Effect of Hydrogen Charging on the Stress Corrosion Cracking Behavior of X70 Steel in Simulated Deep Seawater Environment
Abstract
:1. Introduction
2. Materials and Methods
2.1. Material and Samples
2.2. Cathodic Hydrogen Charging
2.3. Hydrogen Concentration Measurement
2.4. SSRT Test
2.5. Hydrogen Analysis
3. Results
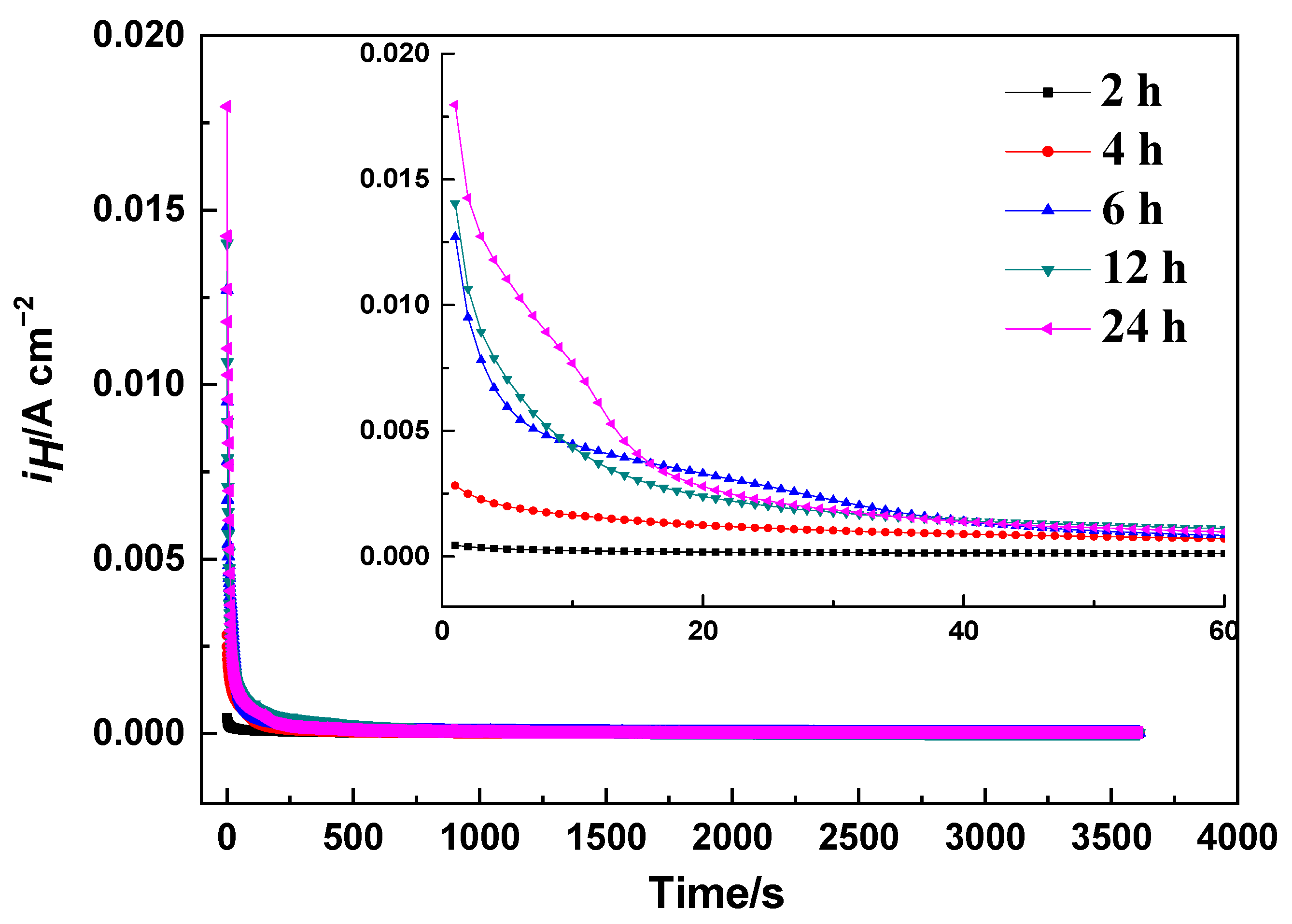
3.1. Effect of the Hydrostatic Pressure on the Hydrogen Permeation Behavior of X70 Steel
3.2. Effect of the Hydrogen-Charging Current Density on the Hydrogen Permeation of X70 Steel under High Hydrostatic Pressure
3.3. Effect of the Hydrogen Charging on the SCC Susceptibility of X70 Steel under High Hydrostatic Pressure
3.3.1. SSRT Tests
3.3.2. SEM Morphologies of the Fracture Surface
4. Discussion
5. Conclusions
Author Contributions
Funding
Data Availability Statement
Conflicts of Interest
Abbreviations
| SCC | stress corrosion cracking |
| SSRT | slow strain rate tensile |
| CP | cathodic protection |
| AD | anodic dissolution |
| HE | hydrogen embrittlement |
| HELP | hydrogen-enhanced localization plasticity model |
| HEDP | hydrogen-enhanced decohesion |
| SCE | saturated calomel electrode |
| TGSCC | transgranular stress corrosion cracking |
| IC (mA/cm2) | hydrogen-charging current density. |
| iH (mA/cm2) | hydroxide current density |
| C (10−6 mol/cm3) | hydrogen concentration |
| Q (C) | electric charge quantity |
| R (%) | hydrogen retention ratio |
| t0 (s) | Hydrogen-precharging time |
| σs (MPa) | yield strength |
| δ (%) | elongation rate |
| ψ (%) | area reduction |
| ε (%) | true strain |
| Iδ (%) | elongation rate loss |
| Iψ (%) | area reduction loss |
| Iε (%) | true strain loss |
| KIQ (MPa·m1/2) | fracture toughness |
| ΔL (m) | length variation after fracture |
| ΔA (m2) | cross-sectional area after fracture |
| L (m) | gauge length |
| A (m2) | original sectional area |
References
- Komai, S. Failure analysis and prevention in SCC and corrosion fatigue cases. Int. J. Fatigue 1998, 20, 145–154. [Google Scholar] [CrossRef]
- Meresht, E.S.; Farahani, T.S.; Eshati, J. Failure analysis of stress corrosion cracking occurred in a gas transmission steel pipeline. Eng. Fail. Anal. 2011, 18, 963–970. [Google Scholar] [CrossRef]
- Roccisano, A.; Luzin, V.M.; Lavigne, O.; Gamboa, E.; Griggs, J. High-pH inclined stress corrosion cracking in Australian and Canadian gas pipeline X65 steels. Mater. Sci. Technol. 2016, 32, 684–690. [Google Scholar]
