Effect of Cr and Al on Elastic Constants of FeCrAl Alloys Investigated by Molecular Dynamics Method
Abstract
:1. Introduction
2. Methods
3. Results and Discussion
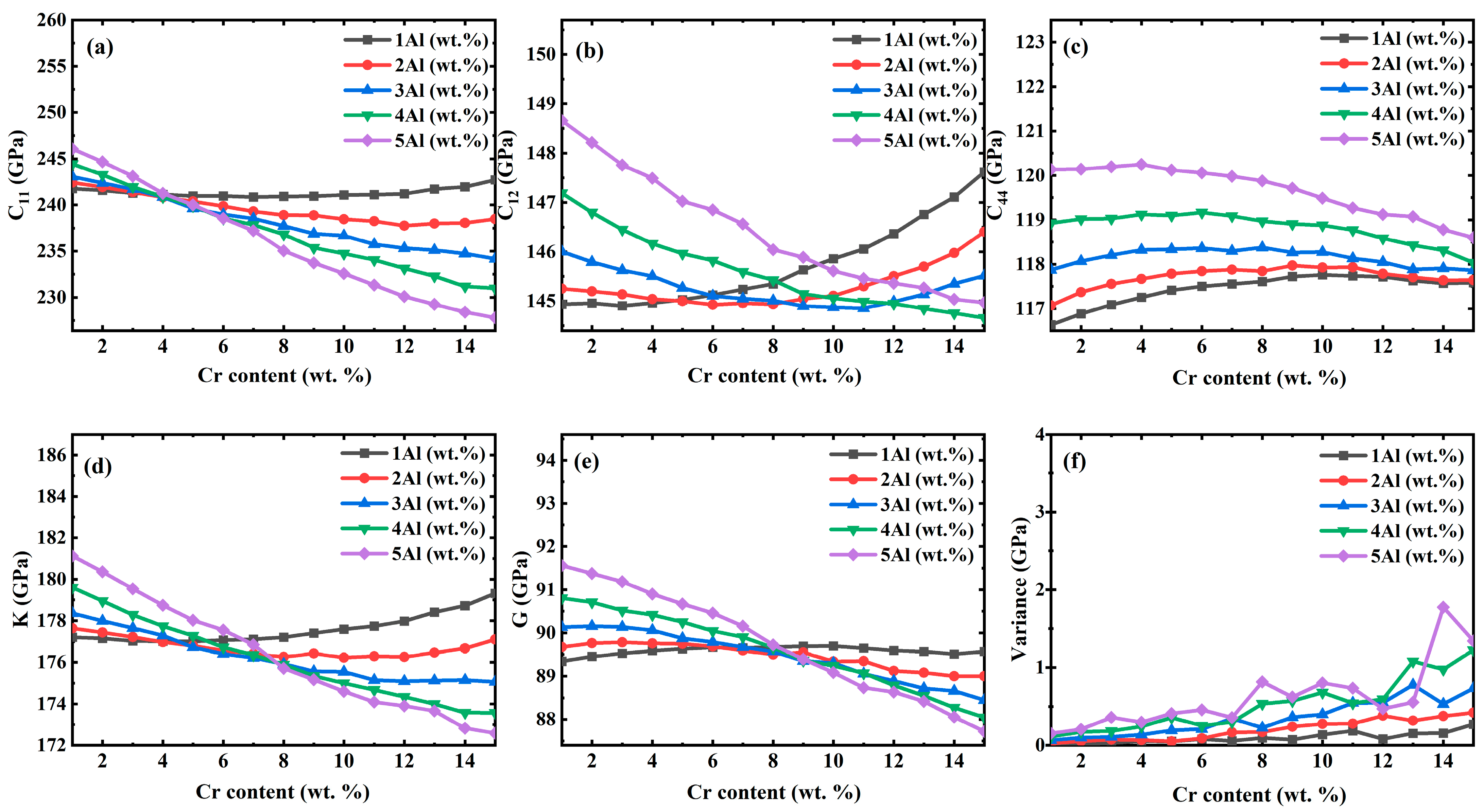
3.1. Dependence of Elastic Constants on Concentration of Cr and Al
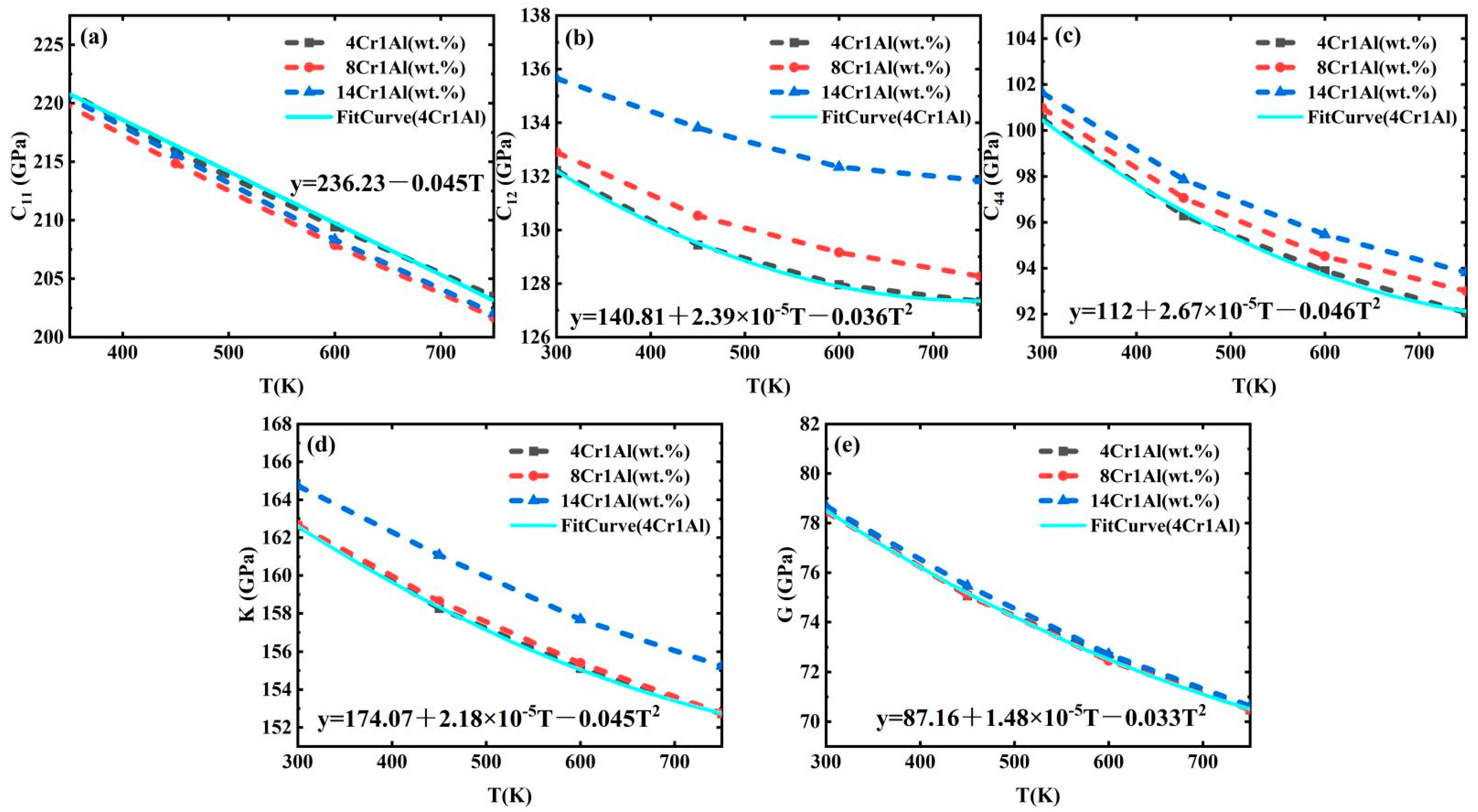
3.2. Dependence of Elastic Constants on Temperature
3.3. Influence of Radiation Defects on Elastic Properties
4. Conclusions
Author Contributions
Funding
Institutional Review Board Statement
Informed Consent Statement
Data Availability Statement
Conflicts of Interest
References
- Badini, C.; Laurella, F. Oxidation of FeCrAl alloy: Influence of temperature and atmosphere on scale growth rate and mechanism. Surf. Coat. Technol. 2001, 135, 291–298. [Google Scholar] [CrossRef]
- Han, X.; Wang, Y.; Peng, S.; Zhang, H. Oxidation behavior of FeCrAl coated Zry-4 under high temperature steam environment. Corros. Sci. 2019, 149, 45–53. [Google Scholar] [CrossRef]
- Briggs, S.A.; Edmondson, P.D.; Littrell, K.C.; Yamamoto, Y.; Howard, R.H.; Daily, C.R.; Terrani, K.A.; Sridharan, K.; Field, K.G. A combined APT and SANS investigation of α′ phase precipitation in neutron-irradiated model FeCrAl alloys. Acta Mater. 2017, 129, 217–228. [Google Scholar] [CrossRef] [Green Version]
- Park, D.J.; Kim, H.G.; Park, J.Y.; Jung, Y.I.; Park, J.H.; Koo, Y.H. A study of the oxidation of FeCrAl alloy in pressurized water and high-temperature steam environment. Corros. Sci. 2015, 94, 459–465. [Google Scholar] [CrossRef]
- Wu, X.; Kozlowski, T.; Hales, J.D. Neutronics and fuel performance evaluation of accident tolerant FeCrAl cladding under normal operation conditions. Ann. Nucl. Energy 2015, 85, 763–775. [Google Scholar] [CrossRef]
- Ukai, S.; Kato, S.; Furukawa, T.; Ohtsuka, S. High-temperature creep deformation in FeCrAl-oxide dispersion strengthened alloy cladding. Mater. Sci. Eng. A 2020, 794, 139863. [Google Scholar] [CrossRef]
