Elastocaloric and Magnetocaloric Effects Linked to the Martensitic Transformation in Bulk Ni55Fe11Mn7Ga27 Alloys Produced by Arc Melting and Spark Plasma Sintering
Abstract
:1. Introduction
2. Materials and Methods
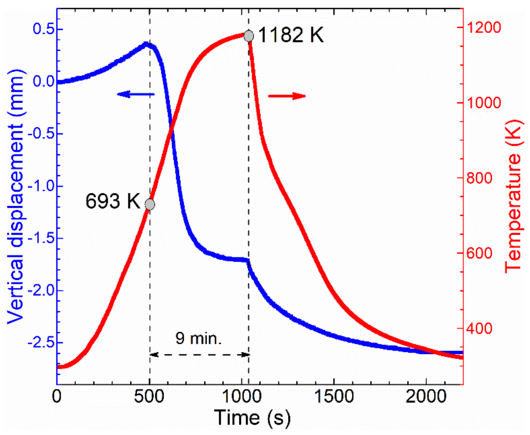
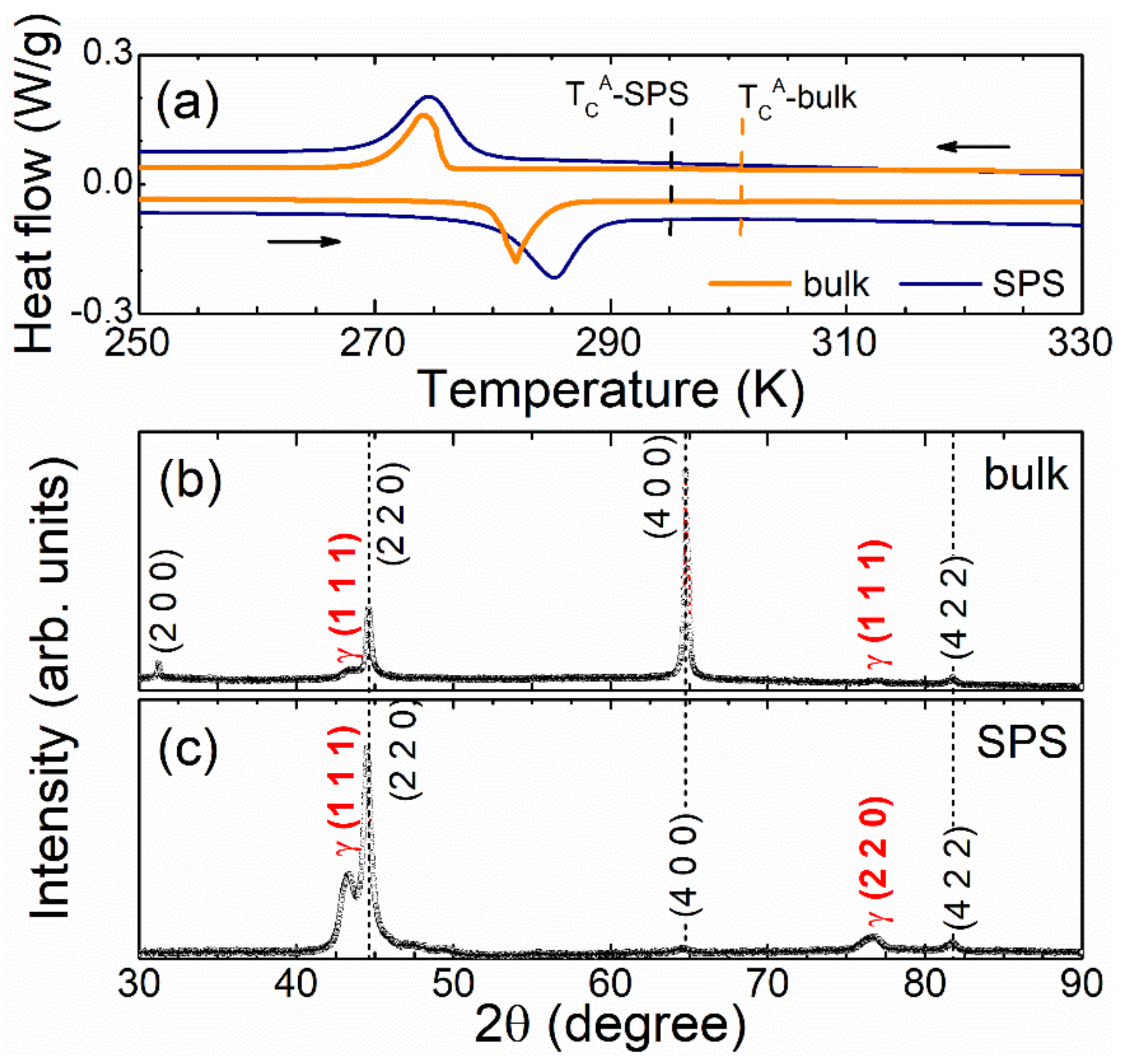
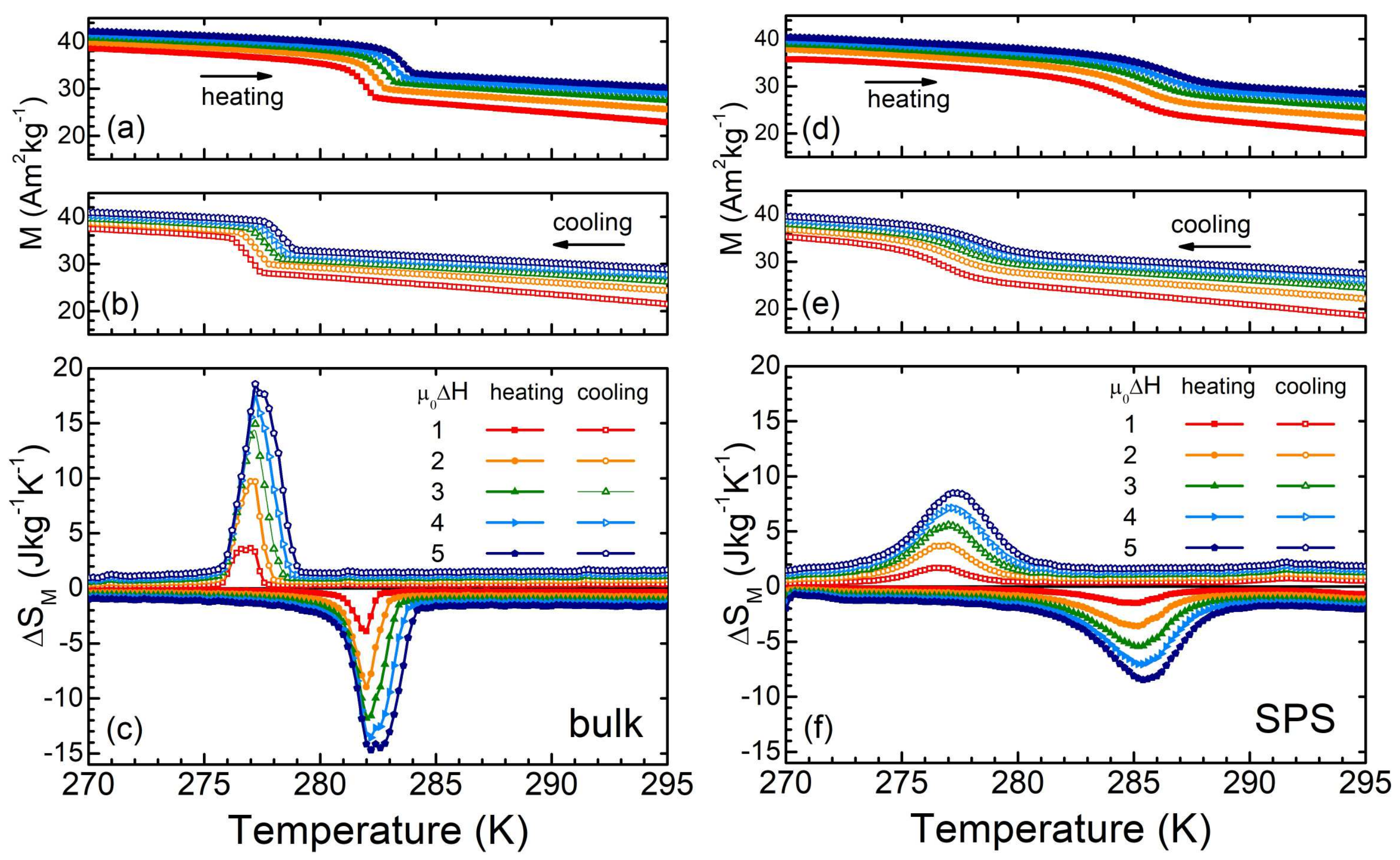
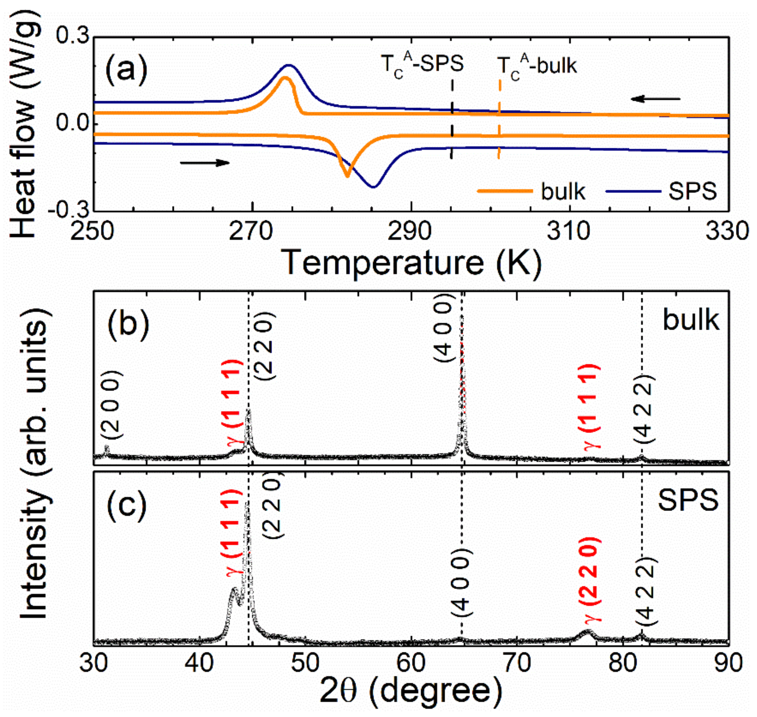
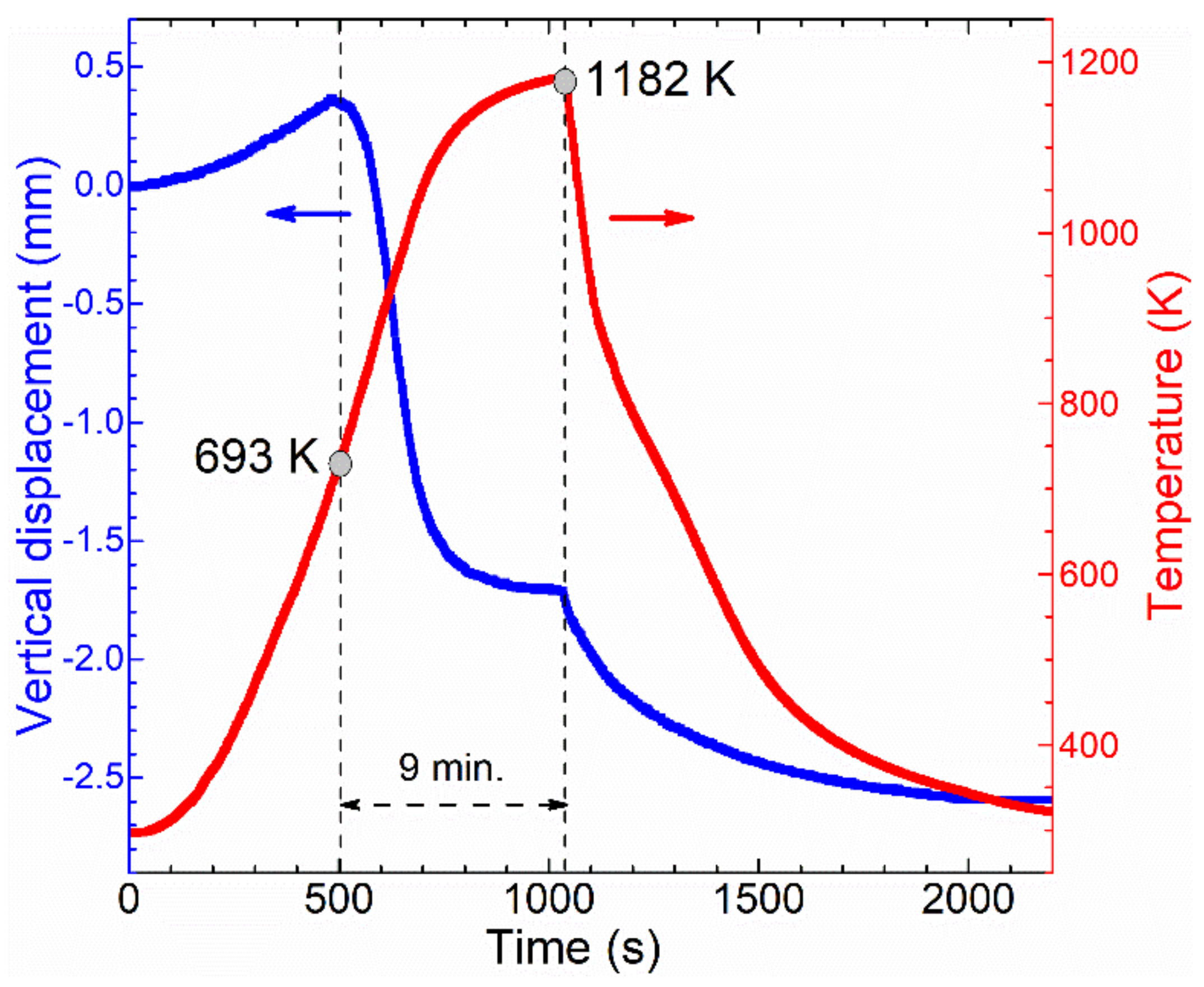
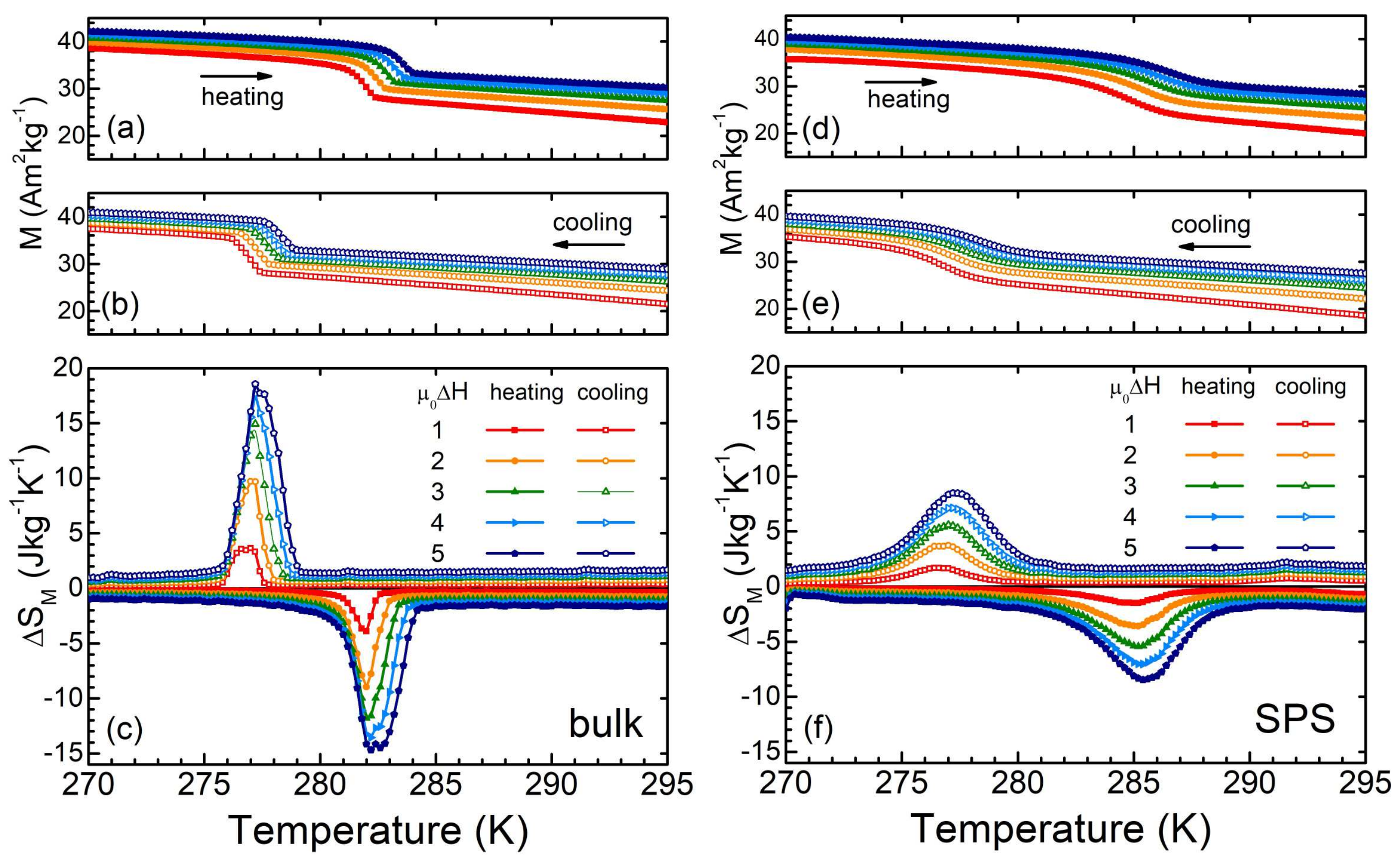
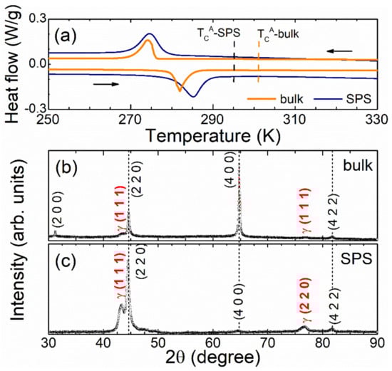
3. Results and Discussion
4. Conclusions
Supplementary Materials
Author Contributions
Funding
Data Availability Statement
Acknowledgments
Conflicts of Interest
References
- Mañosa, L.; Planes, A. Materials with giant mechanocaloric effects: Cooling by strength. Adv. Mater. 2017, 29, 1603607. [Google Scholar] [CrossRef] [PubMed]
- Castillo-Villa, P.O.; Soto-Parra, D.E.; Matutes-Aquino, J.A.; Ochoa-Gamboa, R.A.; Planes, A.; Mañosa, L.; González-Alonso, D.; Stipcich, M.; Romero, R.; Ríos-Jara, D.; et al. Caloric effects induced by magnetic and mechanical fields in a Ni50Mn25-xGa25Cox magnetic shape memory alloy. Phys. Rev. B 2011, 83, 174109. [Google Scholar] [CrossRef]
- Li, Y.; Zhao, D.; Liu, J. Giant and reversible room-temperature elastocaloric effect in a single-crystalline Ni-Fe-Ga magnetic shape memory alloy. Sci. Rep. 2016, 6, 25500. [Google Scholar] [CrossRef] [Green Version]
