An Approach to Predict Geometrically and Thermo-Mechanically Induced Stress Concentrations in Ribbed Reinforcing Bars
Abstract
:1. Introduction
2. Modeling
2.1. Geometry
2.2. Load Stress Analysis
2.3. Thermo-Mechanical Analysis
2.3.1. Thermal Problem
2.3.2. Microstructural Evolution
2.3.3. Mechanical Problem
3. Results and Discussion
3.1. Load Stress Analysis
3.2. Thermo-Mechanical Analysis
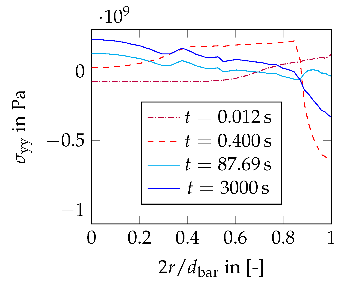
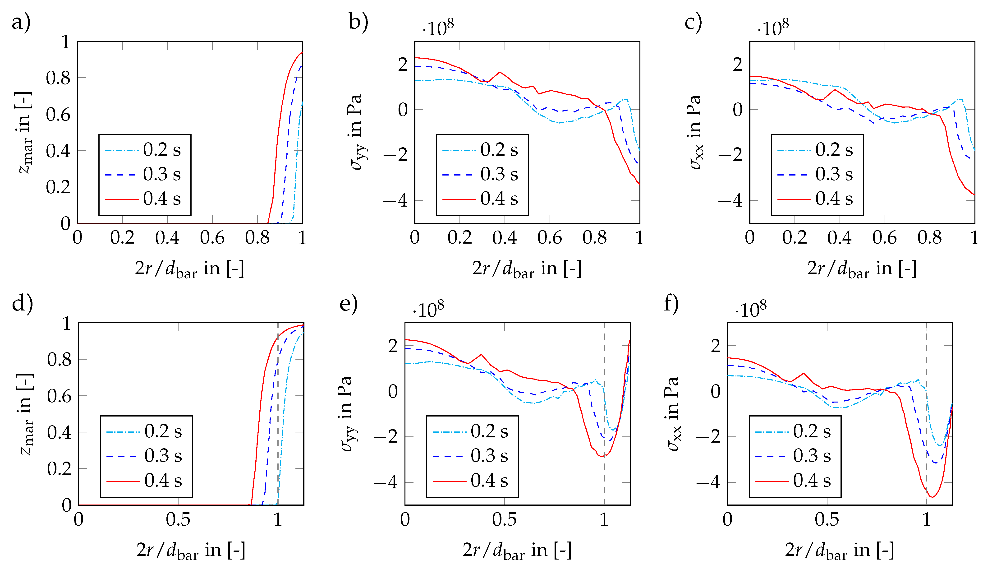
- Findings of experimental investigations regarding the sign of the residual stresses at the rebar surface differ partly from the computational results.Using the cut compliance technique for rebars with diameters of mm and parallel transverse ribs, Zheng et al. [17] determined longitudinal compressive residual stresses between and MPa to be present at the rebar surface.Zubair et al. [3] determined longitudinal and tangential compressive residual stresses of −10 MPa at the rebar surface and of −90 MPa in a depth range of 0.1 to 0.3 mm. These investigations were conducted using X-ray measurements between two alternating transverse ribs utilizing a rebar diameter of mm.For rebars with a diameter of mm, Rocha et al. [18] determined longitudinal compressive residual stresses from −48 to −147 MPa between alternating ribs and from −26 to −61 MPa between parallel ribs using X-ray measurements. However, at a depth of 0.05 mm below the rebar surface, Rocha et al. determined mostly tensile residual stresses of max. 50 MPa. Up to a depth of 2 mm, they measured tensile residual stresses using the cut compliance technique.Volkwein et al. [28] examined the residual stress distribution in two rebars of the same grade and of identical diameter, mm, produced from two different manufacturers. Both rebars showed compressive residual stresses in the core of the rebar and tensile residual stresses near the surface. For one of the rebars, compressive residual stresses were determined in a thin surface layer.