- Terrani, K.A.; Zinkle, S.J.; Snead, L.L. Advanced oxidation-resistant iron-based alloys for LWR fuel cladding. J. Nucl. Mater. 2014, 448, 420–435. [Google Scholar] [CrossRef]
- Altıparmak, S.C.; Yardley, V.A.; Shi, Z.; Lin, J. Challenges in additive manufacturing of high-strength aluminium alloys and current developments in hybrid additive manufacturing. Int. J. Lightweight Mater. Manuf. 2021, 4, 246–261. [Google Scholar] [CrossRef]
- Kobayashi, S.; Takasugi, T. Mapping of 475 °C embrittlement in ferritic Fe–Cr–Al alloys. Scr. Mater. 2010, 63, 1104–1107. [Google Scholar] [CrossRef]
- Edmondson, P.D.; Briggs, S.A.; Yamamoto, Y.; Howard, R.H.; Sridharan, K.; Terrani, K.A.; Field, K.G. Irradiation-enhanced α′ precipitation in model FeCrAl alloys. Scr. Mater. 2016, 116, 112–116. [Google Scholar] [CrossRef] [Green Version]
- Chang, K.; Meng, F.; Ge, F.; Zhao, G.; Du, S.; Huang, F. Theory-guided bottom-up design of the FeCrAl alloys as accident tolerant fuel cladding materials. J. Nucl. Mater. 2019, 516, 63–72. [Google Scholar] [CrossRef]
- Gussev, M.N.; Field, K.G.; Yamamoto, Y. Design, properties, and weldability of advanced oxidation-resistant FeCrAl alloys. Mater. Des. 2017, 129, 227–238. [Google Scholar] [CrossRef]
- Thompson, Z.T.; Terrani, K.A.; Yamamoto, Y. Elastic Modulus Measurement of ORNL ATF FeCrAl Alloys; ORNL/TM-2015/632; Materials Science: Oak Ridge, TN, USA, 2015; pp. 1–17. [Google Scholar]
- Liu, Z.; Li, Y.; Shi, D.; Guo, Y.; Li, M.; Zhou, X.; Huang, Q.; Du, S. The development of cladding materials for the accident tolerant fuel system from the Materials Genome Initiative. Scr. Mater. 2017, 141, 99–106. [Google Scholar] [CrossRef]