- Bonnot, E.; Romero, R.; Mañosa, L.; Vives, E.; Planes, A. Elastocaloric effect associated with the martensitic transition in shape-memory alloys. Phys. Rev. Lett. 2008, 100, 125901. [Google Scholar] [CrossRef] [PubMed] [Green Version]
- Yan, H.-L.; Wang, L.-D.; Liu, H.X.; Huang, X.M.; Jia, N.; Li, Z.B.; Yang, B.; Zhang, Y.D.; Esling, C.; Zhao, X.; et al. Giant elastocaloric effect and exceptional mechanical properties in an all-d-metal Ni–Mn–Ti alloy: Experimental and ab-initio studies. Mater. Des. 2019, 184, 108180. [Google Scholar] [CrossRef]
- Chauhan, A.; Patel, S.; Vaish, R.; Bowen, C.R. A review and analysis of the elasto-caloric effect for solid-state refrigeration devices: Challenges and opportunities. MRS Energy Sustain. 2015, 2, E16. [Google Scholar] [CrossRef] [Green Version]
- Franco, V.; Blázquez, J.S.; Ipus, J.J.; Law, J.Y.; Moreno-Ramírez, L.M.; Conde, A. Magnetocaloric effect: From materials research to refrigeration devices. Prog. Mater. Sci. 2018, 93, 112–232. [Google Scholar] [CrossRef]
- Castillo-Villa, P.O.; Mañosa, L.; Planes, A.; Soto-Parra, D.E.; Sánchez-Llamazares, J.L.; Flores-Zúñiga, H.; Frontera, C. Elastocaloric and magnetocaloric effects in Ni-Mn-Sn(Cu) shape-memory alloy. J. Appl. Phys. 2013, 113, 053506. [Google Scholar] [CrossRef] [Green Version]
- Mañosa, L.; Planes, A. Mechanocaloric effects in shape memory alloys. Philos. Trans. R. Soc. A 2016, 374, 20150310. [Google Scholar] [CrossRef] [PubMed]
