Prediction of Fracture Toughness Scatter Based on Weibull Stress Using Crystal Plasticity Finite Element Method
Abstract
:1. Introduction
2. Crystal Plasticity Theory
2.1. Crystal Plastic Constitutive Model
2.2. Determination of Crystal Slip System
3. Determination of Model Parameters
3.1. Voronoi Model
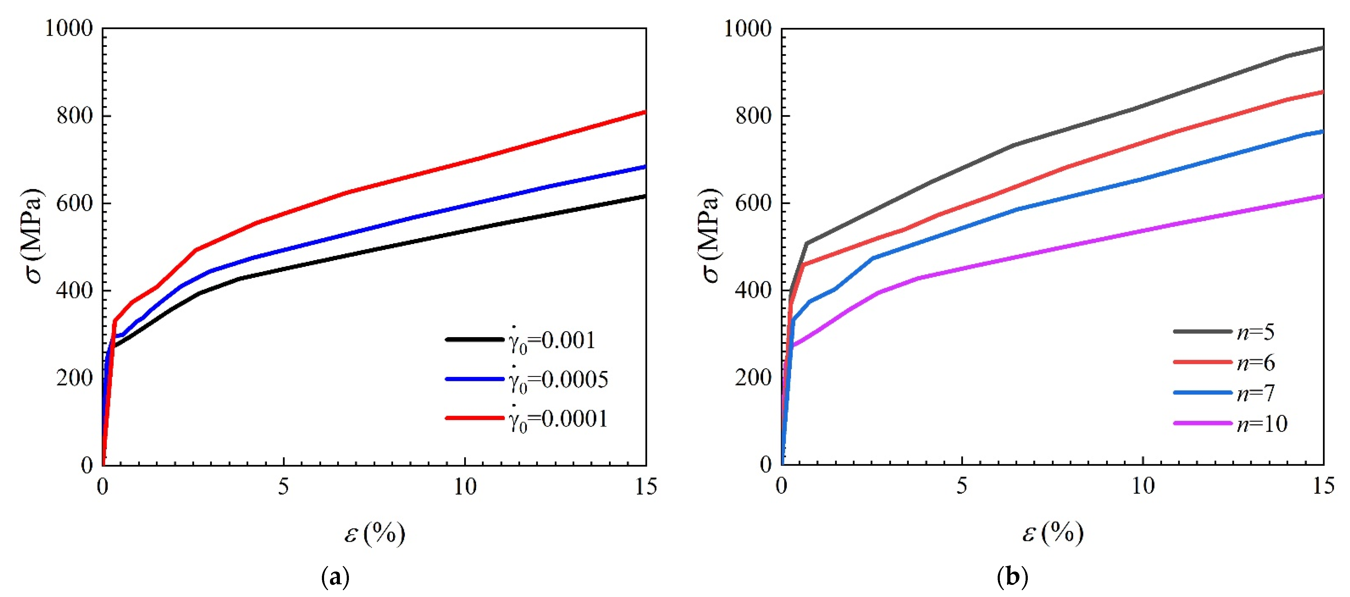
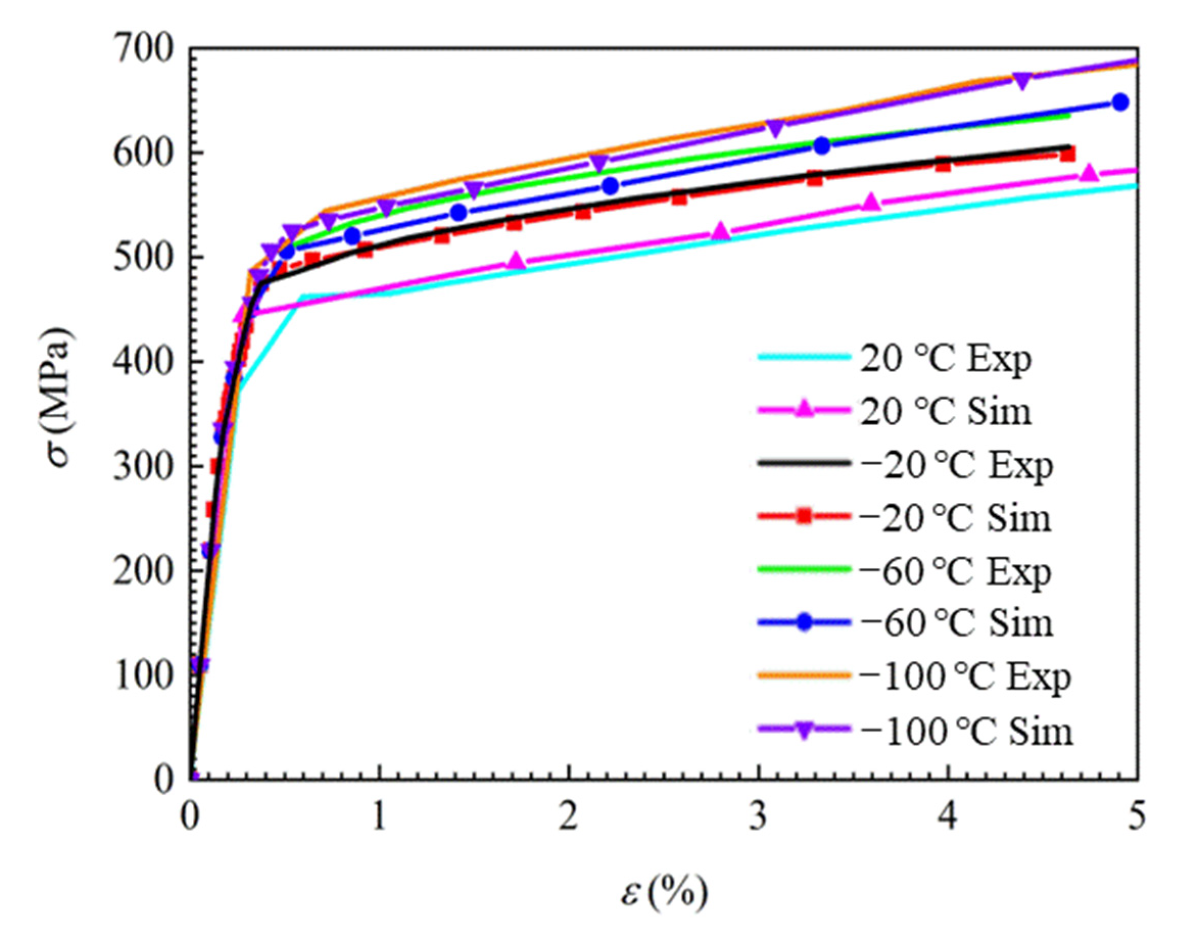
3.2. Tension Simulation
4. Fracture Tests and Simulation
4.1. Material
4.2. Fracture Tests
4.3. Crack Tip Stress Distribution
4.4. Beremin Local Approach to Cleavage Fracture
- (1)
- Create CT specimen models with difference constraints, using CPFEM;
- (2)
- Obtain the fracture toughness scale parameter of 1T-CT and 0.5T-CT, and , based on the existing fracture toughness experimental data with two different restraints;