- Busby, J.T.; Hash, M.C.; Was, G.S. The relationship between hardness and yield stress in irradiated austenitic and ferritic steels. J. Nucl. Mater. 2005, 336, 267–278. [Google Scholar] [CrossRef]
- Speich, G.; Schwoeble, A.; Leslie, W.C. Elastic constants of binary iron-base alloys. Metall. Trans. 1972, 3, 2031–2037. [Google Scholar] [CrossRef]
- Hellier, A.; Palmer, S.; Whitehead, D. An integrated circuit pulse echo overlap facility for measurement of velocity of sound (applied to study of magnetic phase change). J. Phys. E Sci. Instrum. 1975, 8, 352. [Google Scholar] [CrossRef]
- Harmouche, M.; Wolfenden, A. Modulus measurements in ordered Co-Al, Fe-Al, and Ni-Al alloys. J. Test. Eval. 1985, 13, 424–428. [Google Scholar]
- Field, K.G.; Briggs, S.A.; Hu, X.; Yamamoto, Y.; Howard, R.H.; Sridharan, K. Heterogeneous dislocation loop formation near grain boundaries in a neutron-irradiated commercial FeCrAl alloy. J. Nucl. Mater. 2017, 483, 54–61. [Google Scholar] [CrossRef] [Green Version]
- Field, K.G.; Briggs, S.A.; Sridharan, K.; Howard, R.H.; Yamamoto, Y. Mechanical Properties of Neutron-Irradaited Model and Commercial FeCrAl Alloys. J. Nucl. Mater. 2017, 489, 118–128. [Google Scholar] [CrossRef] [Green Version]
- Garner, F.; Toloczko, M.; Sencer, B. Comparison of swelling and irradiation creep behavior of fcc-austenitic and bcc-ferritic/martensitic alloys at high neutron exposure. J. Nucl. Mater. 2000, 276, 123–142. [Google Scholar] [CrossRef]
- Liao, X.; Gong, H.; Chen, Y.; Liu, G.; Liu, T.; Shu, R.; Liu, Z.; Hu, W.; Gao, F.; Jiang, C.; et al. Interatomic potentials and defect properties of Fe–Cr–Al alloys. J. Nucl. Mater. 2020, 541, 152421. [Google Scholar] [CrossRef]
- Miller, A.; Saunders, G.; Yogurtcu, Y. Pressure dependences of the elastic constants of PbTe, SnTe and Ge0.08Sn0.92Te. J. Phys. C Solid State Phys. 1981, 14, 1569. [Google Scholar] [CrossRef]