- Oikawa, K.; Omori, T.; Sutou, Y.; Morito, H.; Kainuma, R.; Ishida, K. Phase equilibria and phase transition of the Ni–Fe–Ga ferromagnetic shape memory alloy System. Metall. Mater. Trans. A 2007, 38, 767–776. [Google Scholar] [CrossRef]
- Omori, T.; Kamiya, N.; Sutou, Y.; Oikawa, K.; Kainuma, R.; Ishida, K. Phase transformations in Ni-Ga-Fe ferromagnetic shape memory alloys. Mater. Sci. Eng. A. 2004, 378, 403–408. [Google Scholar] [CrossRef]
- Li, J.Q.; Liu, Z.H.; Yu, H.C.; Zhang, M.; Zhou, Y.Q.; Wu, G.H. Martensitic transition and structural modulations in the Heusler alloy Ni2FeGa. Solid State Commun. 2003, 126, 323–327. [Google Scholar] [CrossRef]
- Jiang, C.; Muhammad, Y.; Deng, L.; Wu, W.; Xu, H. Composition dependence on the martensitic structures of the Mn-rich NiMnGa alloys. Acta Mater. 2004, 52, 2779–2785. [Google Scholar] [CrossRef]
- Xu, Y.; Lu, B.; Sun, W.; Yan, A.; Liu, J. Large and reversible elastocaloric effect in dual-phase Ni54Fe19Ga27 superelastic alloys. Appl. Phys. Lett. 2015, 106, 201903. [Google Scholar] [CrossRef]
- Sarkar, S.K.; Biswas, A.; Babu, P.D.; Kaushik, S.D.; Srivastava, A.; Siruguri, V.; Krishnan, M. Effect of partial substitution of Fe by Mn in Ni55Fe19Ga26 on its microstructure and magnetic properties. J. Alloys Compd. 2014, 586, 515–523. [Google Scholar] [CrossRef]