- (3)
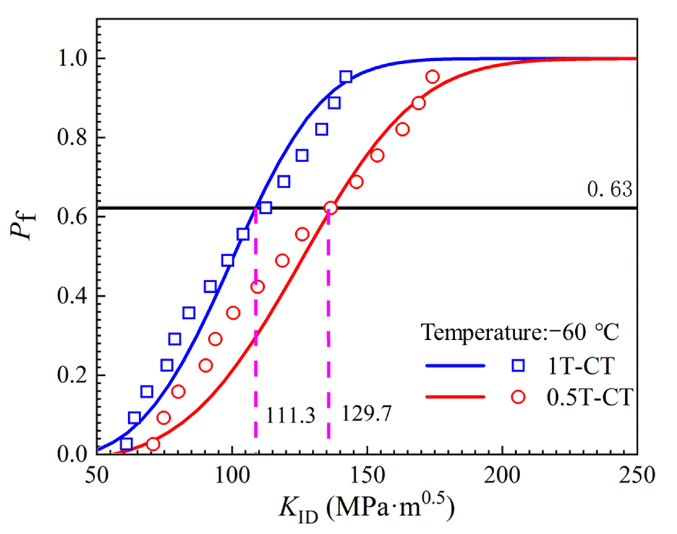
- Assuming multiple values of m, the force F can be determined when the corrected test results equal to or . Then substituting it into the CPFEM model, Weibull stress can be calculated. One can get , while . two m- characteristic curves can be obtained, and the intersection of the characteristic curves is the m value and obtained.
5. Discussions
5.1. Parameter Calibration
5.2. Prediction of Fracture Toughness
6. Conclusions
- (a)
- In order to determine the material parameters in CPFEM, the simulated stress-strain curves are compared with the test results. The calibrated material parameters can agree well with the tensile properties of SA508-III steel at the corresponding temperature.
