Abstract
The hollow sand mold can affect the cooling of the casting during the solidification process. A chimney structure of a hollow sand mold that mainly consists of a two-layer shell with through channels was proposed. The design method was proposed for the chimney structure. Due to the chimney effect, cool air can enter the chimney from the bottom entrance, and hot air flows out from its top opening. Air transfers heat from the sand mold and forms a temperature gradient from bottom to top. A hollow sand mold with a chimney structure was applied to the wedge plate casting. During the solidification process, natural cooling and forced air cooling through open channels were applied. The effects of the chimney on the microstructure, mechanical properties, and residual stress of the castings under these two different cooling conditions were analyzed and compared with those of the casting in a dense mold. During the solidification stage of the castings, the chimney structure prolonged their solidification time. After solidification, the chimney structure under forced air condition increased the cooling rate of the castings by 61% and the temperature gradient along the vertical direction by a factor of three. The Si content in the Al matrix increased by 20.4%, and the tensile strength increased by 32.66%.
1. Introduction
In the casting process, the solidification of liquid metals determines the microstructure and mechanical properties of the casting products. There are several traditional methods for controlling the cooling of the casting metals in molds. First, there is the use of risers, internal and external cold iron, etc., the second is to optimize the sand mold structure, the third is forced cooling by means of blowing air, water cooling, etc.
Deng [1] proposed the internal hollow structure to control the cooling of the casting, and the solidification time of the riser surrounded by three layers of cavities was extended by more than 30%, which significantly improved its feeding capability during solidification. Towoju et al. [2] analyzed the effect of cooling channels in sand mold on the properties of cast iron by numerical simulation. The flow of the cooling fluid through the cooling channels during the casting process resulted in different cooling rates and thus temperature differences, indicating different properties within it. Grassi et al. [3,4,5] proposed the ablation casting process in which water is sprayed onto the sand mold to erode away the sand mold and then to cool the casting directly with water. The ablation castings showed a decrease in porosity and an increase in tensile strength. Stets [6] used water spray cooling for the sand mold to control the cooling during the solidification process and studied the effects of the amount of water, the time span, and the sand–iron ratio on the cooling rate. Three-dimensional (3D) printing technology has brought new ideas and applications to the foundry industry. The sand mold and core as well as the castings can be directly manufactured by 3D printing. The combination of 3D printing and casting technologies greatly reduces the production time and improves the manufacturing efficiency [7,8,9,10,11]. Chhabra and Singh [12] revealed the potential applicability to produce copper, brass, and aluminum castings using a ZCast 3D printed mold (ZCast501, Rock Hill, SC, USA). Snelling et al. [13] studied the effects of two different 3D printing materials on the properties of A356 castings.
Compared with traditional manufacturing methods, 3D printing technology can achieve a flexible and free design, thereby allowing the manufacture of more complex structures [14,15]. Wang et al. [16] proposed a constrained topology optimization method for redesigning 3D sand printing. Sama et al. [17] produced complex gating systems using 3D sand printing. Both parabolic and conical helix sprues improved the quality of metal castings. Kang and Shangguan et al. [18,19,20] designed a hollow sand mold composed of a shell layer, functional cavities, and lattice support structure based on 3D printing. Compared with the traditional dense sand mold, the hollow sand mold had a considerably lower weight, and the cooling of castings greatly improved.
The chimney effect is a phenomenon in which air flows automatically along vertically tapered channels driven by the pressure difference between the top and bottom that resulted from the bottom heating. The chimney effect is mainly used for smoke exhaust in industrial production, construction, solar energy, and other fields [21,22,23]. Babin et al. [23] investigated the flow in a chimney, in which the simulation results showed that the inside pressure gradient and temperature gradient of the chimney determine the direction of hot dry air gases because of the variation in density of gas with respect to temperature change.
In the present study, a chimney structure of a hollow sand mold is proposed. The effect of the chimney structure on the A356 alloy specimen casting was investigated.
2. Design of Chimney in Sand Mold
A chimney structure is a through channel from the bottom to the top of a sand mold, as shown in Figure 1. The cooling channels provide three optional operations. First, the cooling media, such as compressed air, water, liquid nitrogen, and dry ice, circulate in the cooling channel to control the cooling of the hollow sand mold. Second, the cooling channel is filled with a liquid medium with the upper and lower openings of the sealed cooling channel. Third, the air from the lower opening to the cavity is heated by the high-temperature molten liquid metal. Hot air naturally rises to form a chimney effect to control the cooling of the hollow sand castings. In this study, the third option is investigated.
Figure 1.
Schematic of the chimney structure.
The design of the chimney structure includes the height and section size.