- Yu, H.J.; Zu, X.T.; Fu, H.; Zhang, X.Y.; Wang, Z.G. Effect of annealing and heating/cooling rate on the transformation temperatures of NiFeGa alloy. J. Alloys Compd. 2009, 470, 237–240. [Google Scholar] [CrossRef]
- Tian, X.H.; Sui, J.H.; Zhang, X.; Zheng, X.H.; Cai, W. Grain size effect on martensitic transformation. mechanical and magnetic properties of Ni-Mn-Ga alloy fabricated by spark plasma sintering. J. Alloys Compd. 2012, 514, 210–213. [Google Scholar] [CrossRef]
- Bai, J.; Liu, D.; Gu, J.; Jiang, X.; Liang, X.; Zhang, Y.; Zhao, X. Excellent mechanical properties and large magnetocaloric effect of spark plasma sintered Ni-Mn-In-Co alloy. J. Mater. Sci. Technol. 2021, 74, 46–51. [Google Scholar] [CrossRef]
- Imam, H.; Zhang, H.G.; Chen, J.; Yue, M.; Lu, Q.M.; Zhang, D.T.; Liu, W.Q. Powdering and SPS sintering effect on the magnetocaloric properties of MnNiSi-based compounds. AIP Adv. 2019, 9, 035205. [Google Scholar] [CrossRef] [Green Version]
- Kuang, Y.; Ai, Z.; Yang, B.; Hao, X.; Li, Z.; Yan, H.; Zhang, Y.; Esling, C.; Zhao, X.; Zuo, L. Simultaneously achieved good mechanical properties and large magnetocaloric effect in spark plasma sintered Ni-Mn-In alloys. Intermetallics 2020, 124, 106868. [Google Scholar] [CrossRef]
- Ito, K.; Ito, W.; Umetsu, R.Y.; Tajima, S.; Kawaura, H.; Kainuma, R.; Ishida, K. Metamagnetic shape memory effect in polycrystalline NiCoMnSn alloy fabricated by spark plasma sintering. Scr. Mater. 2009, 61, 504–507. [Google Scholar] [CrossRef]