- (b)
- Several fracture toughness tests were performed at −100 °C to room temperature. The fracture toughness values obtained from the experiment and CPFEM were used to calibrate the relevant parameters of the local method model. Finally, m = 30 and σu = 2590 MPa were obtained, and the fracture toughness conversion between the 0.5T-CT sample and 1T-CT sample was realized.
- (c)
- The cumulative failure probability of fracture toughness was analyzed, and the predicted values of fracture toughness at −20 °C, −60 °C, and −100 °C were obtained when the cumulative failure probability was 0.63. The results show that the predicted fracture toughness values are valid and conform to the Weibull probability distribution.
Author Contributions
Funding
Data Availability Statement
Conflicts of Interest
References
- ASME XI: Rules for Inservice Inspection of Nuclear Power Plant Components; American Society of Mechanical Engineers: New York, NY, USA, 2017.
- Miller, M.K.; Burke, M.G. An atom probe field ion microscopy study of neutron irradiated pressure vessel steels. J. Nucl. Mater. 1992, 195, 68–82. [Google Scholar] [CrossRef]
- Brimbal, D.; Decamps, B.; Barbu, A. Dual-beam irradiation of α-iron: Heterogeneous bubble formation on dislocation loops. J. Nucl. Mater. 2011, 418, 313–315. [Google Scholar] [CrossRef]
- Domain, C.; Becquar, C.S.; Maplerba, L. Simulation of radiation damage in Fealloys: An object kinetic Monte Carlo approach. J. Nucl. Mater. 2004, 335, 121–145. [Google Scholar] [CrossRef]
- Song, Y.X.; Ma, Y.; Chen, H.F.; He, Z.B.; Chen, H.; Zhang, T.H. The effects of tensile and compressive dwells on creep-fatigue behavior and fracture mechanism in welded joint of P92 steel. Mater. Sci. Eng. A 2021, 813, 141129. [Google Scholar] [CrossRef]
- Taylor, G.I. Plastic strain in metals. J. Inst. Met. 1938, 307, 62. [Google Scholar]
- Hill, R.; Rice, J.R. Constitutive analysis od elastic-plastic crystals at arbitrary strain. J. Mech. Phys. Solids. 1972, 20, 401–413. [Google Scholar] [CrossRef]
- Peirce, D.; Asaro, R.J.; Needleman, A. An analysis of nonuniform and localized deformation in ductile single crystals. Acta Metall. 1982, 30, 1087–1119. [Google Scholar] [CrossRef]
- Vorono, G. Nouvelles applications des parametres countinus a la theorie des forms quadratiques. Deuxieme memoire: Recherches sur les parallelloedres primitifs. J. Reine. Angew. Math. 1908, 134, 198–287. [Google Scholar] [CrossRef]
- Wan, Q.; Shu, G.; Wang, R.; Ding, H. Study on microstructure evoltion of SA508-3 steel under proton irradiation. Acta Metall. Sin. 2012, 48, 929–934. [Google Scholar] [CrossRef]
- Li, Y.; Zhou, M. Prediction of fracture toughness of ceramic composites as function of microstructure: I. numerical simulations. J. Mech. Phys. Solids. 2013, 61, 472–488. [Google Scholar] [CrossRef]
- Li, Y.; Zhou, M. Prediction of fracturess toughness of ceramic composites as function of microstructure: II. analytical model. J. Mech. Phys. Solids. 2013, 61, 489–503. [Google Scholar] [CrossRef]
- Vincent, L.; Libert, M.; Marini, B.; Rey, C. Towards a modelling of RPV steel brittle fracture using crystal plasticity computations on polycrystalline aggregates. J. Nucl. Mater. 2010, 406, 91–96. [Google Scholar] [CrossRef]
- Liu, Y.P.; Nie, J.F.; Lin, P.D.; Liu, M.D. Irradiation tensile property and fracture toughness evaluation study of A508-3 steel based on multi-scale approach. Ann. Nucl. Energy 2020, 138, 107157. [Google Scholar] [CrossRef]
- Chen, L.R.; Liu, W.B.; Yu, L.; Cheng, Y.Y.; Ren, k.; Sui, H.N.; Yi, X.; Duan, H.L. Probabilistic and constitutive models for ductile-to-brittle transition in steels: A competition between cleavage and ductile fracture. J. Mech. Phys. Solids. 2020, 135, 103809. [Google Scholar] [CrossRef]