Under natural ventilation conditions, the natural rising force of the hot air in the chimney is the self-generated ventilation force, which is also known as the natural pumping force. The natural pumping force can be calculated using Equation (1):
where is the natural pumping force, g is the gravity coefficient, and are the densities of the external air and internal hot air, is the external air temperature, is the average temperature of the internal hot air, and is the chimney height.
The resistance of the hot air in the chimney is mainly divided into two aspects. The first resistance is due to the friction of the chimney wall, which can be calculated using Equation (2). The second resistance is caused by the change in the chimney section and direction, which can be calculated by Equation (3).
where is the frictional resistance, is the frictional resistance coefficient, is the characteristic length, , where A is the cross-sectional area of the chimney and P is the perimeter of the chimney section, is the flow velocity of the internal hot air, is the local resistance; and is the local resistance coefficient.
The chimney effect is generated when the natural pumping force of hot air is greater than the resistances in the chimney, as shown in Equation (4).
Therefore, and must satisfy the relationship shown in Equation (5).
3. Creation of the Sand Mold with Chimney Structure
A typical chimney structure used for castings is proposed, as shown in Figure 2. It is the isolated channels between the internal shell mold for holding the liquid metal and external shell mold, which are separated by the reinforced ribs. Kang et al. [18] proposed a generation method for a 3D-printed lattice-reinforced thickness-varying shell mold. This method is revised to generate the chimney structure, as shown in Figure 3. Firstly, the STereoLithography (STL) file of a casting was meshed by a finite difference-based program. Secondly, numerical simulation is performed on the casting with its initial temperature as the pouring temperature and the boundary condition as natural cooling to the environment. It is called virtual heat transfer numerical simulation because the temperature difference of the areas of the casting instead of the temperature values themselves is important. Thus, the temperature distribution of the casting will be obtained. Thirdly, a layer of shell is generated by the adding meshes surrounding the casting. The thickness of the shell is varying, which is determined by the castings’ surface temperature difference: a thick shell for the high-temperature part of the casting, and a thin shell for the low-temperature part. Fourthly, another layer of shell is added outside with a certain distance to the first shell. Reinforcement ribs are added between these two shells, so a series of cooling channels are formed between these two layers of shells and the ribs. The external surfaces of the combined casting and hollow sand mold are extracted and converted to STL format as the external surface of the hollow sand mold. Fifth, the normal directions of the triangles in the STL format of casting are reversed, and these triangles serve as the internal surface of the hollow sand model. Finally, the inner and external surfaces of the hollow sand mold are merged into a whole hollow sand mold as the STL format, which can be directly made by 3D printing.
Figure 2.
Schematic of a typical chimney structure of sand mold for casting. (a) Horizontal cross-section, (b) Vertical cross-section.
Figure 3.
Design flowchart for chimney structure.
4. Heat Transfer Analysis in Chimney
For the convection in the channels, the Nusselt number is first calculated, and then, the convection coefficient h can be calculated using the equation:
where is the thermal conductivity of air, and is the corresponding Nusselt number. The calculation of is different for natural and forced convection.
- (1)
- The calculation of Nusselt number under forced flow
In the convection in the chimney by forced flow, the Nusselt number is calculated as follows [24]:
where C is a constant, is the Reynolds number, and is the Prandtl number calculated by:
where is the kinematic viscosity, and α is the thermal diffusivity of the internal hot air:
where is the specific heat of the internal hot air.
The Reynolds number is calculated as
The Nusselt number in a turbulent flow is calculated as [24]:
- (2)
- The calculation of Nusselt number under natural convection
For natural convection in the chimney, the Nusselt number is calculated by [24]:
where is the Grashof number, and is the Rayleigh number calculated by [24]:
where is the coefficient of volumetric thermal expansion for ideal gas, and is the sand mold surface temperature.
Therefore, the convection heat transfer in the chimney channels is related to the section size of the channels, the temperature of the channel wall, the height of the channel, and its orientation. Increasing the channel wall temperature, height, and section size can improve the chimney effect. For alloys of high melting points, such as cast steel, the chimney effect will be stronger. For big castings, this effect will be stronger.
Therefore, in the chimney structure, the heat flux between the sand mold and the air in the chimney is calculated by Equation (14):
If there was no chimney, the convection heat transfer from the mold wall to the environment is
Thus, it can be seen, in the chimney, that the internal air is heated up gradually from bottom to top compared to the fixed environment temperature. So, the temperature difference between the sand mold and air at the top of the chimney is reduced compared to the convection without the chimney, and then, the convective heat flux of the former is less than the latter. Therefore, it can be said that the cooling capacity of the chimney structure decreases from bottom to top, which is beneficial for the consequence of the casting.
5. Case Study: A Wedge Plate Specimen
For a wedge plate specimen, the influence of the chimney effect by natural and forced air cooling in the channels was studied. The casting process is illustrated in Figure 4. The size of the casting was 300 × 200 × (10–40) mm.