- Xu, S.; Xie, D.; Liu, G.; Ming, K.; Wang, J. Quantifying the resistance to dislocation glide in single phase FeCrAl alloy. Int. J. Plast. 2020, 132, 102770. [Google Scholar] [CrossRef]
- Voight, W. Lehrbuch der Kristallphysik; Teubner: Leipzig, Germany, 1928. [Google Scholar]
- Yeom, H.; Maier, B.; Johnson, G.; Dabney, T.; Walters, J.; Sridharan, K. Development of cold spray process for oxidation-resistant FeCrAl and Mo diffusion barrier coatings on optimized ZIRLOTM. J. Nucl. Mater. 2018, 507, 306–315. [Google Scholar] [CrossRef]
- Yamamoto, Y.; Sun, Z.; Pint, B.A.; Terrani, K.A. Optimized Gen-II FeCrAl Cladding Production in Large Quantity for Campaign Testing; Oak Ridge National Laboratory: Oak Ridge, TN, USA, 2016. [Google Scholar]
- Wang, R.; Zhang, X.; Wang, H.; Ni, J. Phase diagrams and elastic properties of the Fe-Cr-Al alloys: A first-principles based study. Calphad 2019, 64, 55–65. [Google Scholar] [CrossRef]
- Leibfried, G.; Ludwig, W. Theory of Anharmonic Effects in Crystals, Solid State Physics; Elsevier: Amsterdam, The Netherlands, 1961; pp. 275–444. [Google Scholar]
- Li, D.Z.; Zhang, X.D.; Li, J.; Zhao, L.J.; Wang, F.; Chen, X.Q. Insight into the elastic anisotropy and thermodynamics properties of Tantalum borides. Vacuum 2019, 169, 108883. [Google Scholar] [CrossRef]







| Solute | Fe1Cr1Al | Fe2Cr5Al | Fe5Cr3Al | Fe8Cr5Al | Fe13Cr5Al | ||||||||||
|---|---|---|---|---|---|---|---|---|---|---|---|---|---|---|---|
| Element | Fe | Cr | Al | Fe | Cr | Al | Fe | Cr | Al | Fe | Cr | Al | Fe | Cr | Al |
| wt.% | 98 | 1 | 1 | 93 | 2 | 5 | 92 | 5 | 3 | 87 | 8 | 5 | 82 | 13 | 5 |
| at.% | 97 | 1 | 2 | 88 | 2 | 10 | 89 | 5 | 6 | 82 | 8 | 10 | 77 | 13 | 10 |
| Solute | Fe4Cr1Al(wt.%) | Fe8Cr1Al(wt.%) | Fe14Cr1Al(wt.%) | ||||||
|---|---|---|---|---|---|---|---|---|---|