- Jidong, W.; Xueqing, H.; Wenlong, Q.; Chunyan, Z.; Yang, Z.; Yong, D.; Tao, Z.; Fuhui, W. Corrosion failure analysis of the 45-degree elbow in a natural gas gathering pipeline by experimental and numerical simulation. Eng. Fail. Anal. 2020, 118, 104889. [Google Scholar]
- Wu, G.Y.; Zhao, W.W.; Wang, Y.R.; Tang, Y.F.; Xie, M. Analysis on corrosion-induced failure of shale gas gathering pipelines in the southern Sichuan Basin of China. Eng. Fail. Anal. 2021, 130, 105796. [Google Scholar] [CrossRef]
- Liu, Z.Y.; Wang, X.Z.; Liu, R.K.; Du, C.W.; Li, X.G. Electrochemical and sulfide stress corrosion cracking behaviors of tubing steels in a H2S/CO2 annular environment. J. Mater. Eng. Perform. 2014, 23, 1279–1287. [Google Scholar] [CrossRef] [Green Version]
- Akhi, A.H.; Dhar, A.S. Stress intensity factors for external corrosions and cracking of buried cast iron pipes. Eng. Fract. Mech. 2021, 250, 107778. [Google Scholar] [CrossRef]
- Wan, H.; Song, D.; Cai, Y.; Du, C. The AC corrosion and SCC mechanism of X80 pipeline steel in near-neutral pH solution. Eng. Fail. Anal. 2020, 118, 104904. [Google Scholar] [CrossRef]
- Song, L.; Liu, Z.; Li, X.; Du, C.; Guo, X.; Zhang, Y.; Wu, W. Influence of microstructure on stress corrosion cracking of X100 pipeline steel in carbonate/bicarbonate solution. J. Mater. Res. Technol. 2022, 17, 150–165. [Google Scholar]
- Wang, S.; Lamborn, L.; Chen, W. Near-neutral pH corrosion and stress corrosion crack initiation of a mill-scaled pipeline steel under the combined effect of oxygen and paint primer. Corros. Sci. 2021, 187, 109511. [Google Scholar] [CrossRef]
- Cui, Z.; Liu, Z.; Wang, L.; Li, X.; Du, C.; Wang, X. Effect of plastic deformation on the electrochemical and stress corrosion cracking behavior of X70 steel in near-neutral pH environment. Mater. Sci. Eng. A 2016, 677, 259–273. [Google Scholar] [CrossRef]
- Niazi, H.; Eadie, R.; Chen, W.; Zhang, H. High pH stress corrosion cracking initiation and crack evolution in buried steel pipelines: A review. Eng. Fail. Anal. 2021, 120, 105013. [Google Scholar] [CrossRef]
- Yang, X.; Yang, Y.; Sun, M.; Jia, J.; Cheng, X.; Pei, Z.; Li, Q.; Xu, D.; Xiao, K.; Li, X. A new understanding of the effect of Cr on the corrosion resistance evolution of weathering steel based on big data technology. J. Mater. Sci. Technol. 2022, 104, 67–80. [Google Scholar] [CrossRef]
- Kang, Y.; Chen, W.; Kania, R.; Van Boven, G.; Worthingham, R. Simulation of crack growth during hydrostatic testing of pipeline steel in near-neutral pH environment. Corros. Sci. 2011, 53, 968–975. [Google Scholar] [CrossRef]