4. Conclusions
Author Contributions
Funding
Conflicts of Interest
Appendix A. Meshed Models and Selected Results


References
- DIN-488-1:2009-08; Reinforcing Steels—Part 1: Grades, Properties, Marking. Beuth: Berlin, Germany, 2009.
- DIN-488-2:2009-08; Reinforcing Steels—Reinforcing Steel Bars. Beuth: Berlin, Germany, 2009.
- Hameed, M.Z.; Wölfle, C.H.; Robl, T.; Obermayer, T.; Rappl, S.; Osterminski, K.; Krempaszky, C.; Werner, E. Parameter identification for thermo-mechanical constitutive modeling to describe process-induced residual stresses and phase transformations in low-carbon steels. Appl. Sci. 2021, 11, 550. [Google Scholar] [CrossRef]
- Economopoulos, M.; Respen, Y.; Lessel, G.; Steffes, G. Application of the tempcore process to the fabrication of high yield strength concrete-reinforcing bars. Metall. Rep. 1975, 45, 1–17. [Google Scholar]
- Noville, J.F. TEMPCORE, the Most Convenient Process to Produce Low Cost High Strength Rebars from 8 to 75 mm. METEC & 2nd ESTAD, Düsseldorf, Germany. 2015. Available online: https://www.researchgate.net/publication/328530702_TEMPCORE_R_the_most_convenient_process_to_produce_low_cost_high_strength_rebars_from_8_to_75_mm (accessed on 28 October 2021).
- Goto, Y. Cracks formed in concrete around deformed tension bars. ACI J. 1971, 68, 244–251. [Google Scholar]
- König, G.; Nguyen, V.T.; Kurz, W. Ein Mechanisches Modell zur Beschreibung des Verbundverhaltens zwischen Stahl und Beton; Deutsche Forschungsgemeinschaft (DFG); Wiley-VCH: Weinheim, Germany, 2000. [Google Scholar]
- Martin, H.; Noakowski, P. Verbundverhalten von Betonstählen—Untersuchung auf der Grundlage von Ausziehversuchen; Deutscher Ausschuss für Stahlbeton e.V. (Heft 319); Ernst: Berlin, Germany, 1981. [Google Scholar]
- Rehm, G. Über die Grundlagen des Verbundes zwischen Stahl und Beton; Deutscher Ausschuss für Stahlbeton e.V. (Heft 138); Ernst: Berlin, Germany, 1961. [Google Scholar]
- Rehm, G.; Harre, W.; Beul, W. Schwingfestigkeitsverhalten von Betonstählen unter wirklichkeitsnahen Beanspruchungs- und Umgebungsbedingungen; Deutscher Ausschuss für Stahlbeton e.V. (Heft 374); Ernst: Berlin, Germany, 1986. [Google Scholar]
- Burton, K.T. Fatigue tests of reinforcing bars. J. PCA 1965, 7, 13–23. [Google Scholar]
- Martin, H.; Schießl, P.; Schwarzkopf, M. Optimierung der Rippenausbildung hochfester Betonstähle; Research Report Report Number: Bo 784/83); Institut für Betonstahl und Stahlbetonbau e.V.: Munich, Germany, 1983. [Google Scholar]
- Fei, J.; Darwin, D. Fatigue of High Relative Rib Area Reinforcing Bars; Research Report (Structural Engineering and Engineering Materials SM Report 54); Federal Highway Administration: Lawrence, KS, USA, 1999.
