Numerical and Theoretical Investigation on the Load-Carrying Capacity of Bolted Ball-Cylinder Joints with High-Strength Steel at Elevated Temperatures
Abstract
:1. Introduction
2. Finite Element Model
2.1. BBC Joint at Ambient Temperature
2.2. Verification of FE Model at Ambient Temperature
2.3. FE Model Considering Engineering Practice
2.4. Constitutive Model for Steel at Elevated Temperature
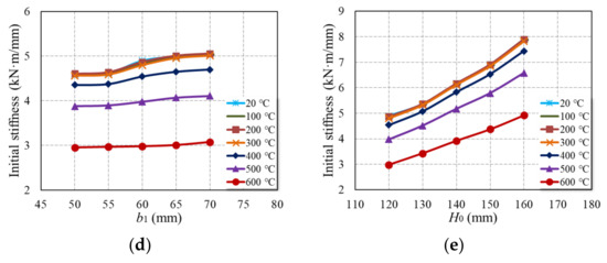
3. Parametric Study
3.1. Specimens
3.2. Joints under Compression
3.3. Joints under Tension
3.4. Joints under Positive Bending
3.5. Joints under Negative Bending
4. Theoretical Analysis
4.1. Effects of Elevated Temperatures on the Capacities of BBC Joints
4.2. Design Method
4.3. Verification of the Design Method
5. Conclusions
- (1)
- By comparing to experimental results, the FE model developed in this study is reasonable and accurate. A refined FE model was developed to account for the influence of loading plates on joint behavior and the effect of elevated temperature on steel material properties.
- (2)
- If the temperature is equal to or lower than 300 °C, its effects on the initial stiffness and ultimate capacity of joints are insignificant. Nevertheless, with a further increase in temperature, the initial stiffness and ultimate capacity notably deteriorate.
- (3)
- Effects of circular tube size (i.e., thickness, diameter and height) in a joint and beam size (i.e., height and width) on the initial stiffness and ultimate capacity of BBC joints are investigated. In general, reducing the height and increasing the thickness of the circular tube have significant effects on enhancing the initial stiffness and ultimate capacity.
- (4)
- Design methods are proposed to estimate the ultimate capacity of BBC joints at elevated temperatures. Verification shows that the design method has suitable accuracy for joints under the loading scenarios of compression, tension, positive bending and negative bending.
Author Contributions
Funding
Institutional Review Board Statement
Informed Consent Statement
Data Availability Statement
Acknowledgments
Conflicts of Interest
References
- Chilton, J. Space Grid Structures; Routledge: London, UK, 1999. [Google Scholar]
- Ma, H.; Fan, F.; Wen, P.; Zhang, H.; Shen, S. Experimental and numerical studies on a single-layer cylindrical reticulated shell with semi-rigid joints. Thin-Walled Struct. 2015, 86, 1–9. [Google Scholar] [CrossRef]
- Xiong, Z.; Li, X.-H.; Liang, J.-C.; Li, L.-J. A multi-objective hybrid algorithm for optimization of grid structures. Int. J. Appl. Mech. 2018, 10, 1850009. [Google Scholar] [CrossRef]
- Han, Q.-H.; Liu, X.-L. Ultimate bearing capacity of the welded hollow spherical joints in spatial reticulated structures. Eng. Struct. 2004, 26, 73–82. [Google Scholar] [CrossRef]
- Chenaghlou, M.R.; Nooshin, H. Axial force–bending moment interaction in a jointing system part I: (Experimental study). J. Constr. Steel Res. 2015, 113, 261–276. [Google Scholar] [CrossRef]
- Ahmadizadeh, M.; Maalek, S. An investigation of the effects of socket joint flexibility in space structures. J. Constr. Steel Res. 2014, 102, 72–81. [Google Scholar] [CrossRef]
- Xiong, Z.; Guo, X.; Luo, Y.; Zhu, S.; Liu, Y. Experimental and numerical studies on single-layer reticulated shells with aluminium alloy gusset joints. Thin-Walled Struct. 2017, 118, 124–136. [Google Scholar] [CrossRef]
- Ebadi-Jamkhaneh, M.; Ahmadi, M. Comprehensive investigations of the effect of bolt tightness on axial behavior of a MERO joint system: Experimental, FEM, and soft computing approaches. J. Struct. Eng. 2021, 147, 04021197. [Google Scholar] [CrossRef]