Figure 4.
Schematic of the wedge-shaped plate casting and its sand mold with the chimney. (a) Wedge-shaped plate casting and (b) sand mold with the chimney (unit: mm).
Based on the STL file of the wedge plate casting, a hollow sand mold with a chimney structure was designed, as shown in Figure 5. In the virtual heat transfer simulation, only the thermal properties of the aluminum casting were used, its thermal conductivity is 120 W/(m·K), specific heat is 1200 J/(kg·K), density is 2680 kg/m3, latent heat is 556 kJ/kg, and the heat transfer coefficient of the casting to the environment is 5 W/(m2·K). The connecting ribs were arranged between the shells of sand molds. They divided the chimney into a group of cooling channels with a cross-section of 16 × 16 mm. On the external surface, reinforcing ribs were added horizontally, surrounding the hollow mold to prevent cracks in the mold. A base plate was added at the bottom of the sand mold without sealing the cooling channels and played a supporting role for the mold during pouring. The external air temperature is 25 °C, the internal hot air temperature is supposed to be 400 °C, the air flow rate is 1 m/s, when the characteristic length L = 16 mm. The frictional resistance coefficient [24], and the local resistance coefficient [24]; it is calculated that the chimney effect will only be effective when H ≥ 0.011 m based on Equation (5). The cooling channels are higher than the required critical height; therefore, the chimney effect can play a role during the casting process.
Figure 5.
Designed hollow sand mold with chimneys: (a) overall perspective view and (b) partial sectional view (unit: mm).
Silica sand was used for 3D printing. Its composition is shown in Table 1. The sand grains are clean, roughly round, and transparent with size ranging from 0.14 to 0.25 mm. According to the STL file, two hollow sand molds with chimneys and two traditional dense sand molds were printed by an ExOne-Smax 3D printing machine (ExOne, Gersthofen, Germany) with the binder sprayed on the designated areas of sand bed, as shown in Figure 6. In addition, 1.6%–1.8% furan resin and 0.2% curing agent were used for the printing. The layer thickness was set to 0.25 mm. All molds were single piece with no division into copes and drags.
Table 1.
Composition of the sand used for 3D printing.
Figure 6.
Sand mold fabricated by 3D printing: (a) traditional dense sand mold and (b) hollow sand mold with chimneys.
A traditional dense sand mold was designed for comparison. A geometric comparison of the traditional and hollow sand molds with chimneys is presented in Table 2. The weight of the hollow sand mold was reduced by 23% compared to the dense sand mold.
Table 2.
Comparison of the traditional mold and hollow mold with chimneys.
The A356 aluminum alloy was melted in a crucible in an electrical resistance furnace; its composition is shown in Table 3. Subsequently, the refining and degassing agents, mainly chlorine salts, were pressed into the liquid metal and treated for 5 min. The liquid metal at 700 °C was poured into the sand molds at 25 °C.
Table 3.
Composition of A356 alloy.
Two dense sand molds and two hollow sand molds were poured as two pairs for the casting experiment. One pair of the sand molds was cooled under natural convection. Meanwhile, a dense and a hollow sand mold for the different pairs were cooled differently with the former one cooled naturally and the latter one with forced air cooling from the bottom to enhance the chimney effect, P1DN means dense sand mold of Pair I under natural cooling, P1HN means hollow sand mold of Pair I with chimneys under natural cooling, P2DN means dense sand mold of Pair II under natural cooling, P2HN means hollow sand mold with chimneys of Pair II under forced cooling from bottom, as listed in Table 4. The temperatures at the top, middle, and bottom of the castings and molds were measured by k-type thermocouples. The entire temperature distribution of the mold surface was obtained using an infrared imaging camera. These molds were placed on steel frames for air intake and air blow from the bottom. The on-site pouring experiments of the traditional and hollow sand molds are shown in Figure 7, where an electric fan was placed 200 mm from the bottom of the P2HF mold to simulate an airflow with an air speed of 4 m/s at the entrance.
Table 4.
Casting experiment scheme.
Figure 7.
On-site pouring experiments: (a) natural cooling and (b) forced cooling. (C1 is the test point at the top of the molds, 30 mm from the top of the molds, C2 is the test point at the bottom of the molds, 30 mm from the bottom of the molds.)