- Yang, X.; Shao, J.; Liu, Z.; Zhang, D.; Cui, L.; Du, C.; Li, X. Stress-assisted microbiologically influenced corrosion mechanism of 2205 duplex stainless steel caused by sulfate-reducing bacteria. Corros. Sci. 2020, 173, 108746. [Google Scholar] [CrossRef]
- Nguyen, T.-T.; Bolivar, J.; Shi, Y.; Réthoré, J.; King, A.; Fregonese, M.; Adrien, J.; Buffiere, J.-Y.; Baietto, M.-C. A phase field method for modeling anodic dissolution induced stress corrosion crack propagation. Corros. Sci. 2018, 132, 146–160. [Google Scholar] [CrossRef]
- Ma, H.; Liu, Z.; Du, C.; Wang, H.; Li, C.; Li, X. Effect of cathodic potentials on the SCC behavior of E690 steel in simulated seawater. Mater. Sci. Eng. A 2015, 642, 22–31. [Google Scholar] [CrossRef]
- Liu, Y.; Wang, J.W.; Liu, L.; Li, Y.; Wang, F.H. Study of the failure mechanism of an epoxy coating system under high hydrostatic pressure. Corros. Sci. 2013, 74, 59–70. [Google Scholar] [CrossRef]
- Ge, Y.; Aaltio, I.; Hannula, S.-P. A Study of Hydrogen Charging of 10M Ni-Mn-Ga Single Crystal. Mater. Today Proc. 2015, 2, S859–S862. [Google Scholar] [CrossRef]
- Yang, Z.; Kan, B.; Li, J.; Su, Y.; Qiao, L. Hydrostatic pressure effects on stress corrosion cracking of X70 pipeline steel in a simulated deep-sea environment. Int. J. Hydrogen Energy 2017, 42, 27446–27457. [Google Scholar] [CrossRef]
- Sun, F.; Ren, S.; Li, Z.; Liu, Z.; Li, X.; Du, C. Comparative study on the stress corrosion cracking of X70 pipeline steel in simulated shallow and deep sea environments. Mater. Sci. Eng. A 2017, 685, 145–153. [Google Scholar] [CrossRef]
- Westlake, D.; Satterthwaite, C.; Weaver, J. Hydrogen in metals. Phys. Today 1978, 31, 32–39. [Google Scholar] [CrossRef]
- Abraham, D.P.; Altstetter, C.J. The effect of hydrogen on the yield and flow stress of an austenitic stainless steel. Metall. Mater. Trans. A 1995, 26, 2849–2858. [Google Scholar] [CrossRef]
- Liang, Y.; Sofronis, P. Toward a phenomenological description of hydrogen-induced decohesion at particle/matrix interfaces. J. Mech. Phys. Solids 2003, 51, 1509–1531. [Google Scholar] [CrossRef]
- Ramirez, M.F.; Hernández, J.W.; Ladino, D.H.; Masoumi, M.; Goldenstein, H. Effects of different cooling rates on the microstructure, crystallographic features, and hydrogen induced cracking of API X80 pipeline stee. J. Mater. Res. Technol. 2021, 14, 1848–1861. [Google Scholar] [CrossRef]
- Yan, M.; Weng, Y. Study on hydrogen absorption of pipeline steel under cathodic charging. Corros. Sci. 2006, 48, 432–444. [Google Scholar] [CrossRef]
