvent extraction of Cu (II) from sulfate solutions containing Zn (II) and Fe (III) using an interdigital micromixer. Hydrometallurgy 2018, 177, 116–122. [Google Scholar] [CrossRef]
- He, Y.; Zhang, Y.; Huang, J.; Zheng, Q.; Liu, H. Extraction of vanadium (V) from a vanadium-bearing shale leachate through bifunctional coordination in Mextral 984H extraction system. Sep. Purif. Technol. 2022, 288, 120452. [Google Scholar] [CrossRef]
- Witt, K.; Kaczorowska, M.A.; Bożejewicz, D.; Urbaniak, W. Efficient Recovery of Noble Metal Ions (Pd2+, Ag+, Pt2+, and Au3+) from Aqueous Solutions Using N,N’-Bis (salicylidene) ethylenediamine (Salen) as an Extractant (Classic Solvent Extraction) and Carrier (Polymer Membranes). Membranes 2021, 11, 863. [Google Scholar] [CrossRef]
- Elizalde, M.P.; del Sol Rúa, M.; Menoyo, B. Palladium Extraction from Nitric Acid Solutions by LIX 84 and LIX 860-I. Solvent Extr. Ion Exc. 2019, 37, 411–421. [Google Scholar] [CrossRef]
- Torrejos, R.E.; Nisola, G.M.; Song, H.S.; Han, J.W.; Lawagon, C.P.; Seo, J.G.; Koo, S.; Kim, H.; Chung, W.J. Liquid-liquid extraction of lithium using lipophilic dibenzo-14-crown-4 ether carboxylic acid in hydrophobic room temperature ionic liquid. Hydrometallurgy 2016, 164, 362–371. [Google Scholar] [CrossRef]
- Sun, Y.; Zhu, M.; Yao, Y.; Wang, H.; Tong, B.; Zhao, Z. A novel approach for the selective extraction of Li+ from the leaching solution of spent lithium-ion batteries using benzo-15-crown-5-ether as extractant. Sep. Purif. Technol. 2020, 237, 116325. [Google Scholar] [CrossRef]
- Kudo, Y.; Nakamori, T.; Numako, C. Pb (II) Extraction with Benzo-18-Crown-6 Ether into Benzene under the Co-Presence of Cd (II) Nitrate in Water. Inorganics 2018, 6, 77. [Google Scholar] [CrossRef] [Green Version]
- Xu, C.; Ye, G.; Wang, S.; Duan, W.; Wang, J.; Chen, J. Solvent extraction of strontium from nitric acid medium by di-tert-butyl cyclohexano-18-crown-6 in n-octanol: Extraction behavior and flowsheet demonstration. Solvent Extr. Ion. Exc. 2013, 31, 731–742. [Google Scholar] [CrossRef]
- Wei, Z.; Gao, Y.; Zhou, Y.; Jiao, C.; Zhang, M.; Hou, H.; Liu, W. The extraction of Sr2+ with dicyclohexano-18-crown-6 in conventional organic solvent and ionic liquid diluents. J. Serb. Chem. Soc. 2020, 85, 909–922. [Google Scholar] [CrossRef] [Green Version]
- Liang, Y.; Wang, X.; Zhao, S.; He, P.; Luo, T.; Jiang, J.; Cai, J.; Xu, H. A New Photoresponsive Bis (Crown Ether) for Extraction of Metal Ions. Chem. Sel. 2019, 4, 10316–10319. [Google Scholar] [CrossRef]
- Favre-Réguillon, A.; Draye, M.; Cote, G.; Czerwinsky, K.R. Insights in uranium extraction from spent nuclear fuels using dicyclohexano-18-crown-6–Fate of rhenium as technetium homolog. Sep. Purif. Technol. 2018, 209, 338–342. [Google Scholar] [CrossRef]
- Popova, N.N.; Tananaev, I.G.; Rovnyi, S.I.; Myasoedov, B.F. Technetium: Behaviour during processing of irradiated fuel and in environmental objects. Rus. Chem. Rev. 2003, 72, 115–137. [Google Scholar] [CrossRef]
