Effect of Ta Content on Scratching Behavior of Ti-Al-Ta-N Coatings on Titanium Substrate
Abstract
:1. Introduction
2. Materials and Methods
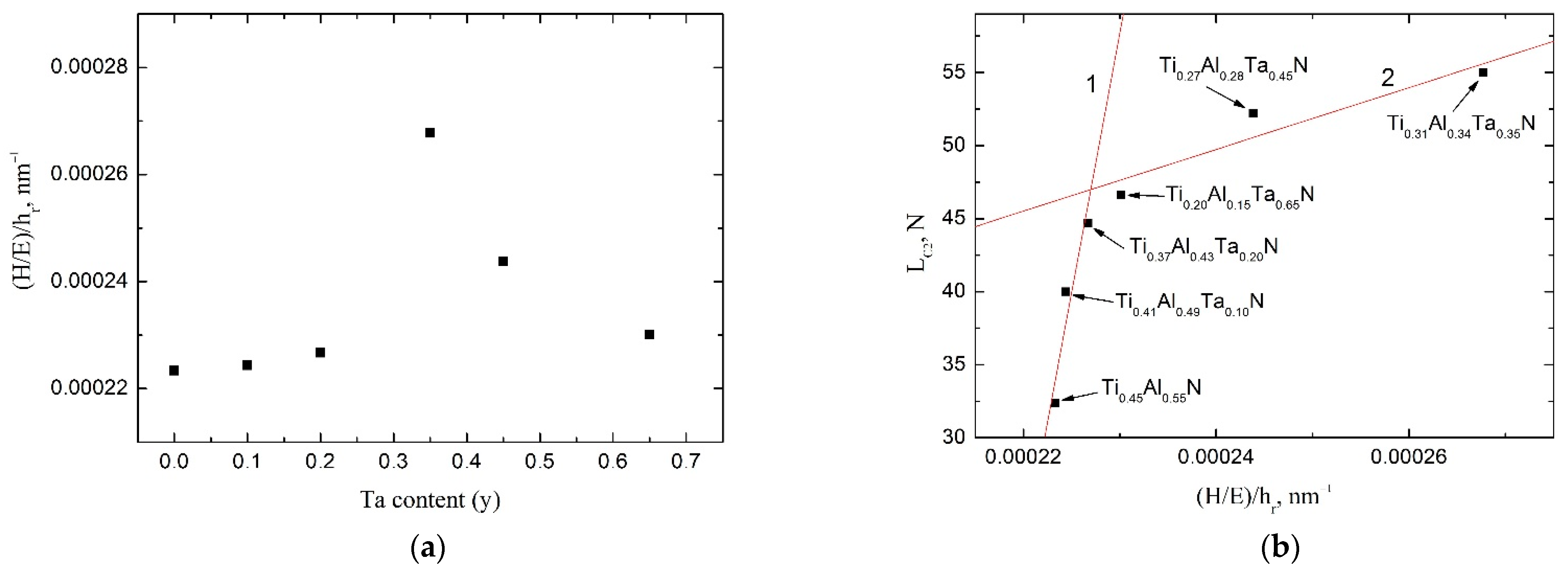
3. Results
4. Conclusions
Author Contributions
Funding
Institutional Review Board Statement
Informed Consent Statement
Data Availability Statement
Acknowledgments
Conflicts of Interest
References
- Leyens, C.; Peters, M. Titanium and Titanium Alloys; Wiley-VCH: Weinheim, Germany, 2003; ISBN 9783527305346. [Google Scholar]
- Lütjering, G.; Williams, J.C. Titanium, 2nd ed.; Springer: Berlin/Heidelberg, Germany, 2007; ISBN 978-3-540-71397-5. [Google Scholar]
- Froes, F.H. Titanium: Physical Metallurgy, Processing, and Applications; EngineeringPro Collection; ASM International: Materials Park, OH, USA, 2015; ISBN 9781627080804. [Google Scholar]
- Miller, P.D.; Holladay, J.W. Friction and wear properties of titanium. Wear 1958, 2, 133–140. [Google Scholar] [CrossRef]
- Qu, J.; Blau, P.J.; Watkins, T.R.; Cavin, O.B.; Kulkarni, N.S. Friction and wear of titanium alloys sliding against metal, polymer, and ceramic counter faces. Wear 2005, 258, 1348–1356. [Google Scholar] [CrossRef]
- Panin, V.E.; Ovechkin, B.B.; Khayrullin, R.R.; Lider, A.M.; Bordulev, Y.S.; Panin, A.V.; Perevalova, O.B.; Vlasov, I.V. Effect of the lattice curvature of Ti-6Al-4V titanium alloy on their fatigue life and fracture toughness. Phys. Mesomech. 2020, 23, 369–375. [Google Scholar] [CrossRef]
- Bai, H.; Zhong, L.; Kang, L.; Liu, J.; Zhuang, W.; Lv, Z.; Xu, Y. A Review on wear-resistant coating with high hardness and high toughness on the surface of titanium alloy. J. Alloys Compd. 2021, 882, 160645. [Google Scholar] [CrossRef]
- Valiev, R.R.; Modina, Y.M.; Selivanov, K.S.; Semenova, I.P.; Khafizova, E.D.; Valiev, R.Z.; Savina, Y.N. Enhanced service properties of a protective coating on a titanium alloy with an ultrafine-grained structure. Mater. Lett. 2021, 305, 130781. [Google Scholar] [CrossRef]
- Yildiz, F.; Yetim, A.F.; Alsaran, A.; Çelik, A.; Kaymaz, I.; Efeoǧlu, I. Plain and fretting fatigue behavior of Ti6Al4V alloy coated with TiAlN thin film. Tribol. Int. 2013, 66, 307–314. [Google Scholar] [CrossRef]
- Yi, P.; Peng, L.; Huang, J. Multilayered TiAlN Films on Ti6Al4V alloy for biomedical applications by closed field unbalanced magnetron sputter ion plating process. Mater. Sci. Eng. C 2016, 59, 669–676. [Google Scholar] [CrossRef]
- Niu, R.; Li, J.; Wang, Y.; Chen, J.; Xue, Q. Structure and high temperature tribological behavior of TiAlN/Nitride duplex treated coatings on Ti6Al4V. Surf. Coat. Technol. 2017, 309, 232–241. [Google Scholar] [CrossRef]