- Hardie, D.; Charles, E.A.; Lopez, A.H. Hydrogen embrittlement of high strength pipeline steels. Corros. Sci. 2006, 48, 4378–4385. [Google Scholar] [CrossRef]
- Chen, L.; Liu, M.Z.; Su, H.H.; Yin, W.Q.; Li, C.P. A study of hydrogen effect on deformation and fracture microprocess in pure iron. Acta Metal. Sin. 1981, 17, 541–548. [Google Scholar]
- Han, Y.; Wang, R.; Wang, H.; Xu, L.Y. Hydrogen embrittlement sensitivity of X100 pipeline steel under different pre-strain. Int. J. Hydrogen Energy. 2019, 44, 22380–22393. [Google Scholar] [CrossRef]
- Zhao, Y.; Wang, R. An investigation on mechanical behaviors of pipeline steel X70 after electrochemical hydrogen charging. J. Chin. Soc. Corrosi. Prot. 2004, 24, 293–296. [Google Scholar]
- Ogawa, Y.; Iwata, K.; Okazaki, S.; Nakamura, M.; Matsubara, K.; Takakuwa, O.; Matsunaga, H. Fatigue crack-growth retardation after overloading in gaseous hydrogen: Revisiting the effect of hydrogen on crack-tip plastic-zone development. Mater. Lett. 2021, 308, 131115. [Google Scholar] [CrossRef]
- Xing, X.; Zhang, Y.; Wang, S.; Li, Z.; Yang, C.; Cui, G.; Zhang, S.; Liu, J.; Gou, J.; Yu, H. Atomistic simulation of hydrogen-induced plastic zone compression during cyclic loading. Int. J. Hydrogen Energy 2020, 45, 15697–15709. [Google Scholar] [CrossRef]
- Robertson, I.M.; Sofronis, P.; Nagao, A.; Martin, M.L.; Wang, S.; Gross, D.W.; Nygren, K.E. Hydrogen embrittlement understood. Metall. Mater. Trans. A 2015, 46, 2323–2341. [Google Scholar] [CrossRef] [Green Version]
- Zhang, S.; Fan, E.; Wan, J.; Liu, J.; Huang, Y.; Li, X. Effect of Nb on the hydrogen-induced cracking of high-strength low-alloy steel. Corros. Sci. 2018, 139, 83–96. [Google Scholar] [CrossRef]
- Dayal, R.K.; Parvathavarthini, N. Hydrogen embrittlement in power plant steels. Sadhana 2003, 28, 431–451. [Google Scholar] [CrossRef]
- Song, L.; Liu, Z.; Li, X.; Du, C. Characteristics of hydrogen embrittlement in high-pH stress corrosion cracking of X100 pipeline steel in carbonate/ bicarbonate solution. Constr. Build. Mater. 2020, 263, 120124. [Google Scholar] [CrossRef]
- Akiyama, E.; Akiyama, E.; Wang, M.; Wang, M.; Li, S.; Li, S.; Zhang, Z.; Zhang, Z.; Kimura, Y.; Kimura, Y.; et al. Studies of Evaluation of Hydrogen Embrittlement Property of High-Strength Steels with Consideration 431 of the Effect of Atmospheric Corrosion. Metall. Mater. Trans. A 2013, 44, 1290–1300. [Google Scholar] [CrossRef]
- Oriani, R.A.; Josephic, P.H. Testing of the decohesion theory of hydrogen-induced crack propagation. Scripta Metall. 1972, 6, 681–688. [Google Scholar] [CrossRef]