- Roy, U.; McDowell, D.L.; Zhou, M. Effect of grain orientations on fracture behavior of polycrystalline metals. J. Mech. Phys. Solids. 2021, 151, 104384. [Google Scholar] [CrossRef]
- Beremin, F.M.; Pineau, A.; Mudry, F. A local approach to cleavage fracture of nuclear pressure vessel steel. Metall. Trans. 1983, 14, 2277–2287. [Google Scholar] [CrossRef]
- Mathieu, J.P.; Inal, K.; Berveiller, S.; Diard, O. A micromechanical interpretation of the temperature dependence of Beremin model parameters for french RPV steel. J. Nucl. Mater. 2010, 406, 97–112. [Google Scholar] [CrossRef] [Green Version]
- Qian, G.A.; Lei, W.S. A statistical model of fatigue failure incorporating effects of specimen size and load amplitude on fatigue life. Philos. Mag. 2019, 99, 2089–2125. [Google Scholar] [CrossRef] [Green Version]
- Qian, G.A.; Lei, W.S.; Niffenegger, M.; Gonzalez, V.F. On the temperature independence of statistical model parameters for cleavage fracture in ferritic steels. Philos. Mag. 2018, 98, 959–1004. [Google Scholar] [CrossRef] [Green Version]
- Cao, Y.P.; Hui, H.; Wang, G.Z.; Xuan, F.Z. Inferring the temperature dependence of Beremin cleavage model parameters from the Master Curve. Nucl. Eng. Technol. 2011, 241, 29–45. [Google Scholar] [CrossRef]
- Chang, Y.S.; Kim, J.M.; Ko, H.O. Experimental and numerical investigations on brittle failure probability and ductileresistance property. Int. J. Pres. Ves. Pip. 2005, 85, 647–654. [Google Scholar] [CrossRef]
- Roters, F.; Eisenlohr, P.; Hantcherli, L.; Tjahjanto, D.D.; Bieler, T.R.; Raabe, D. Overvive of constitutive laws, kinematics, homogenization and multiscale in crystal plasticity finite-element modeling: Theory, experiments, applications. Acta Mater. 2010, 58, 1152–1211. [Google Scholar] [CrossRef]
- Asaro, R.J. Micromechanics of crystals and pilycrystals. Adv. Appl. Mech. 1983, 23, 1–115. [Google Scholar]
- Zhang, C.; Zhang, W.L.; Shen, W.F.; Xia, Y.N.; Yan, Y.T. 3D Crystal Plasticity Finite Element Modeling of the Tensile Deformation of Polycrystalline Ferritic Stainless Steel. Acta. Metall. Sin. 2017, 30, 79–88. [Google Scholar] [CrossRef] [Green Version]
- Tikhovskiy, I.; Raabe, D.; Roters, F. 159 A practical method for simulation of deep cup-drawing based on crystal plasticity model. Scr. Mater. 2006, 54, 1537. [Google Scholar] [CrossRef]
- He, X.K.; Bai, T.; Liu, Z.D. Effect of Heating Rate and Cooling Mode on Austenite Grain Size of 508-3 Steel. Hot Work. Technol. 2013, 42, 204–205. [Google Scholar]
- ASTM E8/E8M-16ae1; Standard Test Methods for Tension Testing of Metallic Materials. ASTM International: West Conshohocken, PA, USA, 2017.
- Huang, Y.G. A User-Material Subroutine Incorporating Single Crystal Plasticity in the ABAQUS Finite Element Program; Harvard: Harvard University Report, MECH178; Harvard University: Cambridge, MA, USA, 1991. [Google Scholar]
- Raabe, D.; Wang, Y.; Roters, F. Crystal Plasticity Simulation Study on the Influence of Texture on Earing in Steel. In Proceedings of the 3 Computational Microstructure Evolution in Steels: Papers from Symposium of the Materials Science and Technology 2004 Meeting, New Orleans, LA, USA, 26–30 September 2005; Elsevier: Amsterdam, The Netherlands, 2005; p. 221. [Google Scholar]
- Ahn, Y.S.; Kim, H.D.; Byun, T.S.; Oh, Y.J.; Kim, G.M.; Hong, J.H. Application of intercritical heat treatment to improve toughness of SA508 Cl. 3 reactor pressure vessel steel. Nucl. Eng. Technol. 1999, 194, 161–177. [Google Scholar] [CrossRef]
- ASTM E1820; Standard Test Method for Measurement of Fracture Toughness. ASTM International: New York, NY, USA, 2018.