- Shulepov, I.A.; Kashkarov, E.B.; Stepanov, I.B.; Syrtanov, M.S.; Sutygina, A.N.; Shanenkov, I.; Obrosov, A.; Weiß, S. The formation of composite Ti-Al-N coatings using filtered vacuum arc deposition with separate cathodes. Metals 2017, 7, 497. [Google Scholar] [CrossRef] [Green Version]
- Sousa, V.F.C.; da Silva, F.J.G.; Pinto, G.F.; Baptista, A.; Alexandre, R. Characteristics and wear mechanisms of TiAlN-based coatings for machining applications: A comprehensive review. Metals 2021, 11, 260. [Google Scholar] [CrossRef]
- Shugurov, A.R.; Panin, A.V.; Dmitriev, A.I.; Nikonov, A.Y. Multiscale fracture of Ti-Al-N coatings under uniaxial tension. Phys. Mesomech. 2021, 24, 185–195. [Google Scholar] [CrossRef]
- Chen, Y.H.; Roa, J.J.; Yu, C.H.; Johansson-Jõesaar, M.P.; Andersson, J.M.; Anglada, M.J.; Odén, M.; Rogström, L. Enhanced thermal stability and fracture toughness of TiAlN coatings by Cr, Nb and V-alloying. Surf. Coat. Technol. 2018, 342, 85–93. [Google Scholar] [CrossRef]
- Aninat, R.; Valle, N.; Chemin, J.B.; Duday, D.; Michotte, C.; Penoy, M.; Bourgeois, L.; Choquet, P. Addition of Ta and Y in a hard Ti-Al-N PVD coating: Individual and conjugated effect on the oxidation and wear properties. Corros. Sci. 2019, 156, 171–180. [Google Scholar] [CrossRef]
- Li, G.; Li, L.; Han, M.; Luo, S.; Jin, J.; Wang, L.; Gu, J.; Miao, H. The performance of TiAlSiN coated cemented carbide tools enhanced by inserting Ti interlayers. Metals 2019, 9, 918. [Google Scholar] [CrossRef] [Green Version]
- Sangiovanni, D.G.; Chirita, V.; Hultman, L. Toughness enhancement in TiAlN-based quarternary alloys. Thin Solid Film. 2012, 520, 4080–4088. [Google Scholar] [CrossRef] [Green Version]
- Mikula, M.; Plašienka, D.; Sangiovanni, D.G.; Sahul, M.; Roch, T.; Truchlý, M.; Gregor, M.; Čaplovič, L.; Plecenik, A.; Kúš, P. Toughness enhancement in highly NbN-alloyed Ti-Al-N hard coatings. Acta Mater. 2016, 121, 59–67. [Google Scholar] [CrossRef]
- Shugurov, A.R.; Kuzminov, E.D.; Kasterov, A.M.; Panin, A.V.; Dmitriev, A.I. Tuning of mechanical properties of Ti1-xAlxN coatings through Ta alloying. Surf. Coat. Technol. 2020, 382, 125219. [Google Scholar] [CrossRef]
- Kot, M.; Rakowski, W.; Major, Ł.; Lackner, J. Load-bearing capacity of coating–substrate systems obtained from spherical indentation tests. Mater. Des. 2013, 46, 751–757. [Google Scholar] [CrossRef]
- Xian, G.; Zhao, H.-B.; Fan, H.-Y.; Du, H. Structure and mechanical properties of Zr/TiAlN films prepared by plasma-enhanced magnetron sputtering. Rare Met. 2015, 34, 717–724. [Google Scholar] [CrossRef]
- Abadias, G. Stress and preferred orientation in nitride-based PVD coatings. Surf. Coat. Technol. 2008, 202, 2223–2235. [Google Scholar] [CrossRef]
- Pelleg, J.; Zevin, L.Z.; Lungo, S.; Croitoru, N. Reactive-sputter-deposited TiN films on glass substrates. Thin Solid Film. 1991, 197, 117–128. [Google Scholar] [CrossRef]