| Constants | A(GPa) | B(GPa/K) | C(GPa/K2) | A(GPa) | B(GPa/K) | C(GPa/K2) | A(GPa) | B(GPa/K) | C(GPa/K2) |
| C11 | 236.23 | 0.045 | / | 235.63 | 0.045 | / | 236.65 | 0.047 | / |
| C12 | 140.81 | 2.39 × 10−5 | 0.036 | 139.61 | 1.64 × 10−5 | 0.027 | 141.60 | 1.49 × 10−5 | 0.024 |
| C44 | 112 | 2.67 × 10−5 | 0.047 | 112.25 | 2.67 × 10−5 | 0.046 | 112.11 | 2.37 × 10−5 | 0.042 |
| K | 174.07 | 2.18 × 10−5 | 0.045 | 172.68 | 1.52 × 10−5 | 0.038 | 174.18 | 1.35 × 10−5 | 0.035 |
| G | 87.16 | 1.48 × 10−5 | 0.033 | 87.20 | 1.54 × 10−5 | 0.034 | 86.90 | 1.26 × 10−5 | 0.031 |
Publisher’s Note: MDPI stays neutral with regard to jurisdictional claims in published maps and institutional affiliations. |
© 2022 by the authors. Licensee MDPI, Basel, Switzerland. This article is an open access article distributed under the terms and conditions of the Creative Commons Attribution (CC BY) license (https://creativecommons.org/licenses/by/4.0/).
Share and Cite
Dai, H.; Yu, M.; Dong, Y.; Setyawan, W.; Gao, N.; Wang, X. Effect of Cr and Al on Elastic Constants of FeCrAl Alloys Investigated by Molecular Dynamics Method. Metals 2022, 12, 558. https://doi.org/10.3390/met12040558
Dai H, Yu M, Dong Y, Setyawan W, Gao N, Wang X. Effect of Cr and Al on Elastic Constants of FeCrAl Alloys Investigated by Molecular Dynamics Method. Metals. 2022; 12(4):558. https://doi.org/10.3390/met12040558
Chicago/Turabian StyleDai, Hui, Miaosen Yu, Yibin Dong, Wahyu Setyawan, Ning Gao, and Xuelin Wang. 2022. "Effect of Cr and Al on Elastic Constants of FeCrAl Alloys Investigated by Molecular Dynamics Method" Metals 12, no. 4: 558. https://doi.org/10.3390/met12040558
APA StyleDai, H., Yu, M., Dong, Y., Setyawan, W., Gao, N., & Wang, X. (2022). Effect of Cr and Al on Elastic Constants of FeCrAl Alloys Investigated by Molecular Dynamics Method. Metals, 12(4), 558. https://doi.org/10.3390/met12040558