A thermal imaging camera (Flir 250, Boston, MA, USA) was used to record the temperature of the sand mold during the casting process. The residual stress of the castings was measured using a X-ray diffraction device (PROTO LXRD, Canada, CA, USA) in the up–down direction. The samples for the metallographic investigation were sliced in the middle in the direction parallel to the horizontal surface. The samples were ground and polished; then, scanning electron microscope (SEM) was performed using an optical microscope (KEYENCE VHX6000, Osaka, Japan). A field emission scanning electron microscope (ZEISS ULTRA 55, Oberkochen, Germany) equipped with energy-dispersive X-ray spectroscopy (EDS) was used to further observe the microstructures and perform composition analysis. Tensile tests were performed on the as-cast samples at room temperature using an universal testing machine (MTS E45.105, Minnesota, MN, USA) with a crosshead speed of 1 mm/min. The yield strength, ultimate tensile strength, and elongation of the samples were measured. Hardness measurements were performed using a Brinell hardness tester (Wolpert Wilson WH574, Norwood, MA, USA). Figure 8 shows the sampling position of test specimens.
Figure 8.
Schematic for the sampling position of the casting specimen. (S1 is the test point at the top of the castings, 50 mm from the top of the castings, S2 is the test point at the middle of the castings, S3 is the test point at the bottom of the castings, 50 mm from the bottom of the castings.)
The specimens obtained from the middle parts of the casting were prepared under as-cast and heat treatment (T6). The T6 heat treatment comprises solution at 535 °C for 4.5 h and then quenching in a water bath at 60 °C, cooling at room temperature for 2 h, and finally, aging at 135 °C for 4 h [25].
6. Results and Discussions
6.1. Temperature Fields of the Hollow Sand Molds and Castings
The thermal images of the sand molds captured by the infrared camera are shown in Figure 9. The temperatures of the dense molds P1DN and P2DN were higher than those of the hollow sand molds P1HN and P2HF during the cooling process, whereby P2HF has the lowest temperature. At 2500 s, the highest temperatures of P1DN, P1HN, and P2HF were 200 °C, 180 °C, and 150 °C, respectively. At 6000 s, they dropped to approximately 130 °C, 110 °C, and 65 °C, respectively. The temperature–time curves of three points on the sand mold surfaces (SP1 is the test point at the top of the molds, 30 mm from the top of the castings, SP2 is the test point at the middle of the castings, SP3 is the test point at the bottom of the castings, 50 mm from the bottom of the castings.) were obtained from the thermal imaging results. Figure 10 shows the thermal histories of the three molds P1DN, P1HN, and P2HF at point SP2. They reached different peaks at 180 °C, 160 °C, and 130 °C, respectively, with that of P2HF being the lowest. Thus, the chimney structure brought heat from the mold to the environment and decreased its temperature; especially, the forced air flowing through the channels of the chimney further decreased it.
Figure 9.
Infrared images of the sand mold during the casting process at (a) 2500 s, (b) 6000 s, (c) 2500 s, and (d) 6000 s.
Figure 10.
Temperature curve of SP2 (Figure 9) of the sand mold.
Figure 11 compares the temperature gradients between the top and bottom of the three kinds of sand molds. P1DN always has the smallest temperature gradient with the maximum value of 0.059 °C/mm. Meanwhile, P2HF has the biggest temperature gradient with the maximum value of 0.32 °C/mm. This result is attributed to the chimney effect of the cooling channels, in which air removes heat from the mold, thereby achieving a gradual reduction in the cooling ability as air flows from bottom to top, as discussed in Section 4. Furthermore, air blowing enhances this effect.
Figure 11.
Temperature gradient between the top (SP1) and bottom (SP3) of the sand mold.
6.2. Effect on the Cooling Time of the Castings
The cooling curves of the upper and lower parts (C1 and C2, as shown in Figure 7) of the castings and their temperature gradient curves under different conditions are shown in Figure 12. The casting of P1DN cooled faster in the early stage (0–1500 s) and slower in the later stage (after 1500 s) than that of P1HN and P2HF. Moreover, the cooling time to 200 °C of the P1HN and P2HF castings was shorter than that of the P1DN casting. During the solidification stage of the castings, P1DN casting has the fastest temperature decrease and the largest temperature gradient between C1 and C2. This is ascribed to the dense and thick sand wall of P1DN, which can absorb a large amount of heat. However, for the P1HN and P2HF castings, the sand mold was relatively thin, and the chill cooling effect was smaller than that of P1DN, resulting in the slow cooling of the casting at the beginning, which increased the solidification time, especially at the top. This trend is beneficial to the sequential solidification of the casting during the casting process, thereby improving the feeding of the casting during solidification. Therefore, at the beginning, the chilling effect of the sand molds dominated the cooling of casting.
Figure 12.
(a) Cooling curves of points C1 and C2 of the castings, (b) Temperature gradient between C1 and C2 of the castings.