- Xu, Z.; Zhang, Z.; Bartosik, M.; Zhang, Y.; Mayrhofer, P.H.; He, Y. Insight into the structural evolution during TiN film growth via atomic resolution TEM. J. Alloys Compd. 2018, 754, 257–267. [Google Scholar] [CrossRef]
- Mayrhofer, P.H.; Geier, M.; Löcker, C.; Chen, L. Influence of deposition conditions on texture development and mechanical properties of TiN coatings. Int. J. Mater. Res. 2009, 100, 1052–1058. [Google Scholar] [CrossRef] [Green Version]
- Salamania, J.; Johnson, L.J.S.; Schramm, I.C.; Calamba, K.M.; Boyd, R.; Bakhit, B.; Rogström, L.; Odén, M. Influence of pulsed-substrate bias duty cycle on the microstructure and defects of cathodic arc-deposited Ti1-xAlxN coatings. Surf. Coat. Technol. 2021, 419, 127295. [Google Scholar] [CrossRef]
- Shugurov, A.R.; Nikonov, A.Y.; Dmitriev, A.I. The effect of electron-beam treatment of the deformation behavior of EBAMTi-6Al-4V under scratching. Facta Univ. Ser. Mech. Eng. 2022, 1–13. [Google Scholar] [CrossRef]
- Kobayashi, M.; Doi, Y. TiN and TiC coating on cemented carbides by ion plating. Thin Solid Film. 1978, 54, 67–74. [Google Scholar] [CrossRef]






| Coating | H, GPa | E, GPa | H/E | σ, GPa | hr, Nm |
|---|---|---|---|---|---|
| Ti0.45Al0.55N | 31.2 ± 1.3 | 463 ± 18 | 0.067 | −1.6 | 300 ± 7 |
| Ti0.41Al0.49Ta0.10N | 30.4 ± 1.1 | 434 ± 20 | 0.070 | −3.0 | 312 ± 19 |
| Ti0.37Al0.43Ta0.20N | 29.2 ± 1.4 | 399 ± 18 | 0.073 | −3.5 | 322 ± 16 |
| Ti0.31Al0.34Ta0.35N | 30.9 ± 1.2 | 373 ± 19 | 0.083 | −3.9 | 310 ± 10 |
| Ti0.27Al0.28Ta0.45N | 29.1 ± 1.2 | 368 ± 18 | 0.079 | −3.7 | 324 ± 18 |
| Ti0.20Al0.15Ta0.65N | 28.3 ± 1.2 | 351 ± 15 | 0.081 | −2.1 | 352 ± 14 |
Publisher’s Note: MDPI stays neutral with regard to jurisdictional claims in published maps and institutional affiliations. |
© 2022 by the authors. Licensee MDPI, Basel, Switzerland. This article is an open access article distributed under the terms and conditions of the Creative Commons Attribution (CC BY) license (https://creativecommons.org/licenses/by/4.0/).
Share and Cite
Shugurov, A.; Kuzminov, E. Effect of Ta Content on Scratching Behavior of Ti-Al-Ta-N Coatings on Titanium Substrate. Metals 2022, 12, 1017. https://doi.org/10.3390/met12061017
Shugurov A, Kuzminov E. Effect of Ta Content on Scratching Behavior of Ti-Al-Ta-N Coatings on Titanium Substrate. Metals. 2022; 12(6):1017. https://doi.org/10.3390/met12061017
Chicago/Turabian StyleShugurov, Artur, and Evgenii Kuzminov. 2022. "Effect of Ta Content on Scratching Behavior of Ti-Al-Ta-N Coatings on Titanium Substrate" Metals 12, no. 6: 1017. https://doi.org/10.3390/met12061017
APA StyleShugurov, A., & Kuzminov, E. (2022). Effect of Ta Content on Scratching Behavior of Ti-Al-Ta-N Coatings on Titanium Substrate. Metals, 12(6), 1017. https://doi.org/10.3390/met12061017

