Investigation of the Reaction Kinetics of a Sinter-Reduction Process in the Thermal Reserve Zone of a Blast Furnace Using a Modified Sectioning Method
Abstract
1. Introduction
2. Materials and Methods
2.1. Materials
2.2. Methods
- (1)
- Methods for sinter reduction
- (2)
- Methods for analyzing the interference of chemical reactions with diffusion in the near-equilibrium region by irreversible thermodynamics
3. Results and Discussions
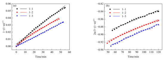
3.1. Experimental Data Processing
3.2. Kinetics Model of Iron Oxide Reduction of the Sinter
3.3. Fitting Results of Kinetics Model Obtained through the Sectioning Method
3.4. Kinetics Parameters of Sinter Reduction
4. Sectioning Method Considering the Interference of Chemical Reactions with Diffusion
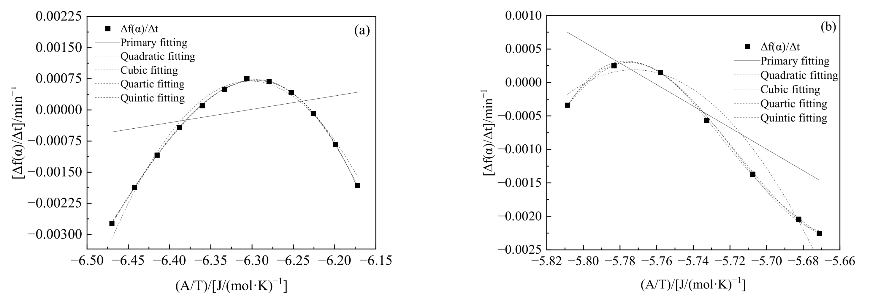
4.1. Interference of Chemical Reactions with Diffusion in the Near-Equilibrium Region
4.2. Equation of Interference of Chemical Reactions with Molecular Diffusion during Sinter Reaction
4.3. Improvement of Mass-Transfer and Diffusion Equation during Sinter Reduction
5. Conclusions
Author Contributions
Funding
Institutional Review Board Statement
Informed Consent Statement
Data Availability Statement
Conflicts of Interest
References
- Chen, Y.B.; Liu, W.G.; Chen, J.S.; Zuo, H.B. Gasification behavior of phosphorus during hydrogen-rich sintering of high-phosphorus iron ore. ISIJ Int. 2022, 62, 496–503. [Google Scholar] [CrossRef]
- Zhang, X.; Wen, Z.; Lou, G.F.; Liu, X.L.; Zheng, K.C. Numerical simulation and parameters analysis on the gas-solid heat transfer process of high temperature sinter. Chin. J. Eng. 2011, 33, 339–345. [Google Scholar]
- Wang, W.; Chen, X.H.; Xu, R.S.; Li, J.; Shen, W.J.; Wang, S.P. Research progress on multiscale structural characteristics and characterization methods of iron ore sinter. J. Iron Steel Res. Int. 2020, 27, 367–379. [Google Scholar] [CrossRef]
- Takeuchi, N.; Iwami, Y.; Higuchi, T.; Nushiro, K.; Oyama, N.; Sato, M. Evaluation of sinter quality for improvement in gas permeability of blast furnace. ISIJ Int. 2014, 54, 791–800. [Google Scholar] [CrossRef]
- El-Geassy, A.A. Gaseous reduction of MgO-doped Fe2O3 compacts with carbonmonoxide at 1173–1473 K. ISIJ Int. 1996, 36, 1328–1337. [Google Scholar] [CrossRef][Green Version]
- Murakami, T.; Kodaira, T.; Kasai, E. Reduction and disintegration behavior of sinter under N2–CO–CO2–H2–H2O gas at 773 K. ISIJ Int. 2015, 55, 1181–1187. [Google Scholar] [CrossRef]
- Wu, K.; She, Y.; Zhu, L.; Zhan, W.L.; Liu, Q.H. Consideration on the subject system of metallurgical reaction engineering. J. Iron Steel Res. 2014, 26, 1–8. [Google Scholar]
- Wu, K.; Zhang, J.Z.; Zhao, Y.; Zhu, L.; She, Y. Research methods on the reaction kinetics of metallurgical reaction engineering. Nonferrous Met. Sci. Eng. 2014, 5, 1–6. [Google Scholar]