- Jhamb, I.C. Fatigue of Reinforcing Bars. Ph.D. Thesis, University of Alberta, Edmonton, AB, Canada, 1972. [Google Scholar]
- Helgason, T.; Hanson, J.; Somes, N.; Corley, W.; Hognestad, E. Fatigue Strength of High–Yield Reinforcing Bars; Research Report (National Cooperative Highway Research Program, Report Number: 164); National Research Council: Washington, DC, USA, 1976. [Google Scholar]
- Zheng, H.; Abel, A. Stress concentration and fatigue of profiled reinforcing bars. Int. J. Fatigue 1998, 20, 767–773. [Google Scholar] [CrossRef]
- Zheng, H.; Abel, A. Fatigue properties of reinforcing steel produced by TEMPCORE process. J. Mater. Civ. Eng. 1999, 11, 158–165. [Google Scholar] [CrossRef]
- Rocha, M.; Brühwiler, E.; Nussbaumer, A. Geometrical and material characterization of quenched and self-tempered steel reinforcement bars. J. Mater. Civ. Eng. 2016, 28, 04016012-1. [Google Scholar] [CrossRef]
- Martin, H.; Schießl, P. Dauerschwingfestigkeit von unbehandelten Betonstählen—Zusammenfassender Überblick über Versuchsergebnisse und theoretische Erkenntnisse; Research Report (Report Number: Sch/K-105/75); Institut für Betonstahl und Stahlbetonbau e.V.: Munich, Germany, 1975. [Google Scholar]
- Majumdar, S.; Ali, R.; Kumar, A.; Deb, A. Optimum rib design in TMT rebars to enhance fatigue life while retaining bond strength. J. Mater. Civ. Eng. 2018, 3, 04017313. [Google Scholar] [CrossRef]
- Gehlen, C.; Osterminski, K.; Weirich, T. High-cycle fatigue behaviour of reinforcing steel under the effect of ongoing corrosion. Struct. Concr. 2016, 17, 329–337. [Google Scholar] [CrossRef]
- Hanson, J.M.; Burton, K.T.; Hognestad, E. Fatigue tests of reinforcing bars—Effect of deformation pattern. J. PCA 1969, 10, 2–13. [Google Scholar]
- MacGregor, J.G.; Jhamb, I.C.; Nutall, N. Fatigue strength of hot-rolled reinforcing bars. ACI J. 1971, 68, 169–179. [Google Scholar]
- Martin, H.; Schießl, P. Untersuchungen zur Dauerschwingfestigkeit von dispersionsgehärteten Betonrippenstählen BSt50/55 mit III U- und IV U-Profilierung; Research Report (Report Number: 18574); Institut für Betonstahl und Stablbetonbau e.V.: Munich, Germany, 1974. [Google Scholar]
- Scholz, M. Untersuchungen zum Einfluss der Eigenspannungen auf das Dauerschwingverhalten von Betonstahl. Master’s Thesis, Technical University of Munich, Munich, Germany, 2016. [Google Scholar]
- Liscic, B.; Tensi, H.M.; Luty, W. Theory and Technology of Quenching; Springer: Berlin, Germany, 1992. [Google Scholar]
- Suzuki, H.; Kusunoki, K.; Hatanaka, Y.; Mukai, T.; Tasai, A.; Kanematsu, M.; Kabayama, K.; Harjo, S. Measuring strain and stress distributions along rebar embedded in concrete using time–of–flight neutron diffraction. Meas. Sci. Technol. 2014, 25, 025602. [Google Scholar] [CrossRef]
- Volkwein, A.; Osterminski, K.; Meyer, F.; Gehlen, C. Distribution of residual stresses in reinforcing steel bars. Eng. Struct. 2020, 223, 111140. [Google Scholar] [CrossRef]
- Cetinel, H.; Toparli, M.; Özsoyeller, L. A finite element based prediction of the microstructural evolution of steels subjected to the Tempcore process. Mech. Mater. 2000, 32, 339–347. [Google Scholar] [CrossRef]