However, in the late stage of the casting process, the cooling rates of the P1HN and P2HF castings were significantly higher than those of the castings of P1DN. The temperature gradient of P1DN was almost zero after 2000 s, whereas a temperature gradient of more than 0.15 °C/mm was observed for P1HN and P2HF. As the sand mold was heated up, the chilling effect greatly decreased, so the cooling of the sand mold to the environment dominated the cooling of casting. Thus, the chimney effect of the hollow sand mold took effect, more heat was taken from the mold by the air in the cooling channels, and then, the cooling of the castings in the hollow sand mold was faster than that of P1HN casting in the dense mold. The air flowing from bottom to top in the channels was heated up gradually, so its cooling power decreased gradually, which contributed to the higher temperature gradient of the casting. Under the forced cooling condition, the cooling rate of casting and the temperature gradient were further improved.
6.3. Effect on the Residual Stress
During the casting process, the casting stress is attributed to the uneven cooling. Table 5 lists the residual stresses of the three castings. The residual stress of the upper and middle parts of the casting of P1DN was small with small variations. Those of the P1HN and P2HF castings were bigger than that of P1DN, whereby that of P2HF was the highest. The uniform cooling of the casting of P1DN during the later stage led to less residual stress, whereas the significant temperature gradient of the castings of P1HN and P2HF resulted in greater residual stress. Moreover, the air blowing in P2HF further increased the residual stress, especially when the top was in an extremely high compressive stress state. The cooling rate of C1 (close to S1) of P2HF at the final stage was approximately 3.7 °C/min, while that of P1DN was only 2.3 °C/min. At 1500 s, the temperature difference between C1 and C2 of the P2HF casting is 40 °C. Therefore, the top of P2HF exhibited significant compressive stress under the chimney effect, which was beneficial for the strength.
Table 5.
Residual stress of three castings.
6.4. Effect on Microstructure
Figure 13 shows micrographs of the castings under different sand molds and cooling conditions. The as-cast microstructures of the three castings were similar, consisting of primary dendritic α-(Al) and eutectic phases (α-(Al) and eutectic (Si)) in the inter-dendritic regions. The α-Al matrix was dendrites, and the eutectic Si was fine. The cooling rate of the castings of P1HN and P2HF was accelerated after solidification, and the alloying elements had less time to precipitate from the Al matrix and the solid solution of the alloy increased, as shown in Table 6. The EDS results show that the Si and Mg contents of P1DN in the Al matrix were the lowest, whereas those of P2HF were the highest.
Figure 13.
Optical micrographs of the castings under different conditions. (a) As-cast-P1DN, (b) T6-P1DN, (c) As-cast-P1HN, (d) T6-P1HN, (e) As-cast-P2HF, (f) T6-P2HF.
Table 6.
EDS results of the three castings.
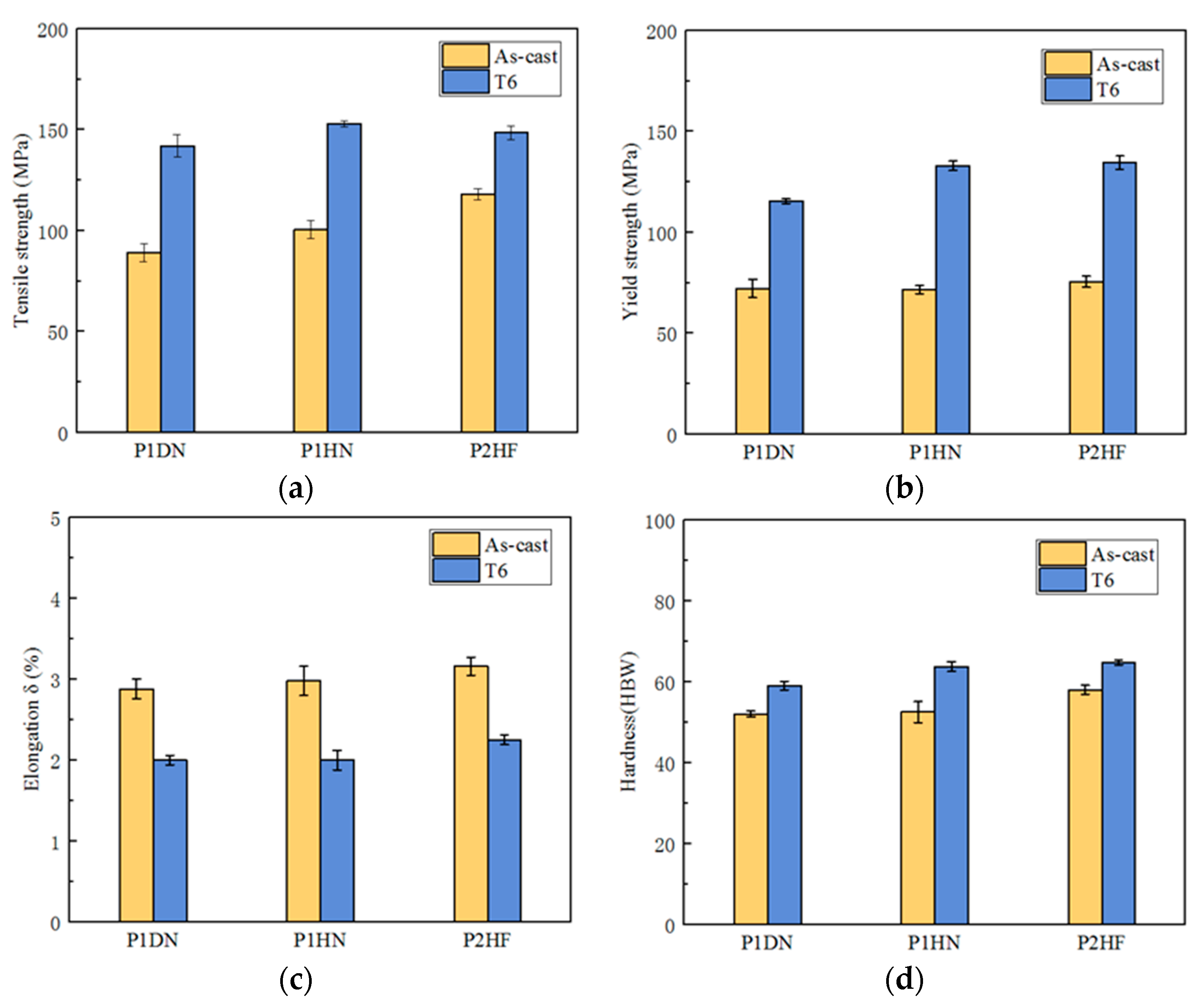
6.5. Effect on Mechanical Property