- Zhao, Y.; Wu, K.; Pan, W.; Liu, Q.H. Investigaiton of the reduction kinetics process of sinter ore by sectional stepwise method. J. Nort. Univ. Nat. Sci. 2013, 34, 1282–1287. [Google Scholar]
- Huang, X.H. Principles of Iron and Steel Metallurgy; Metallurgical Industry Press: Beijing, China, 1990. [Google Scholar]
- Angalakuditi, V.B.; Bhadravathi, P.; Gujare, R.; Ayyappan, G.; Singh, L.R.; Baral, S.S. Mineralogical Aspects of Reducing Lump Iron Ore, Pellets, and Sinter with Hydrogen. Metall. Mater. Trans. B 2022, 53, 1036–1065. [Google Scholar] [CrossRef]
- She, Y.; Zhang, W.Z.; Zhan, W.L.; Zhu, L.; Wu, K. Kinetics mechanism of coke solution loss reaction in thermal reserve zone of blast furnace by modified sectioning method. J. Cent. South Uni. Sci. Technol. 2021, 52, 4227–4237. [Google Scholar]
- Zhang, J.L.; Zhang, Y.P.; Li, K.J.; Wang, Y.Z.; Liu, Z.J.; Wang, G.W. Microstructure and phase transformation of a sinter bearing low Ti during reduction. Metall. Mater. Trans. B 2016, 47, 3046–3055. [Google Scholar] [CrossRef]
- Hessling, O.; Fogelström, J.B.; Kojola, N.; Du, S.C. The effect of the endothermic reaction nature on the iron ore pellet reduction using hydrogen. Mater. Trans. B 2022, 53, 1258–1268. [Google Scholar] [CrossRef]
- Dasgupta, S.; Saleem, S.; Srirangam, P.; Auinger, M.; Roy, G.G. A computational study on the reduction behavior of iron ore/carbon composite pellets in both single and multi-layer bed rotary hearth furnace. Mater. Trans. B 2020, 51, 818–826. [Google Scholar] [CrossRef]
- Mousa, E.A.; Ghali, S. Factorial design analysis of reduction of simulated iron ore sinter reduced with CO gas at 1000–1100 °C. Ironmak. Steelmak. 2015, 42, 311–319. [Google Scholar] [CrossRef]
- Wu, K.; She, Y.; Liu, Q.H.; Zhan, W.L. Consideration on properties of coke and coke deterioration after large-scale blast furnace. Iron Steel 2017, 52, 1–12. [Google Scholar]
- Naito, M.; Takeda, K.; Matsui, Y. Ironmaking technology for the last 100 years: Deployment to advanced technologies from introduction of technological know-how, and evolution to next-generation process. ISIJ Int. 2015, 55, 7–35. [Google Scholar] [CrossRef]
- Hessien, M.M.; Kashiwaya, Y.; Ishii, K.; Nasr, M.I.; El-Geassy, A.A. Characterisation of iron ore sinter and its behaviour during non-isothermal reduction conditions. Ironmak. Steelmak. 2008, 35, 183–190. [Google Scholar] [CrossRef]
- Liu, Q.H.; Yang, S.P.; Wang, C.; Ji, Y.L. Effect of carbon solution-loss reaction on properties of coke in blast furnace. J. Iron Steel Res. Int. 2020, 27, 489–499. [Google Scholar] [CrossRef]
- Ling, Q.; Zhao, H.J.; Chen, L.Y.; Xie, R.L.; Lei, Z.; Zhao, Z.G.; Cui, P. A comparison study of existence forms of Fe species in coke for solution loss reaction of carbon. J. Iron Steel Res. Int. 2018, 25, 692–699. [Google Scholar] [CrossRef]
- Chang, Z.Y.; Jiao, K.X.; Zhang, J.L.; Ning, X.J. Insights into accumulation behavior of harmful elements in cohesive zone with reference to its influence on coke. ISIJ Int. 2019, 59, 1796–1800. [Google Scholar] [CrossRef]