- Bandyopadhyay, K.; Lee, J.; Shim, J.-H.; Hwang, B.; Lee, M.-G. Modeling and experiment on microstructure evolutions and mechanical properties in grade 600 MPa reinforcing steel rebar subjected to TempCore process. Mater. Sci. Eng. A 2019, 745, 39–52. [Google Scholar] [CrossRef]
- Hosny, S.; Gepreel, M.A.H.; Ibrahim, M.G.; Bassuony, A.R. Simulation of Tempcore process for 500 MPa steel bars. Met. Mater. Int. 2020, 27, 3359–3370. [Google Scholar] [CrossRef]
- Khalifa, H.; Megahed, G.M.; Hamouda, R.M.; Taha, M.A. Experimental investigation and simulation of structure and tensile properties of Tempcore treated rebar. J. Mater. Process. Technol. 2016, 230, 244–253. [Google Scholar] [CrossRef]
- Park, C.S.; Yi, H.J.; Kim, Y.T.; Han, S.W.; Lee, T.; Moon, Y.H. Tempcore process simulator to analyze microstructural evolution of quenched and tempered rebar. Appl. Sci. 2019, 9, 2938. [Google Scholar] [CrossRef] [Green Version]
- Dimatteo, A.; Vannucci, M.; Colla, V. A finite element method for the prediction of thermal, metallurgical, and mechanical behavior of rebars in the TempCore process. Steel Res. Int. 2015, 87, 276–287. [Google Scholar] [CrossRef]
- Park, C.S.; van Tyne, C.J.; Lee, S.J.; Lee, T.; Kim, J.H.; Moon, Y.H. Prediction of Tempcore rebar strength using a thermomechanical simulator with a designed hollow specimen. Steel Res. Int. 2020, 91, 1900520. [Google Scholar] [CrossRef]
- Akbarpour, M.R.; Mashhuriazar, A.; Daryani, M. Experimental and numerical investigation on the effect of the Tempcore process parameters on microstructural evolution and mechanical properties of dual phase steel reinforcing rebars. Met. Mater. Int. 2020, 27, 4074–4083. [Google Scholar] [CrossRef]
- Smith, M. ABAQUS/Standard User’s Manual; Dassault Systemes Simulia Corp.: Johnston, FI, USA, 2014. [Google Scholar]
- DIN EN ISO 17660-1:2006; Welding–Welding of Reinforcing Steel–Part 1: Load-Bearing Welded Joints. Beuth: Berlin, Germany, 2006.
- Dassault Systemes Solid Works Corp. Solid Works; Dassault Systemes Solid Works Corp.: Waltham, MA, USA, 2019. [Google Scholar]
- Wölfle, C.; Krempaszky, C.; Werner, E. An implicit integration scheme with consistent tangent modulus for Leblond’s model of transformation induced plasticity in steels. Contin. Mech. Thermodyn. 2022, 34, 321–340. [Google Scholar] [CrossRef]
- Leblond, J.B.; Mottet, G.; Devaux, J.C. A theoretical and numerical approach to the plastic behaviour of steels during phase transformations—II. Study of classical plasticity for ideal-plastic phases. J. Mech. Phys. Solids 1986, 34, 411–432. [Google Scholar] [CrossRef]
- Cadoni, E.; Fontana, M.; Forni, D.; Knobloch, M. High strain rates testing and constitutive modeling of B500B reinforcing steel at elevated temperatures. Eur. Phys. J. Special Topics 2018, 22, 179–199. [Google Scholar] [CrossRef]
- Matplus GmbH. JMatPro; Matplus GmbH: Wuppertal, Germany, 2021. [Google Scholar]
- Kreith, F.; Black, W.Z. Basic Heat Transfer; Harper and Row Publishers: New York, NY, USA, 1980. [Google Scholar]
- Sankar, I.B.; Rao, K.M.; Krishna, A.G. Prediction of heat transfer coefficient of steel bars subjected to Tempcore process using nonlinear modeling. Int. J. Adv. Manuf. Technol. 2010, 47, 1159–1166. [Google Scholar] [CrossRef]