The mechanical properties of the A356 casting under different conditions before and after T6 heat treatment are compared in Figure 14. For both the as-cast and after-heat treatment samples, the tensile strength, yield strength, elongation, and hardness of the casting with the hollow sand mold (P1HN and P2HF) were higher than those of the casting with dense sand mold (P1DN). For the as-cast state, compared to the casting of P1DN, their properties of P2HF castings increased by 32.65%, 4.50%, 9.72%, and 11.54%, respectively. This is mainly because of the solid solution strengthening by the improved solubility of Si and Mg in the Al matrix in the castings of P1HN and P2HF. Meanwhile, the microhardness of the primary α(Al) is improved, owing to its lattice distortion [26]. In addition, more super-saturated Si and Mg in the Al matrix can significantly reduce the content of the Fe-containing intermetallic compounds such as Al5FeSi and Al + Mg2Si + Si ternary eutectic, because of the insufficient free Mg and Si atoms to supply the eutectic transformation. Therefore, the tensile properties improved [27].
Figure 14.
Mechanical properties of A356 alloys with different sand mold and heat treatments. (a) Tensile strength (Rm), (b) yield strength (Rp 0.2), (c) elongation (EL), and (d) hardness.
The T6 heat treatment improved the tensile, yield strength, and slightly hardness. The mechanical properties of the P1HN and P2HF castings are still higher than those of P1DN casting. The tensile properties of A356 alloys mainly depend on the morphology of eutectic Si, which is a potential site for stress concentration.
6.6. Discussions
The cooling curve of the casting, the temperature gradient of casting (C1 and C2), the thermal history of the sand mold, and its upper and lower temperature differences (SP1 and SP2) are plotted together in Figure 15 for better correlation and comparison. The chimney effect did not work well in the early stages of the casting solidification. This is due to the relatively small mass of the hollow sand molds (P1HN and P2HF), which are 23% lighter than the weight of the dense sand mold, and the lower cooling effect at the beginning. It takes time for the sand mold chimney channel walls to be heated up. However, in the later stage of casting process, the chimney channel walls were heated up, and there was a big temperature difference between the air and the channel wall; then, the chimney effect significantly accelerated the cooling rate of the sand molds and the castings as well. The low chilling power problem can be solved by using a metal mold, and for metal molds, the chimney effects will be seen earlier.
Figure 15.
Comparison of temperature and temperature gradient of three groups of sand mold and casting.
The chimney effect can be enforced by putting a circular chimney on the top of the sand mold to extend the height of the hollow sand mold with the chimney. Alternatively, forced air blowing connected to the bottom or air sucking from the top can be used to improve the chimney effect, as shown in Figure 16.
Figure 16.
Schematic diagram of the improved chimney structure.
The increase in tensile residual stress in the middle of the casting should be harmful to the strength. Therefore, in the late cooling period, the air blowing or air blowing from top to bottom to reverse the temperature gradient will reduce the residual stress.
The chimney’s effect was proved in the experiment. So, this method can be used to control the cooling of castings, then the microstructure and mechanical properties, and finally, the residuals stress state.