- Mizoguchi, H.; Suzuki, H.; Hayashi, S. Influence of Mixing Coal Composite Iron Ore Hot Briquettes on Blast Furnace Simulated Reaction Behavior in a Packed Mixed Bed. ISIJ Int. 2011, 51, 1247–1254. [Google Scholar] [CrossRef]
- Degroot, S.R.; Mazur, P. Non-Equilibrium Thermodynamics; North-Holland Publishing Company: Amsterdam, The Netherlands, 1962. [Google Scholar]
- Peng, S.; Zhang, Z. The Progress and Application of Linear and Nonlinear Non-Equilibrium Thermodynamics; Chemical Industry Press: Beijing, China, 2006. [Google Scholar]
- Zhai, Y.C. Non-Equilibrium Thermodynamics; Science Press: Beijing, China, 2015. [Google Scholar]
- Zhang, L.; Wu, K.; Du, R.L.; Chao, C.Y.; Xu, D.A. A sectioning method to study the gasification reaction kinetics of semicoke with CO2. Chin. J. Eng. 2016, 38, 1539–1545. [Google Scholar]
- Du, R.L.; Wu, K.; Xu, D.A.; Chao, C.Y.; Zhang, L.; Du, X.D. A modified Arrhenius equation to predict the reaction rate constant of Anyuan pulverized-coal pyrolysis at different heating rates. Fuel Process. Technol. 2016, 148, 295–301. [Google Scholar] [CrossRef]
- Wang, W.Z.; Zhan, W.L.; Liu, X.; Liu, Q.H.; Yu, Y.C.; Wu, K. High temperature reaction characteristics of coke in blast furnace. Nonferrous Met. Sci. Eng. 2014, 5, 9–13. [Google Scholar]
- Zhai, Y.C.; Wang, J.X. Study of manganese oxide reduction in slag-metal phase through thermodynamics of irreversible process. Acta Metall. Sin. 2004, 40, 305–308. [Google Scholar]






| Cokes | M40 | M10 | CSR (Coke Strength after Reaction) | CRI (Coke Reactivity Index) | Ash | Volatile | Moisture | S |
|---|---|---|---|---|---|---|---|---|
| Coke A | 83.3 | 6.5 | 67.7 | 22.6 | 12.8 | 0.88 | 1.3 | 0.75 |
| Coke B | 78.2 | 7.6 | 60.3 | 29.9 | 13.1 | 1.27 | 9.0 | 0.80 |
| Coke C | 81.8 | 7.5 | 57.9 | 31.9 | 13.2 | 1.08 | 10 | 0.79 |
| Composition | TFe | TMn | FeO | SiO2 | TiO2 | MgO | CaO | Al2O3 |
|---|---|---|---|---|---|---|---|---|
| Percentage | 51.49 | 0.22 | 8.63 | 7.47 | 0.17 | 2.00 | 14.81 | 2.12 |
| Sample No. | Gas Ratio % | Granularity /mm | BF Materials/g | Charging Method | ||||||
|---|---|---|---|---|---|---|---|---|---|---|
| N2 | CO | CO2 | Sinter | Coke A | Coke B | Coke C | ||||
| 1 | 1-1 | 70 | 30 | 0 | 10–15 | 180 | 45 | 45 | 0 | Mixed charging |
| 1-2 | 70 | 30 | 0 | 10–15 | 180 | 45 | 22.5 | 22.5 | Mixed charging | |
| 1-3 | 70 | 30 | 0 | 10–15 | 180 | 45 | 15 | 30 | Mixed charging | |
| 2 | 2-1 | 60 | 35 | 5 | 10–15 | 180 | 45 | 22.5 | 22.5 | Mixed charging |
| 2-2 | 60 | 30 | 10 | 10–15 | 180 | 45 | 22.5 | 22.5 | Mixed charging | |
| 2-3 | 60 | 25 | 15 | 10–15 | 180 | 45 | 22.5 | 22.5 | Mixed charging | |
| 3 | 3-1 | 70 | 30 | 0 | 10–15 (coke A) 6–9 (coke B and coke C) | 180 | 45 | 22.5 | 22.5 | Mixed charging |
| 3-2 | 70 | 30 | 0 | 10–15 (coke A) 9–12 (coke B and coke C) | 180 | 45 | 22.5 | 22.5 | Mixed charging | |