- Sharma, J.N.; Sinharoy, P.; Kharwandikar, B.; Thorat, V.S.; Tessy, V.; Kaushik, C.P. Process for separation of technetium from alkaline low level waste using di-tert-butyldibenzo-18-crown-6+ isodecyl alcohol/n-dodecane solvent. Sep. Purif. Technol. 2018, 207, 416–419. [Google Scholar] [CrossRef]
- Kudo, Y.; Ikeda, S.; Morioka, S.; Tomokata, S. Silver (I) extraction with benzo-18-crown-6 ether from water into 1, 2-dichloroethane: Analyses on ionic strength of the phases and their equilibrium potentials. Inorganics 2017, 5, 42. [Google Scholar] [CrossRef] [Green Version]
- Torrejos, R.E.C.; Nisola, G.M.; Min, S.H.; Han, J.W.; Lee, S.P.; Chung, W.J. Highly selective extraction of palladium from spent automotive catalyst acid leachate using novel alkylated dioxa-dithiacrown ether derivatives. J. Ind. Eng. Chem. 2020, 89, 428–435. [Google Scholar] [CrossRef]
- Lu, X.; Zhang, D.; He, S.; Feng, J.; Tesfay, A.R.; Liu, C.; Yang, Z.; Shi, L.; Li, J. Reactive extraction of europium (III) and neodymium (III) by carboxylic acid modified calixarene derivatives: Equilibrium, thermodynamics and kinetics. Sep. Purif. Technol. 2017, 188, 250–259. [Google Scholar] [CrossRef]
- Smirnov, I.V.; Stepanova, E.S.; Drapailo, A.B.; Kalchenko, V.I. Extraction of americium and europium with functionalized calixarenes from alkaline solutions. Radiochemistry 2016, 58, 42–51. [Google Scholar] [CrossRef]
- Lu, Y.; Liao, W. Extraction and separation of trivalent rare earth metal ions from nitrate medium by p- phosphonic acid calix[4]arene. Hydrometallurgy 2016, 165, 300–305. [Google Scholar] [CrossRef]
- Muravev, A.; Yakupov, A.; Gerasimova, T.; Nugmanov, R.; Trushina, E.; Babaeva, O.; Nizameeva, G.; Syakaev, V.; Katsyuba, S.; Selektor, S.; et al. Switching Ion Binding Selectivity of Thiacalix [4] arene Monocrowns at Liquid–Liquid and 2D-Confined Interfaces. Int. J. Mol. Sci. 2021, 22, 3535. [Google Scholar] [CrossRef]
- Kim, J.Y.; Morisada, S.; Kawakita, H.; Ohto, K. Comparison of interfacial behavior and silver extraction kinetics with various types calix[4]arene derivatives at heterogeneous liquid-liquid interfaces. J. Chromatogr. A 2018, 1558, 107–114. [Google Scholar] [CrossRef]
- Yamada, M.; Kaneta, Y.; Gandhi, M.R.; Kunda, U.; Shibayama, A. Calix [4] arene-Based Amino Extractants Containing n-Alkyl Moieties for Separation of Pd (II) and Pt (IV) from Leach Liquors of Automotive Catalysts. Metals 2018, 8, 517. [Google Scholar] [CrossRef] [Green Version]
- Yamada, M.; Kaneta, Y.; Gandhi, M.R.; Kunda, U.M.R.; Shibayama, A. Recovery of Pd (II) and Pt (IV) from leach liquors of automotive catalysts with calixarene-based di-n-alkylamino extractants in saturated hydrocarbon diluents. Hydrometallurgy 2019, 184, 103. [Google Scholar] [CrossRef]