- Koistinen, D.P.; Marburger, R.E. A general equation prescribing the extent of the austenite–martensite transformation in pure iron–carbon alloys and plain carbon steels. Acta. Metall. 1959, 7, 59–60. [Google Scholar] [CrossRef]
- Kolmogorov, A.N. On the statistical theory of the crystallization of metals. Bull. Acad. Sci. USSR Math. Ser. 1937, 1, 355–359. [Google Scholar]
- Johnson, W.A.; Mehl, R.F. Reaction kinetics in processes of nucleation and growth. Trans. Am. Inst. Min. Metall. Eng. 1939, 135, 416–442. [Google Scholar]
- Avrami, M. Kinetics of phase change. I General Theory. J. Chem. Phys. 1939, 7, 1103–1112. [Google Scholar] [CrossRef]
- Avrami, M. Kinetics of phase change. II Transformation-time relations for random distribution of nuclei. J. Chem. Phys. 1940, 8, 212–224. [Google Scholar] [CrossRef]
- Scheil, E. Anlaufzeit der Austenitumwandlung. Arch. Eisenhüttenwesen 1935, 8, 565–567. [Google Scholar] [CrossRef]
- Henderson, D.W. Thermal analysis of non-isothermal crystallization kinetics in glass forming liquids. J. Non-Cryst. Solids 1979, 30, 301–315. [Google Scholar] [CrossRef]
- Simsir, C.; Gür, C.H. 3D FEM simulation of steel quenching and investigation of the effect of asymmetric geometry on residual stress distribution. J. Mater. Process. Technol. 2008, 207, 211–221. [Google Scholar] [CrossRef]
- Lippmann, H. Mechanik des plastischen Fließens; Springer: Berlin, Germany, 1981. [Google Scholar]
- Gür, C.H.; Tekkaya, A.E. Finite element simulation of quench hardening. Steel Res. Int. 1996, 67, 298–306. [Google Scholar] [CrossRef]
- Fillafer, A. Fließ- und Mikroschädigungsverhalten ferritisch-martensitischer Dualphasenstähle. Ph.D. Thesis, Technical University of Munich, Munich, Germany, 2017. [Google Scholar]
- Fillafer, A.; Krempaszky, C.; Werner, E. On strain partitioning and micro-damage behavior of dual-phase steels. Mater. Sci. Eng. A 2014, 614, 180–192. [Google Scholar] [CrossRef]
- Fillafer, A.; Werner, E.; Krempaszky, C. On phase transformation induced effects controlling the initial flow behavior of ferritic-martensitic dual-phase steels. Mater. Sci. Eng. A 2017, 708, 556–562. [Google Scholar] [CrossRef]
- Robl, T.; Krempaszky, C.; Fillafer, A.; Werner, E. Examining the unloading behavior of dual-phase steels by means of microstructure simulations. Mater. Sci. Eng. A 2021, 823, 141744. [Google Scholar] [CrossRef]











| Rebar | Symbol | Reference Value | Unit |
| Rebar diameter (1) | d | 12.00 | mm |
| Bar diameter (2) | 11.70 | mm | |
| Transverse Ribs | Symbol | Reference Value | Unit |
| Distance between rib rows | e | 2.00 | mm |
| Rib spacing | c | 7.20 | mm |
| Foot radius | 0.80 | mm | |
| Tip radius | 0.36 | mm | |
| Rib width | b | 1.20 | mm |
| Rib heigth (middle of the rib) | 0.78 | mm | |
| Rib heigth (one-/three-quarter point) | , | 0.54 | mm |
| Flank inclination | 65 | ° | |
| Rib inclination | 60 | ° | |
| Longitudinal Ribs | Symbol | Reference Value | Unit |
| Foot radius | 1.00 | mm | |
| Tip radius | 0.60 | mm | |
| Rib width | 2.00 | mm | |
| Rib heigth | 0.60 | mm | |
| Flank inclination | 90 | ° |
| T [°C] | [W/mK] (1) | [W/mK] (1) | [W/mK] (1) |
| 0 | 16.75 | 54.43 | 54.53 |
| 300 | 20.93 | 43.96 | 43.96 |
| 600 | 25.12 | 37.68 | 37.68 |