| 3-3 | 70 | 30 | 0 | 10–15 (coke A) 12–15 (coke B and coke C) | 180 | 45 | 22.5 | 22.5 | Mixed charging | |
| 4 | 70 | 30 | 0 | 10–15 | 180 | 45 | 22.5 | 22.5 | Layer charging | |
| Sample No. | Chemical-Reaction Model at the Early Stage | Internal-Diffusion Model at the Later Stage | |||
|---|---|---|---|---|---|
| Linear Fitting Equation | Correlation Coefficient r1 | Linear Fitting Equation | Correlation Coefficient r2 | ||
| 1 | 1-1 | y = 0.000985x + 0.0543 | 0.9929 | y = 0.000778x + 0.0496 | 0.9823 |
| 1-2 | y = 0.000789x + 0.0378 | 0.9894 | y = 0.000806x + 0.0576 | 0.9802 | |
| 1-3 | y = 0.000650x + 0.0347 | 0.9974 | y = 0.000838x + 0.0555 | 0.9873 | |
| 2 | 2-1 | y = 0.000535x + 0.0315 | 0.9923 | y = 0.001410x + 0.0848 | 0.9848 |
| 2-2 | y = 0.000529x + 0.0271 | 0.9921 | y = 0.000901x + 0.0588 | 0.9835 | |
| 2-3 | y = 0.000508x + 0.0367 | 0.9929 | y = 0.000677x + 0.0450 | 0.9878 | |
| 3 | 3-1 | y = 0.000894x + 0.0502 | 0.9931 | y = 0.000803x + 0.0509 | 0.9906 |
| 3-2 | y = 0.000931x + 0.0577 | 0.9936 | y = 0.000806x + 0.0459 | 0.9824 | |
| 3-3 | y = 0.000943x + 0.0423 | 0.9943 | y = 0.000745x + 0.0515 | 0.9825 | |
| 4 | y = 0.001250x + 0.0641 | 0.9947 | y = 0.000834x + 0.0569 | 0.9832 | |
| Sample No. | Total Reaction Time/s | Chemical-Reaction Control Time/s | Time Proportion of Chemical-Reaction Control/% | F1 | Slope/tf | Reaction Velocity Constant krea/m·s−1 | |
|---|---|---|---|---|---|---|---|
| 1 | 1-1 | 7200 | 3300 | 45.83 | 0.0543 | 0.000985 | 3.81 × 10−3 |
| 1-2 | 7200 | 2880 | 40.00 | 0.0378 | 0.000789 | 3.05 × 10−3 | |
| 1-3 | 7200 | 3180 | 44.16 | 0.0347 | 0.000650 | 2.51 × 10−3 | |
| 2 | 2-1 | 7200 | 3540 | 49.16 | 0.0315 | 0.000535 | 2.07 × 10−3 |
| 2-2 | 7200 | 3240 | 45.00 | 0.0271 | 0.000529 | 2.04 × 10−3 | |
| 2-3 | 7200 | 3180 | 44.16 | 0.0253 | 0.000508 | 2.01 × 10−3 | |
| 3 | 3-1 | 7200 | 3360 | 46.66 | 0.0502 | 0.000894 | 3.46 × 10−3 |
| 3-2 | 7200 | 3720 | 51.66 | 0.0577 | 0.000931 | 3.60 × 10−3 | |
| 3-3 | 7200 | 3000 | 41.66 | 0.0593 | 0.000943 | 3.84 × 10−3 | |
| 4 | 7200 | 3060 | 42.50 | 0.0641 | 0.001250 | 4.84 × 10−3 | |
| Sample No. | Total Reaction Time/s | Internal-Diffusion Control Time/s | Time Proportion of Internal-Diffusion Rate Control % | F2 | Slope/B | Molecular-Diffusion Coefficient DABP/(m2·s−1) | |
|---|---|---|---|---|---|---|---|
| 1 | 1-1 | 7200 | 3900 | 54.17 | 0.0496 | 0.000778 | 1.73 × 10−6 |
| 1-2 | 7200 | 4320 | 60.00 | 0.0576 | 0.000806 | 1.82 × 10−6 | |
| 1-3 | 7200 | 4020 | 55.84 | 0.0555 | 0.000838 | 1.89 × 10−6 | |
| 2 | 2-1 | 7200 | 3660 | 50.84 | 0.0848 | 0.001410 | 1.85 × 10−5 |
| 2-2 | 7200 | 3960 | 55.00 | 0.0588 | 0.000901 | 3.83 × 10−6 | |
| 2-3 | 7200 | 4020 | 55.84 | 0.0450 | 0.000677 | 3.75 × 10−6 | |
| 3 | 3-1 | 7200 | 3840 | 53.34 | 0.0509 | 0.000803 | 1.30 × 10−6 |
| 3-2 | 7200 | 3480 | 48.34 | 0.0459 | 0.000806 | 1.39 × 10−6 | |