- Kurniawan, Y.S.; Sathuluri, R.R.; Iwasaki, W.; Morisada, S.; Kawakita, H.; Ohto, K.; Miyazaki, M.; Jimina. Microfluidic reactor for Pb (II) ion extraction and removal with an amide derivative of calix [4] arene supported by spectroscopic studies. Microchem. J. 2018, 142, 377–384. [Google Scholar] [CrossRef]
- Liu, Y.; Zhong, Z. Extraction of heavy metals, dichromate anions and rare metals by new calixarene-chitosan polymers. J. Inorg. Organomet. Polym. 2018, 28, 962–967. [Google Scholar] [CrossRef]
- Pathak, S.; Jayabun, S.; Boda, A.; Musharaf Ali, S.; Sengupta, A. Experimental and theoretical insight into the extraction mechanism, kinetics, thermodynamics, complexation and radiolytic stability of novel calix crown ether in ionic liquid with Sr2+. J. Mol. Liq. 2020, 316, 113864. [Google Scholar] [CrossRef]
- Meng, R.; Xu, L.; Yang, X.; Sun, M.; Xu, C.; Borisova, N.E.; Zhang, X.; Lei, L.; Xiao, C. Influence of a N-Heterocyclic Core on the Binding Capability of N,O-Hybrid Diamide Ligands toward Trivalent Lanthanides and Actinides. Inorg. Chem. 2021, 60, 8754. [Google Scholar] [CrossRef]
- Xu, L.; Pu, N.; Ye, G.; Xu, C.; Chen, J.; Zhang, X.; Lei, L.; Xiao, C. Unraveling the complexation mechanism of actinide (iii) and lanthanide (iii) with a new tetradentate phenanthroline-derived phosphonate ligand. Inorg. Chem. Front. 2020, 7, 1726. [Google Scholar] [CrossRef]
- Xu, L.; Pu, N.; Li, Y.; Wei, P.; Sun, T.; Xiao, C.; Cheng, J.; Xu, C. Selective Separation and Complexation of Trivalent Actinide and Lanthanide by a Tetradentate Soft–Hard Donor Ligand: Solvent Extraction, Spectroscopy, and DFT Calculations. Inorg. Chem. 2019, 58, 4420. [Google Scholar] [CrossRef] [PubMed]
- Lemport, P.S.; Matveev, P.I.; Yatsenko, A.V.; Evsiunina, M.V.; Petrov, V.S.; Tarasevich, B.N.; Roznyatovsky, V.A.; Dorovatovskii, P.V.; Khrustalev, V.N.; Zhokhov, S.S.; et al. The impact of alicyclic substituents on the extraction ability of new family of 1,10-phenanthroline-2,9-diamides. RSC Adv. 2020, 10, 26022. [Google Scholar] [CrossRef]
- Zsabka, P.; Opsomer, T.; Van Hecke, K.; Dehaen, W.; Wilden, A.; Modolo, G.; Verwerft, M.; Cardinaels, T. Solvent extraction studies for the separation of trivalent actinides from lanthanides with a triazole-functionalized 1,10-phenanthroline extractant. Solvent Extr. Ion Exch. 2020, 38, 719. [Google Scholar] [CrossRef]
- Zhang, X.; Yuan, L.; Chai, Z.; Shi, W. Towards understanding the correlation between UO22+ extraction and substitute groups in 2,9-diamide-1, 10-phenanthroline. Sci. China Chem. 2018, 61, 1285. [Google Scholar] [CrossRef]
- Zhang, X.; Yuan, L.; Chai, Z.; Shi, W. A new solvent system containing N,N’-diethyl-N,N’-ditolyl-2,9-diamide-1,10-phenanthroline in 1-(trifluoromethyl)-3-nitrobenzene for highly selective UO22+ extraction. Sep. Purif. Technol. 2016, 168, 232. [Google Scholar] [CrossRef]