- Li, Y.; Jiang, C.; Liang, T.; Ma, Y.; Xu, H. Martensitic transformation and magnetization of Ni-Fe-Ga ferromagnetic shape memory alloys. Scr. Mater. 2003, 48, 1255–1258. [Google Scholar] [CrossRef]
- Barandiarán, J.M.; Gutiérrez, J.; Lázpita, P.; Chernenko, V.A.; Seguí, C.; Pons, J.; Cesari, E.; Oikawa, K.; Kanomata, T. Martensitic transformation in Ni-Fe-Ga alloys. Mater. Sci. Eng. A 2008, 478, 125–129. [Google Scholar] [CrossRef]
- Kustov, S.; Corró, M.; Cesari, E. Stress-induced magnetization in polycrystalline Ni-Fe-Ga ferromagnetic shape memory alloy. Appl. Phys. Lett. 2007, 91, 141907. [Google Scholar] [CrossRef]
- Pérez-Landazábal, J.I.; Recarte, V.; Gómez-Polo, C.; Seguí, C.; Cesari, E.; Dutkiewicz, J. Magnetic behavior in Ni-Fe-Ga martensitic phase. Mater. Sci. Eng. A 2008, 481–482, 318–321. [Google Scholar] [CrossRef]
- Liu, Z.H.; Liu, H.; Zhang, X.X.; Zhang, M.; Dai, X.F.; Hu, H.N.; Chen, J.L.; Wu, G.H. Martensitic transformation and magnetic properties of Heusler alloy Ni-Fe-Ga ribbon. Phys. Lett. A 2004, 329, 214–220. [Google Scholar] [CrossRef]
- Recarte, V.; Párez-Landazábal, J.I.; Gómez-Polo, C.; Cesari, E.; Dutkiewicz, J. Magnetocaloric effect in Ni-Fe-Ga shape memory alloys. Appl. Phys. Lett. 2006, 88, 132503. [Google Scholar] [CrossRef]