7. Conclusions
The chimney structure is a type of through-channel structure formed by a multi-shelled structure. Cold air can be sucked into the chimney from the bottom entrance and heated up in the channel before it flows out from the top opening as hot air. During the flow in the chimney, air transfers heat from the bottom of the sand mold to the top and forms a temperature gradient from top to bottom.
For a wedge plate specimen, a hollow sand mold was proposed and designed to validate the chimney effect. The effects of different sand molds and cooling methods on the microstructure and mechanical properties of the casting were comprehensively studied and analyzed.
During the solidification process of the castings, the cooling of casting is determined by the chilling power of the sand mold. So, the hollow sand mold with chimney structure is of less cooling capability than the dense sand mold structure. However, in the later stage, the chimney structure cools the sand mold faster and then the casting faster, and it increased the temperature gradient along the vertical direction. As forced air flowed through the chimney channels, the effect was enforced. The cooling rate of the upper part of the P2HF casting at the final stage increased to 3.7 °C/min by 61%. Its temperature gradient from top to bottom increased to 0.15 °C/mm by two times.
The chimney structure with forced air cooling greatly increased the surface residual stress at the top of casting due to its high cooling rate at the late stage of the casting process. The residual stress of the upper part of the P2HF casting was up to −185 MPa in a very high compressive stress state.
The chimney effect increased the concentration of Si and Mg in the Al matrix due to the faster cooling of the casting after solidification. For the as-cast state, compared with that in P1DN, the Si content in the Al matrix of the P2HF castings increased by 20.4%, and its tensile strength increased by 32.66%.
Therefore, the chimney structure can be used for castings to improve their cooling, microstructure, and mechanical properties.
Author Contributions
Conceptualization, J.K. and H.S.; methodology, J.K. and H.S.; formal analysis, J.X., J.K., H.S., C.D., Y.H., J.Y. and W.M.; investigation, J.X., J.K., H.S., C.D., Y.H., J.Y. and W.M.; writing—original draft preparation, J.K. and J.X.; writing—review and editing, J.K. and J.X. All authors have read and agreed to the published version of the manuscript.
Funding
The project was funded by the National Natural Science Foundation of China (No. 51875308), Beijing Nature Sciences Fund-Haidian Originality Cooperation Project (L212002).
Institutional Review Board Statement
Not applicable.
Informed Consent Statement
Not applicable.
Data Availability Statement
Not applicable.
Conflicts of Interest
The authors declare no conflict of interest.
References
- Deng, C.; Kang, J.; Shangguan, H.; Hu, Y.; Huang, T.; Liu, Z. Effects of Hollow Structures in Sand Mold Manufactured Using 3D Printing Technology. J. Mater. Process. Technol. 2018, 255, 516–523. [Google Scholar] [CrossRef]
- Towoju, O.; Ishola, F. Numerical investigation of the variation of a uniformly dimensioned cast iron property using cooling channels. Mater. Today Proc. 2020, 46, 279–284. [Google Scholar] [CrossRef]
- Grassi, J.; Campbell, J.; Hartieb, M.; Major, F. The ablation casting process. Mater. Sci. Forum. 2009, 618, 591–594. [Google Scholar] [CrossRef] [Green Version]
- Salarvand, M.; Boutorabi, S.; Pourgharibshahi, M.; Tamizifar, M. Effect of Cooling Rate on the Microstructure and Mechanical Properties of High-Zinc AA 5182 Aluminum Wrought Alloy Cast by the Ablation Green Sand Mold Casting Process. Int. J. Met. 2021, 559, 1464–1475. [Google Scholar] [CrossRef]
- Satyam, S. Thermal Management and Solidification Characteristics in High Performance Aluminum Casting. Master’s Thesis, McMaster University, Hamilton, ON, Canada, 2016. [Google Scholar]
- Stets, W.; Petzschmann, U. Active cooling of resin bonded moulds to reduce the cooling time of heavy-section castings without loss of casting quality. In Proceedings of the 71st World Foundry Congress Advanced Sustainable Foundry, WFC 2014, Bilbao, Spain, 19–21 May 2014. [Google Scholar]