- Han, Q.; Liu, Y.; Xu, Y.; Li, Z. Mechanical behaviours of assembled hub joints subjected to axial loads. J. Constr. Steel Res. 2019, 153, 667–685. [Google Scholar] [CrossRef]
- Xiong, Z.; Guo, X.; Luo, Y.; Zhu, S. Elasto-plastic stability of single-layer reticulated shells with aluminium alloy gusset joints. Thin-Walled Struct. 2017, 115, 163–175. [Google Scholar] [CrossRef]
- Guo, X.; Huang, Z.; Xiong, Z.; Yang, S.; Peng, L. Experimental studies on behaviour of bolted ball-cylinder joints under axial force. Steel Compos. Struct. 2016, 21, 137–156. [Google Scholar] [CrossRef]
- Guo, X.; Zeng, Q.; Zhu, S.; Huang, Z. Bearing capacity of bolted ball-cylinder joint under uniaxial tensile force. Structures 2020, 28, 562–576. [Google Scholar] [CrossRef]
- Zeng, Q.; Guo, X.; Huang, Z.; Zong, S. Uniaxial compression bearing capacity of bolted ball-cylinder joint. Eng. Struct. 2019, 183, 976–986. [Google Scholar] [CrossRef]
- Feng, W.; Liu, F.; Yang, F.; Li, L.; Jing, L. Experimental study on dynamic split tensile properties of rubber concrete. Constr. Build. Mater. 2018, 165, 675–687. [Google Scholar] [CrossRef]
- Liu, F.; Chen, G.; Li, L.; Guo, Y. Study of impact performance of rubber reinforced concrete. Constr. Build. Mater. 2012, 36, 604–616. [Google Scholar] [CrossRef]
- Xiong, Z.; Lin, L.; Qiao, S.; Li, L.; Li, Y.; He, S.; Li, Z.; Liu, F.; Chen, Y. Axial performance of seawater sea-sand concrete columns reinforced with basalt fibre-reinforced polymer bars under concentric compressive load. J. Build. Eng. 2022, 47, 103828. [Google Scholar] [CrossRef]
- Xiong, Z.; Mai, G.; Qiao, S.; He, S.; Zhang, B.; Wang, H.; Zhou, K.; Li, L. Fatigue bond behaviour between basalt fibre-reinforced polymer bars and seawater sea-sand concrete. Ocean. Coast. Manag. 2022, 218, 106038. [Google Scholar] [CrossRef]
- Jin, M.; Zhao, J.; Liu, M.; Chang, J. Parametric analysis of mechanical behavior of steel planar tubular truss under fire. J. Constr. Steel Res. 2011, 67, 75–83. [Google Scholar] [CrossRef]
- Ban, H.; Zhou, G.; Yu, H.; Shi, Y.; Liu, K. Mechanical properties and modelling of superior high-performance steel at elevated temperatures. J. Constr. Steel Res. 2021, 176, 106407. [Google Scholar] [CrossRef]
- Qiang, X.; Bijlaard, F.; Kolstein, H. Dependence of mechanical properties of high strength steel S690 on elevated temperatures. Constr. Build. Mater. 2012, 20, 73–79. [Google Scholar] [CrossRef]
- EN 1993-1-2; Eurocode 3: Design of Steel Structures-Part 1–2: General Rules-Structural Fire Design. European Committee for Standardization: Brussels, Belgium, 2005.
- GB 51249-2017; Code for Fire Safety of Steel Structures in Buildings. China Planning Press: Beijing, China, 2017. (In Chinese)
- Tartaglia, R.; D’Aniello, M.; Wald, F. Behaviour of seismically damaged extended stiffened end-plate joints at elevated temperature. Eng. Struct. 2021, 247, 113193. [Google Scholar] [CrossRef]
- Bączkiewicz, J.; Malaska, M.; Pajunen, S.; Heinisuo, M. Parametric study on axially loaded square hollow section T-joints at elevated temperature. Fire Saf. J. 2021, 122, 103359. [Google Scholar] [CrossRef]
- Ozyurt, E. Finite element study on axially loaded reinforced Square Hollow Section T-joints at elevated temperatures. Thin-Walled Struct. 2020, 148, 106582. [Google Scholar] [CrossRef]
- Azari-Dodaran, N.; Ahmadi, H. Structural behavior of right-angle two-planar tubular TT-joints subjected to axial loadings at fire-induced elevated temperatures. Fire Saf. J. 2019, 108, 102849. [Google Scholar] [CrossRef]