- Bruno, N.M.; Karaman, I.; Chumlyakov, Y.I. Orientation dependence of the elastocaloric effect in Ni54Fe19Ga27 ferromagnetic shape memory alloy. Phys. Status Solidi B 2018, 255, 1700437. [Google Scholar] [CrossRef]
- Guillon, O.; Gonzalez-Julian, J.; Dargatz, B.; Kessel, T.; Schierning, G.; Räthel, J.; Herrmann, M. Field-assisted sintering technology/spark plasma sintering: Mechanisms. materials, and technology developments. Adv. Eng. Mater. 2014, 16, 830–849. [Google Scholar] [CrossRef]
- Bruno, N.M. The Magnetocaloric and Elastocaloric Effects in Magnetic Shape Memory Alloys. Ph.D. Thesis, Texas A&M University, College Station, TX, USA, 2015. [Google Scholar]
- Marcos, J.; Planes, A.; Mañosa, L. Magnetic field induced entropy change and magnetoelasticity in Ni-Mn-Ga alloys. Phys. Rev. B 2002, 66, 224413. [Google Scholar] [CrossRef] [Green Version]
- Xiao, F.; Jin, M.; Liu, J.; Jin, X. Elastocaloric effect in Ni50Fe19Ga27Co4 single crystals. Acta Mater. 2015, 96, 292–300. [Google Scholar] [CrossRef]
- Henández-Navarro, F.; Camarillo-Garcia, J.P.; Aguilar-Ortiz, C.O.; Flores-Zúñiga, H.; Ríos, D.; González, J.G.; Álvarez-Alonso, P. The influence of texture on the reversible elastocaloric effect of a polycrystalline Ni50Mn32In16Cr2 alloy. Appl. Phys. Lett. 2018, 112, 164101. [Google Scholar] [CrossRef]
- Zhang, G.; Li, Z.; Yang, J.; Yang, B.; Wang, D.; Zhang, Y.; Esling, C.; Hou, L.; Li, X.; Zhao, X.; et al. Giant elastocaloric effect in a Mn-rich Ni44Mn46Sn10 directionally solidified alloy. Appl. Phys. Lett. 2020, 116, 023902. [Google Scholar] [CrossRef]