| 900 | 29.31 | 29.31 | 29.31 |
| [°C] | [MJ/Km3] (1) | [MJ/Km3] (1) | [MJ/Km3] (1) |
| 0 | 3.18 | 3.52 | 3.52 |
| 300 | 3.60 | 3.85 | 3.85 |
| 600 | 3.98 | 4.27 | 4.27 |
| 900 | 4.40 | 4.61 | 4.61 |
| [°C] | [GPa] (2) | [GPa] (2) | [GPa] (2) |
| 0 | - | 210 | 210 |
| 200 | 195 | 195 | 195 |
| 300 | 188 | 188 | 188 |
| 600 | 160 | 160 | 160 |
| 714 | 140 | - | 140 |
| 820 | 107 | - | 107 |
| 900 | 107 | - | - |
| [°C] | [-] (3) | [-] (3) | [-] (3) |
| 0–900 | 0.3 | 0.3 | 0.3 |
| [°C] | [MPa] (4) | [MPa] (4) | [MPa] (6) |
| 0 | - (6) | 1315 | 440 (7) |
| 200 | 125 (5) | 1065 | 349 (7 |
| 300 | 121 (5) | 940 | 322 (7) |
| 600 | 103 (5) | 280 | 96 (7) |
| 714 | 90 (6) | - | 84 (7) |
| 820 | 75 (6) | - | 64 (7) |
| 900 | 37 (6) | - | - (7) |
| [°C] | °C) [-] (8) | °C) [-] (8) | °C) [-] (8) |
| 0–900 | 0 | 0.0098 | 0.0081 |
| [°C] | [1/K] (3,8) | [1/K] (3,8) | [1/K] (3,8) |
| 0–900 | 23.4 · 10−6 | 13.7 · 10−6 | 16.6 · 10−6 |
| B500B | Martensite | Bainite/Pearlite/Ferrite | ||||||||
|---|---|---|---|---|---|---|---|---|---|---|
| [°C] | [°C] | [-] | [°C] | [K−1] | [Ks−1] | [-] | [-] | [K−1] | [K−2] | [Ks−1] |
| 714 (1) | 820 (1) | 0.75 (2) | 420 (1) | 0.021 (1) | −60 (1) | 1 (3) | 13.2 (3) | 0.0529 (3) | −5.01·10−5 (3) | −190 (4) |
| [°C] | [°C] | [s] | [s] | [W/m2K] | [W/m2K] |
|---|---|---|---|---|---|
| 900 | 20 | 0.4 | 3000 | 25,000 (1) | 40 |
| Parameter | Longitudinal Stress | |||||
|---|---|---|---|---|---|---|
| Symbol | Varied Geometry | Reference Geometry | Unit | Varied Geometry | Reference Geometry | Unit |
| 1.08 | 0.78 | mm | −384 | |||
| c | 4.20 | 7.20 | mm | −389 | ||
| b | 2.60 | 1.20 | mm | −352 | −329 | MPa |
| 50 | 65 | ° | −323 | |||
| 2.30 | 0.80 | mm | −324 | |||
Publisher’s Note: MDPI stays neutral with regard to jurisdictional claims in published maps and institutional affiliations. |
© 2022 by the authors. Licensee MDPI, Basel, Switzerland. This article is an open access article distributed under the terms and conditions of the Creative Commons Attribution (CC BY) license (https://creativecommons.org/licenses/by/4.0/).
Share and Cite
Robl, T.; Wölfle, C.H.; Shahul Hameed, M.Z.; Rappl, S.; Krempaszky, C.; Werner, E. An Approach to Predict Geometrically and Thermo-Mechanically Induced Stress Concentrations in Ribbed Reinforcing Bars. Metals 2022, 12, 411. https://doi.org/10.3390/met12030411
Robl T, Wölfle CH, Shahul Hameed MZ, Rappl S, Krempaszky C, Werner E. An Approach to Predict Geometrically and Thermo-Mechanically Induced Stress Concentrations in Ribbed Reinforcing Bars. Metals. 2022; 12(3):411. https://doi.org/10.3390/met12030411
Chicago/Turabian StyleRobl, Tobias, Christoph Hubertus Wölfle, Muhammed Zubair Shahul Hameed, Stefan Rappl, Christian Krempaszky, and Ewald Werner. 2022. "An Approach to Predict Geometrically and Thermo-Mechanically Induced Stress Concentrations in Ribbed Reinforcing Bars" Metals 12, no. 3: 411. https://doi.org/10.3390/met12030411
APA StyleRobl, T., Wölfle, C. H., Shahul Hameed, M. Z., Rappl, S., Krempaszky, C., & Werner, E. (2022). An Approach to Predict Geometrically and Thermo-Mechanically Induced Stress Concentrations in Ribbed Reinforcing Bars. Metals, 12(3), 411. https://doi.org/10.3390/met12030411