- Dassault Systemes Simulia Corp. ABAQUS; Dassault Systemes Simulia Corp.: Johnston, RI, USA, 2016. [Google Scholar]
- GB/T 228.1-2010; Metallic Materials—Tensile Testing—Part 1: Method of Test at Room Temperature. China Quality and Standards Publishing: Beijing, China, 2010. (In Chinese)
- Li, G.; Li, M.; Yin, Y.; Jiang, S. Experimental study on material properties of high strength bolt 20 Mn TiB steel at elevated temperature. China Civ. Eng. J. 2001, 34, 100–104. (In Chinese) [Google Scholar] [CrossRef]























| T (°C) | Steel | High-Strength Bolt | ||
|---|---|---|---|---|
| 20 | 1.00 | 1.00 | 1.00 | 1.00 |
| 100 | 0.98 | 1.00 | 1.00 | 1.00 |
| 200 | 0.95 | 1.00 | 0.97 | 0.99 |
| 300 | 0.91 | 1.00 | 0.86 | 0.87 |
| 400 | 0.84 | 0.91 | 0.70 | 0.69 |
| 500 | 0.73 | 0.71 | 0.51 | 0.49 |
| 600 | 0.50 | 0.45 | 0.32 | 0.32 |
| Joint No. | Variable | D (mm) | t (mm) | H (mm) | b1 (mm) | b2 (mm) | H0 (mm) |
|---|---|---|---|---|---|---|---|
| N1 | N/A | 150 | 10 | 160 | 60 | 26 | 120 |
| N2 | D | 110 | 10 | 160 | 60 | 26 | 120 |
| N3 | 130 | 10 | 160 | 60 | 26 | 120 | |
| N4 | 170 | 10 | 160 | 60 | 26 | 120 | |
| N5 | 190 | 10 | 160 | 60 | 26 | 120 | |
| N6 | t | 150 | 8 | 160 | 60 | 26 | 120 |
| N7 | 150 | 9 | 160 | 60 | 26 | 120 | |
| N8 | 150 | 11 | 160 | 60 | 26 | 120 | |
| N9 | 150 | 12 | 160 | 60 | 26 | 120 | |
| N10 | H | 150 | 10 | 120 | 60 | 26 | 120 |
| N11 | 150 | 10 | 130 | 60 | 26 | 120 | |
| N12 | 150 | 10 | 140 | 60 | 26 | 120 | |
| N13 | 150 | 10 | 150 | 60 | 26 | 120 | |
| N14 | b1 | 150 | 10 | 160 | 50 | 26 | 120 |
| N15 | 150 | 10 | 160 | 55 | 26 | 120 | |
| N16 | 150 | 10 | 160 | 65 | 26 | 120 | |
| N17 | 150 | 10 | 160 | 70 | 26 | 120 | |
| N18 | H0 | 150 | 10 | 160 | 60 | 26 | 130 |
| N19 | 150 | 10 | 160 | 60 | 26 | 140 | |
| N20 | 150 | 10 | 160 | 60 | 26 | 150 | |
| N21 | 150 | 10 | 160 | 60 | 26 | 160 |
| Specimen | D (mm) | t (mm) | H (mm) | b1 (mm) | H0 (mm) |
|---|---|---|---|---|---|
| EJ1 | 130 | 8 | 120 | 60 | 120 |
| EJ2 | 170 | 12 | 120 | 60 | 120 |
| EJ3 | 130 | 8 | 150 | 60 | 120 |
| EJ4 | 170 | 12 | 150 | 60 | 120 |
Publisher’s Note: MDPI stays neutral with regard to jurisdictional claims in published maps and institutional affiliations. |
© 2022 by the authors. Licensee MDPI, Basel, Switzerland. This article is an open access article distributed under the terms and conditions of the Creative Commons Attribution (CC BY) license (https://creativecommons.org/licenses/by/4.0/).
Share and Cite
He, J.; Wu, B.; Wu, N.; Chen, L.; Chen, A.; Li, L.; Xiong, Z.; Lin, J. Numerical and Theoretical Investigation on the Load-Carrying Capacity of Bolted Ball-Cylinder Joints with High-Strength Steel at Elevated Temperatures. Metals 2022, 12, 597. https://doi.org/10.3390/met12040597
He J, Wu B, Wu N, Chen L, Chen A, Li L, Xiong Z, Lin J. Numerical and Theoretical Investigation on the Load-Carrying Capacity of Bolted Ball-Cylinder Joints with High-Strength Steel at Elevated Temperatures. Metals. 2022; 12(4):597. https://doi.org/10.3390/met12040597
Chicago/Turabian StyleHe, Jianian, Baolong Wu, Nianduo Wu, Lexian Chen, Anyang Chen, Lijuan Li, Zhe Xiong, and Jiaxiang Lin. 2022. "Numerical and Theoretical Investigation on the Load-Carrying Capacity of Bolted Ball-Cylinder Joints with High-Strength Steel at Elevated Temperatures" Metals 12, no. 4: 597. https://doi.org/10.3390/met12040597
APA StyleHe, J., Wu, B., Wu, N., Chen, L., Chen, A., Li, L., Xiong, Z., & Lin, J. (2022). Numerical and Theoretical Investigation on the Load-Carrying Capacity of Bolted Ball-Cylinder Joints with High-Strength Steel at Elevated Temperatures. Metals, 12(4), 597. https://doi.org/10.3390/met12040597