- Xiao, Q.; Song, L.; Wang, X.; Xu, H.; He, L.; Li, Q.; Ding, S. Highly Efficient Extraction of Palladium (II) in Nitric Acid Solution by a Phenanthroline-Derived Diamide Ligand. Sep. Purif. Technol. 2021, 280, 119805. [Google Scholar] [CrossRef]
- Kovalenko, O.; Baulin, V.; Baulin, D.; Tsivadze, A. Solvent-Impregnated Resins Based on the Mixture of (2-Diphenylphosphoryl)-4-ethylphenoxy) methyl) diphenylphosphine Oxide and Ionic Liquid for Nd (III) Recovery from Nitric Acid Media. Molecules 2021, 26, 2440. [Google Scholar] [CrossRef]
- Cristiani, C.; Bellotto, M.; Dotelli, G.; Latorrata, S.; Ramis, G.; Gallo Stampino, P.; Zubiani, E.M.L.; Finocchio, E. Rare Earths (La, Y, and Nd) Adsorption Behaviour towards Mineral Clays and Organoclays: Monoionic and Trionic Solutions. Minerals 2021, 11, 30. [Google Scholar] [CrossRef]
- Jeong, K.; Jeong, H.J.; Woo, S.M.; Bae, S. Prediction of binding stability of Pu (IV) and PuO2 (VI) by nitrogen tridentate ligands in aqueous solution. Int. J. Mol. Sci. 2020, 21, 2791. [Google Scholar] [CrossRef]
- Ahmad, H.; BinSharfan, I.I.; Khan, R.A.; Alsalme, A. 3D Nanoarchitecture of Polyaniline-MoS2 Hybrid Material for Hg (II) Adsorption Properties. Polymers 2020, 12, 2731. [Google Scholar] [CrossRef]
- Ahmad, H.; Alharbi, W.; BinSharfan, I.I.; Khan, R.A.; Alsalme, A. Aminophosphonic Acid Functionalized Cellulose Nanofibers for Efficient Extraction of Trace Metal Ions. Polymers 2020, 12, 12370. [Google Scholar] [CrossRef] [PubMed]
- Xu, X.; Wang, M.; Wu, Q.; Xu, Z.; Tian, X. Synthesis and application of novel magnetic ion-imprinted polymers for selective solid phase extraction of cadmium (II). Polymers 2017, 9, 360. [Google Scholar] [CrossRef] [Green Version]
- Kosugi, M.; Mizuna, K.; Sazawa, K.; Okazaki, T.; Kuramitz, H.; Taguchi, S.; Hata, N. Organic Ion-Associate Phase Microextraction/Back-Microextraction for Preconcentration: Determination of Nickel in Environmental Water Using 2-Thenoyltrifluoroacetone via GF-AAS. Appl. Chem. 2021, 1, 130–141. [Google Scholar] [CrossRef]
- Han, Q.; Huo, Y.; Wu, J.; He, Y.; Yang, X.; Yang, L. Determination of ultra-trace rhodium in water samples by graphite furnace atomic absorption spectrometry after cloud point extraction using 2-(5-iodo-2-pyridylazo)-5-dimethylaminoaniline as a chelating agent. Molecules 2017, 22, 487. [Google Scholar] [CrossRef] [PubMed] [Green Version]
- Radzyminska-Lenarcik, E.; Pyszka, I.; Urbaniak, W. New Polymer Inclusion Membranes in the Separation of Palladium, Zinc and Nickel Ions from Aqueous Solutions. Polymers 2021, 13, 1424. [Google Scholar] [CrossRef] [PubMed]
Publisher’s Note: MDPI stays neutral with regard to jurisdictional claims in published maps and institutional affiliations. |
© 2022 by the authors. Licensee MDPI, Basel, Switzerland. This article is an open access article distributed under the terms and conditions of the Creative Commons Attribution (CC BY) license (https://creativecommons.org/licenses/by/4.0/).