| 3-3 | 7200 | 4200 | 58.34 | 0.0520 | 0.000845 | 1.43 × 10−6 | |
| 4 | 7200 | 4140 | 57.50 | 0.0569 | 0.000834 | 1.15 × 10−6 | |
| Fitted Equation | Sample 1-3 | Correlation Coefficient r3 of 1-3 | Sample 2-1 | Correlation Coefficient r3 of 2-1 |
|---|---|---|---|---|
| Second-order equation | −5.3859 − 1.7093x − 0.1356x2 | 0.9872 | −9.3249 − 3.2309x − 0.2798x2 | 0.9556 |
| Third-order equation | −53.63 − 24.63x − 3.7652x2 − 0.1915x3 | 0.9991 | 588.92 + 309.10x + 54.07x2 + 3.1527x3 | 0.9924 |
| Fourth-order equation | 565.62 + 367.76x + 89.47x2 + 9.6538x3 + 0.3898x4 | 0.9995 | 62032.58 + 42866.91x + 11107.63x2 + 1279.09x3 + 55.23x4 | 0.9969 |
| Fifth-order equation | 39753.62 + 31379.97x + 9905.69x2 + 1563.10x3 + 123.305x4 + 3.8897x 5 | 0.9996 | −7.7017 − 6.7160x − 2.3424x2 − 408497.84x3 − 35616.78x4 − 1242.11x5 | 0.9996 |
| Sample No. | l0 | l1 | l2 | l3 | r3 | |
|---|---|---|---|---|---|---|
| 1 | 1-1 | −44.04 | −20.04 | −3.0325 | −0.1525 | 0.9985 |
| 1-2 | 232.04 | 117.22 | 19.73 | 1.1073 | 0.9972 | |
| 1-3 | −53.63 | −24.63 | −3.7652 | −0.1915 | 0.9991 | |
| 2 | 2-1 | 588.92 | 309.10 | 54.07 | 3.1527 | 0.9924 |
| 2-2 | −85.85 | −47.91 | −8.9035 | −0.5508 | 0.9998 | |
| 2-3 | −21.43 | −9.2661 | −1.3346 | −0.06406 | 0.9957 | |
| 3 | 3-1 | −23.01 | −9.5325 | −1.2983 | −0.05793 | 0.9999 |
| 3-2 | 10.11 | 5.2150 | 0.8910 | 0.0505 | 0.9957 | |
| 3-3 | 66.23 | 30.70 | 4.7428 | 0.2441 | 0.9980 | |
| 4 | −8.0952 | −3.2416 | −0.4224 | −0.01777 | 0.9922 | |
Publisher’s Note: MDPI stays neutral with regard to jurisdictional claims in published maps and institutional affiliations. |
© 2022 by the authors. Licensee MDPI, Basel, Switzerland. This article is an open access article distributed under the terms and conditions of the Creative Commons Attribution (CC BY) license (https://creativecommons.org/licenses/by/4.0/).
Share and Cite
Zhu, L.; Zhan, W.; Su, Y.; Liu, Y.; Wu, K. Investigation of the Reaction Kinetics of a Sinter-Reduction Process in the Thermal Reserve Zone of a Blast Furnace Using a Modified Sectioning Method. Metals 2022, 12, 1259. https://doi.org/10.3390/met12081259
Zhu L, Zhan W, Su Y, Liu Y, Wu K. Investigation of the Reaction Kinetics of a Sinter-Reduction Process in the Thermal Reserve Zone of a Blast Furnace Using a Modified Sectioning Method. Metals. 2022; 12(8):1259. https://doi.org/10.3390/met12081259
Chicago/Turabian StyleZhu, Li, Wenlong Zhan, Yubo Su, Yi Liu, and Keng Wu. 2022. "Investigation of the Reaction Kinetics of a Sinter-Reduction Process in the Thermal Reserve Zone of a Blast Furnace Using a Modified Sectioning Method" Metals 12, no. 8: 1259. https://doi.org/10.3390/met12081259
APA StyleZhu, L., Zhan, W., Su, Y., Liu, Y., & Wu, K. (2022). Investigation of the Reaction Kinetics of a Sinter-Reduction Process in the Thermal Reserve Zone of a Blast Furnace Using a Modified Sectioning Method. Metals, 12(8), 1259. https://doi.org/10.3390/met12081259