- Chhabra, M.; Singh, R. Rapid casting solutions: A review. Rapid Prototyp. 2011, 17, 328–350. [Google Scholar] [CrossRef]
- Hodder, K.; Chalaturnyk, R. Bridging Additive Manufacturing and Sand Casting: Utilizing Foundry Sand. Addit. Manuf. 2019, 28, 649–660. [Google Scholar] [CrossRef]
- González, P.; Valero, P.; Abia, A.; Sasstre, M.; Garcia, J. Feasibility of Calcium Sulfate Moulds Made by Inkjet 3D Printing for Rapid Casting of Aluminium Alloys. Metals 2020, 10, 802. [Google Scholar] [CrossRef]
- Lee, J.; An, J.; Chua, C. Fundamentals and applications of 3D printing for novel materials. Appl. Mater. Today. 2017, 7, 120–133. [Google Scholar] [CrossRef]
- Zeng, G.; Song, T.; Dai, Y.; Tang, H.; Yan, M. 3D printed breathable mould steel: Small micrometer-sized, interconnected pores by creatively introducing foaming agent to additive manufacturing. Mater. Design 2019, 169, 107693. [Google Scholar] [CrossRef]
- Chhabra, M.; Singh, R. Experimental Investigation for the Hardness of Castings Produced by Using ZCast Process. Trans. Indian Inst. Met. 2018, 71, 153–166. [Google Scholar] [CrossRef]
- Snelling, D.; Williams, C.; Druschitz, A. Mechanical and material properties of castings produced via 3D printed molds. Addit. Manuf. 2019, 27, 199–207. [Google Scholar] [CrossRef]
- Snelling, D.; Li, Q.; Meisel, N.; Williams, C.; Batra, R.; Druschitz, A. Lightweight Metal Cellular Structures Fabricated via 3D Printing of Sand Cast Molds. Adv. Eng. Mater. 2015, 17, 923–932. [Google Scholar] [CrossRef]
- Yang, L.; Harrysson, O.; Cormier, D.; West, H.; Gong, H.; Stucker, B. Additive Manufacturing of Metal Cellular Structures: Design and Fabrication. Met. Materials Soc. 2015, 67, 608–615. [Google Scholar] [CrossRef]
- Wang, J.; Sama, S.; Manogharan, G. Re-Thinking Design Methodology for Castings: 3D Sand-Printing and Topology Optimization. Int. J. Met. 2019, 13, 2–17. [Google Scholar] [CrossRef]
- Sama, S.; Badamo, T.; Lynch, P.; Manogharan, G. Novel Sprue Design in Metal Casting via 3D Sand-Printing. Addit. Manuf. 2019, 25, 563–578. [Google Scholar] [CrossRef]
- Shangguan, H.; Kang, J.; Yi, J.; Zhang, X.; Wang, X.; Wang, H.; Huang, T. The design of the 3D printed lattice reinforced thickness-varying shell mold for casting. Materials 2018, 11, 535. [Google Scholar] [CrossRef] [Green Version]
- Shangguan, H.; Kang, J.; Deng, C. 3D-printed shell-truss sand mold for aluminum castings. J. Mater. Process. Technol. 2017, 250, 247–253. [Google Scholar] [CrossRef]
- Kang, J.; Shangguan, H.; Deng, C.; Hu, Y.; Yi, J.; Wang, X.; Zhang, X.; Huang, T. Additive manufacturing-driven mold design for castings. Addit. Manuf. 2018, 22, 472–478. [Google Scholar] [CrossRef]
- Ghanbari, M.; Rezazadeh, G. Chimney for air ventilation of metropolises. Atmos. Pollut. Res. 2019, 10, 462–473. [Google Scholar] [CrossRef]
- Nasraoui, H.; Driss, Z.; Kchaou, H. Effect of the chimney design on the thermal characteristics in solar chimney power plant. J. Therm. Anal. Calorim. 2020, 140, 2721–2732. [Google Scholar] [CrossRef]
- Babin, T.; Ramanathan, S.; Muthukumar, S.; Arun, A.; Subbiah, S. Numerical investigation of backflow in natural draft chimneys. Mater. Today Proc. 2021, 45, 1196–1204. [Google Scholar] [CrossRef]
- Tao, W. Numerical Heat Transfer; Xi’an Jiaotong University Press: Xi’an, China, 2001. [Google Scholar]
- Peng, J.; Tang, X.; He, J.; Xu, D. Effect of heat treatment on microstructure and tensile properties of A356 alloys. Trans. Nonferrous Met. Soc. China 2011, 21, 1950–1956. [Google Scholar] [CrossRef]
- Caeres, C.; Rovera, D. Solid solution strengthening in concentrated Mg-Al alloys. J. Light Met. 2001, 1, 151–156. [Google Scholar] [CrossRef]
- Zhu, M.; Jian, Z.; Yang, G.; Zhou, Y. Effects of T6 heat treatment on the microstructure, tensile properties, and fracture behavior of the modified A356 alloys. Mater. Des. 2012, 36, 243–249. [Google Scholar] [CrossRef]
Publisher’s Note: MDPI stays neutral with regard to jurisdictional claims in published maps and institutional affiliations. |
© 2022 by the authors. Licensee MDPI, Basel, Switzerland. This article is an open access article distributed under the terms and conditions of the Creative Commons Attribution (CC BY) license (https://creativecommons.org/licenses/by/4.0/).