- Yang, X.; Du, C.; Wan, H.; Liu, Z.; Li, X. Influence of sulfides on the passivation behavior of titanium alloy TA2 in simulated seawater environments. Appl. Surf. Sci. 2018, 458, 198–209. [Google Scholar] [CrossRef]
- Li, Q.; Xia, X.; Pei, Z.; Cheng, X.; Zhang, D.; Xiao, K.; Wu, J.; Li, X. Long-term corrosion monitoring of carbon steels and environmental correlation analysis via the random forest method. NPJ Mater. Degrad. 2022, 6, 1. [Google Scholar] [CrossRef]
- Yang, X.; Liu, M.; Liu, Z.; Du, C.; Li, X. Failure analysis of a 304 stainless steel heat exchanger in liquid sulfur recovery units. Eng. Fail. Anal. 2020, 116, 104729. [Google Scholar] [CrossRef]














| Parameter | Hydrogen-Charging Current Density (mA/cm2) | |||||
|---|---|---|---|---|---|---|
| 0 | 10 | 25 | 50 | 100 | 200 | |
| δ (%) | 36.7 ± 0.6 | 35.8 ± 0.3 | 36.9 ± 0.4 | 40.6 ± 0.5 | 33.3 ± 0.6 | 30.9 ± 0.9 |
| ψ (%) | 82.1 ± 0.2 | 82.5 ± 0.1 | 82.6 ± 0.2 | 81.8 ± 0.2 | 78.2 ± 0.5 | 72.7 ± 0.6 |
| ε (%) | 1.72 ± 0.01 | 1.74 ± 0.01 | 1.75 ± 0.01 | 1.70 ± 0.02 | 1.52 ± 0.04 | 1.30 ± 0.05 |
Publisher’s Note: MDPI stays neutral with regard to jurisdictional claims in published maps and institutional affiliations. |
© 2022 by the authors. Licensee MDPI, Basel, Switzerland. This article is an open access article distributed under the terms and conditions of the Creative Commons Attribution (CC BY) license (https://creativecommons.org/licenses/by/4.0/).
Share and Cite
Yang, X.; Sun, F.; Li, Q.; Zhu, R.; Liu, Z.; Du, C.; Li, X. Effect of Hydrogen Charging on the Stress Corrosion Cracking Behavior of X70 Steel in Simulated Deep Seawater Environment. Metals 2022, 12, 334. https://doi.org/10.3390/met12020334
Yang X, Sun F, Li Q, Zhu R, Liu Z, Du C, Li X. Effect of Hydrogen Charging on the Stress Corrosion Cracking Behavior of X70 Steel in Simulated Deep Seawater Environment. Metals. 2022; 12(2):334. https://doi.org/10.3390/met12020334
Chicago/Turabian StyleYang, Xiaojia, Feilong Sun, Qing Li, Renzheng Zhu, Zhiyong Liu, Cuiwei Du, and Xiaogang Li. 2022. "Effect of Hydrogen Charging on the Stress Corrosion Cracking Behavior of X70 Steel in Simulated Deep Seawater Environment" Metals 12, no. 2: 334. https://doi.org/10.3390/met12020334
APA StyleYang, X., Sun, F., Li, Q., Zhu, R., Liu, Z., Du, C., & Li, X. (2022). Effect of Hydrogen Charging on the Stress Corrosion Cracking Behavior of X70 Steel in Simulated Deep Seawater Environment. Metals, 12(2), 334. https://doi.org/10.3390/met12020334