- Zhao, D.; Xiao, F.; Nie, Z.; Cong, D.; Sun, W.; Liu, J. Burst-like superelasticity and elastocaloric effect in [011] oriented Ni50Fe19Ga27Co4 single crystals. Scr. Mater. 2018, 149, 6–10. [Google Scholar] [CrossRef]






| Sample | Method | MS (K) | Mf (K) | AS (K) | Af (K) | ΔThyst (K) | ΔHst (Jg−1) | ΔSst (Jkg−1K−1) | TCA (K) | Experimental Composition (at. %) |
|---|---|---|---|---|---|---|---|---|---|---|
| Bulk | DSC | 276 | 269 | 277 | 286 | 8 | 5.9 | 21.3 | Ni55.7±0.2Fe11.9±0.2Mn7.2±0.1Ga25.2±0.4 | |
| M(T)5mT | 276 | 273 | 280 | 282 | 6 | - | 301 | |||
| SPS | DSC | 278 | 262 | 279 | 290 | 11 | 5.5 | 19.1 | Ni55.8±0.1Fe12.0±0.1Mn6.9±0.1Ga25.3±0.1 | |
| M(T)5mT | 276 | 272 | 280 | 286 | 10 | - | 295 |
| Sample | Structural Transition | |ΔSM|max (Jkg−1K−1) | δTFWHM (K) | RCP (Jkg−1) |
|---|---|---|---|---|
| Bulk | Direct MT | 18.6 | 2.0 | 28 |
| Inverse MT | 14.7 | 2.2 | ||
| SPS | Direct MT | 8.5 | 4.0 | 28 |
| Inverse MT | 8.5 | 4.4 |
Publisher’s Note: MDPI stays neutral with regard to jurisdictional claims in published maps and institutional affiliations. |
© 2022 by the authors. Licensee MDPI, Basel, Switzerland. This article is an open access article distributed under the terms and conditions of the Creative Commons Attribution (CC BY) license (https://creativecommons.org/licenses/by/4.0/).