- Cai, L.X.; Liu, Y.J.; Ye, Y.M.; Niu, Q.Y. Uniaxial Ratcheting Behavior of Stainless Steels: Experiments and Modeling. Key. Eng. Mater. 2004, 274–276, 823–828. [Google Scholar] [CrossRef]
- Lee, B.S.; Kim, M.C.; Kim, M.W.; Yoon, J.H.; Hong, J.H. Master curve techniques to evaluate an irradiation embrittlement of nuclear reactor pressure vessels for a long-term operation. Int. J. Pres. Ves. 2008, 85, 593–599. [Google Scholar] [CrossRef]
- Mathieu, J.P. Analyse et Modélisation Micromécanique du Comportement et dela Rupture Fragile de L’acier 16MND5: Prise en Compte des Hétérogénéités Microstructurales. Ph.D. Thesis, ENSAM Metz, Metz, France, 2006. [Google Scholar]
- Griffith, A.A. The phenomena of rupture and flow in solids. Philos. Trans. R. Soc. Lond. 1920, 221, 163–198. [Google Scholar]
- Li, Y.B.; Zhu, L.Y.; Zhou, M.J.; Lei, Y.B.; Wang, W.H.; He, Z.B.; Gao, Z.L. Weibull stress solutions for 2D cracks under mode II loading. Int. J. Fract. 2020, 225, 31–45. [Google Scholar] [CrossRef]
- Zhou, H.H.; Zhong, W.H.; Ning, G.S.; Liu, H.; Yang, W. Size effect on fracture toughness of A508-3 steel predicted by using beremin model. At. Energy Sci. Technol. 2022, 56, 185–192. [Google Scholar]





















| lip plane | 11 | 01 | 10 | 01 | 11 | 10 | 1 | 10 | 10 | 01 | 10 | 10 |
| lip plane | 21 | 21 | 11 | 1 | 1 | 21 | 12 | 2 | 2 | 2 | ||
| Temperature (°C) | Slip System | C11 (GPa) | C22 (GPa) | C44 (GPa) | h0 (MPa) | n | |||
|---|---|---|---|---|---|---|---|---|---|
| 20 | {110} <111> | 236 | 134 | 119 | 155 | 100 | 65 | 5 | 0.001 |
| −20 | {112} <111> | 236 | 134 | 119 | 200 | 130 | 100 | 20 | 0.001 |
| −60 | {112} <111> | 236 | 134 | 119 | 200 | 140 | 100 | 17 | 0.001 |
| −100 | {112} <111> | 236 | 134 | 119 | 200 | 155 | 100 | 15 | 0.001 |
| Element | C | Si | Mn | Ni | Cr | Mo | P | S | Cu | V |
|---|---|---|---|---|---|---|---|---|---|---|
| Content | 0.240 | 0.081 | 1.350 | 0.820 | 0.160 | 0.510 | 0.008 | ≤0.001 | 0.017 | 0.003 |
Publisher’s Note: MDPI stays neutral with regard to jurisdictional claims in published maps and institutional affiliations. |
© 2022 by the authors. Licensee MDPI, Basel, Switzerland. This article is an open access article distributed under the terms and conditions of the Creative Commons Attribution (CC BY) license (https://creativecommons.org/licenses/by/4.0/).
Share and Cite
He, Z.; Li, C.; Li, Y.; Jin, W.; Gao, Z. Prediction of Fracture Toughness Scatter Based on Weibull Stress Using Crystal Plasticity Finite Element Method. Metals 2022, 12, 872. https://doi.org/10.3390/met12050872
He Z, Li C, Li Y, Jin W, Gao Z. Prediction of Fracture Toughness Scatter Based on Weibull Stress Using Crystal Plasticity Finite Element Method. Metals. 2022; 12(5):872. https://doi.org/10.3390/met12050872
Chicago/Turabian StyleHe, Zhibo, Chen Li, Yuebing Li, Weiya Jin, and Zengliang Gao. 2022. "Prediction of Fracture Toughness Scatter Based on Weibull Stress Using Crystal Plasticity Finite Element Method" Metals 12, no. 5: 872. https://doi.org/10.3390/met12050872
APA StyleHe, Z., Li, C., Li, Y., Jin, W., & Gao, Z. (2022). Prediction of Fracture Toughness Scatter Based on Weibull Stress Using Crystal Plasticity Finite Element Method. Metals, 12(5), 872. https://doi.org/10.3390/met12050872