Share and Cite
Navarro-García, J.D.; Camarillo-Garcia, J.P.; Alvarado-Hernández, F.; Sánchez Llamazares, J.L.; Flores-Zúñiga, H. Elastocaloric and Magnetocaloric Effects Linked to the Martensitic Transformation in Bulk Ni55Fe11Mn7Ga27 Alloys Produced by Arc Melting and Spark Plasma Sintering. Metals 2022, 12, 273. https://doi.org/10.3390/met12020273
Navarro-García JD, Camarillo-Garcia JP, Alvarado-Hernández F, Sánchez Llamazares JL, Flores-Zúñiga H. Elastocaloric and Magnetocaloric Effects Linked to the Martensitic Transformation in Bulk Ni55Fe11Mn7Ga27 Alloys Produced by Arc Melting and Spark Plasma Sintering. Metals. 2022; 12(2):273. https://doi.org/10.3390/met12020273
Chicago/Turabian StyleNavarro-García, J. D., J. P. Camarillo-Garcia, F. Alvarado-Hernández, J. L. Sánchez Llamazares, and H. Flores-Zúñiga. 2022. "Elastocaloric and Magnetocaloric Effects Linked to the Martensitic Transformation in Bulk Ni55Fe11Mn7Ga27 Alloys Produced by Arc Melting and Spark Plasma Sintering" Metals 12, no. 2: 273. https://doi.org/10.3390/met12020273
APA StyleNavarro-García, J. D., Camarillo-Garcia, J. P., Alvarado-Hernández, F., Sánchez Llamazares, J. L., & Flores-Zúñiga, H. (2022). Elastocaloric and Magnetocaloric Effects Linked to the Martensitic Transformation in Bulk Ni55Fe11Mn7Ga27 Alloys Produced by Arc Melting and Spark Plasma Sintering. Metals, 12(2), 273. https://doi.org/10.3390/met12020273

