Abstract
A new nano-coating of chitosan nanoparticles/polyvinylpyrrolidone/cobalt oxide nanoparticles (CSNPs/PVP/CoONPs) was performed in this work. The newly designed nano-coating comprises a copolymer and inorganic matrices. This nano-coating was used to cover the Ti-6Al-4V alloy surface as a newly designed dental alloy, and then its corrosion properties were studied through different electrochemical techniques. The results reveal that this novel coating improved the corrosion resistance of the Ti-6Al-4V alloy in artificial saliva solution by reaching 17.7 MΩ cm2. The new fabricated biocompatible coating (CSNPs/PVP/CoONPs) greatly enhanced the electrochemical corrosion resistance by giving a high protection efficiency of 90.87% and a low hydrogen evolution rate in artificial saliva solution at 37 °C. The observed results were confirmed by scanning electron microscopy (SEM), Vickers microhardness testing, coating thickness tests, high-resolution transmission electron microscopy (HRTEM), and energy-dispersive X-ray analysis (EDX).
1. Introduction
Recently, biomedical engineering materials have gained increasing consideration in the biomedical area. Metallic materials are used as biomedical materials for the replacement of failed hard tissue in orthopedic and dental fields [1]. Among the metallic implant materials, Ti-alloy is extensively used in load-bearing parts because of its outstanding fracture toughness, high strength, low density, and superior biocompatibility [2,3]. This is due to the formation of a stable thin protective oxide surface film [4]. Unfortunately, such types of alloys release vanadium and aluminum ions into the electrolyte owing to their corrosion, which has opposing effects on the patient’s health. Corrosion causes metal–ion accumulation and brings debris near the tissues, resulting in inflammatory reactions or pain near the implants, which necessitates surgery for the patients. Scientists have been focusing on the study of surface engineering as a solution to such problems. To create more corrosion-resistant surfaces on Ti alloys for biomedical applications, a variety of coatings and strategies such as sol-gel, thermal oxidation, thermochemical diffusion and plasma- and laser-based surface treatments have been developed [5,6].
A large amount of work has been done previously on chitosan, especially in biomedical applications [7]. It is mostly derived from insect skeletons, crustaceans, and fungi. It is a biocompatible, effective, safe, nontoxic material that is widely applicable. Finally, chitosan is a re-absorbable polymer of high absorbability [8]. Previous studies have demonstrated that chitosan coatings could be utilized in a wide range of applications, including dental and orthopedic implants. Chitosan-coated implants present good biocompatibility with respect to fibroblast cell and alloy cell propagation on the implant surface [9,10,11,12]. Moreover, the presence of porous surfaces increases the surface roughness and causes microscopic tissue-cell ingrowths, thus improving implant fixation [13,14,15,16]. Polyvinylpyrrolidone (PVP) [17] is an important stabilizing agent that is needed for synthesizing various composites. Nano-composites loaded with PVP displayed an ability to be used as antistatic materials. PVP is a non-toxic and eco-friendly water-soluble polymer utilized as a green corrosion inhibitor. Additionally, PVP has distinctive inhibition properties as it has an oxazole moiety (N-heterocycle). PVP displays good corrosion inhibition in alkaline solutions containing NaCl and in neutral solutions with a lower hydrogen evolution rate [18,19,20].
Nanoparticles are of great interest because they significantly increase the lifetime of the corroded tested alloys, giving unique physical and mechanical properties to the coating. Thus, a nanoparticle coating is needed because of its protective properties against corrosion [21]. Cobalt oxide nanoparticles [22] are newly used in medicinal applications owing to their good magnetic and infinite assets. Additionally, nano-coatings have to be of moderate cost and easy to prepare. It is important to know the relationship between nanoparticle corrosion and their microstructure or morphology [23]. The occurrence of cathodic hydrogen evolution is a significant issue to be studied in order to evaluate the rate of corrosion for Ti alloy as an implant, whereby, as hydrogen evolution increases, the corrosion rate increases.
This work was performed to create a new nano-resorbable polymer/inorganic matrix coating containing chitosan nanoparticles/PVP/cobalt oxide nanoparticles (CSNPs/PVP/CoONPs) on Ti alloy. This coating may enhance the surface resistance and stability of Ti alloy in dentistry subjects, and so it can be applied biomedically and industrially. Herein, this coating is used as a new coating on Ti alloy, especially for dental applications. It consists of chitosan nanoparticles owing to their high biocompatibility and ability to adsorb well, with cobalt oxide nanoparticles and PVP in their matrix due to their high absorbability. PVP effectively stabilizes the coating. Cobalt oxide nanoparticles increase the saturation and magnetic properties of the coating. The coated Ti alloy was studied in artificial saliva of pH 7.4 at 37 °C with a given immersion time via electrochemical impedance spectroscopy (EIS) and potentiodynamic polarization techniques. The surface study of the newly developed nano-composite coating was performed via SEM, TEM, Vickers microhardness, coating thickness tests, and EDX techniques. It is an important and interesting nano-composite polymer coating that can be applied industrially by decreasing the hydrogen evolution rate. It is also simple, cheap, and easy to prepare.
2. Experimental
2.1. Electrode and Cell Composition
Ti-6Al-4V alloy (Johnson and Matthey/England) of a composition (wt. %) of 5.7 Al, 3.85 V, 0.18 Fe, 0.038 C, 0.106 O, and 0.035 N and balance titanium with 0.196 cm2 area (cylindrical shape) were used, welded to an electrical wire, coated with ARALDITE® adhesive epoxy resin (Huntsman company, Australia), inserted in a glass tube, then smoothed and polished using different papers (400–1000 grade), washed with ethanol, and dried in air. Measurements were conducted in a typical three-electrode cell, which comprised a working electrode (Ti-6Al-4V alloy), a counter electrode (large platinum sheet), and a saturated calomel electrode (SCE) as a reference electrode.
2.2. Chemicals and Reagents with Nano-Coating Composite Preparation
Chitosan from crab shells (85% deacetylated), sodium tripolyphosphate (STPP), polyvinylpyrrolidone (PVP) with an average MW of 360,000, acetic acid (≥99.0%), and Co (II,III) oxide nanopowder (<50 nm) were purchased from Sigma-Aldrich (Burlington, MA, USA). Synthetic saliva was used, containing (g/L) [18]: 0.72 KCl, 0.22 CaCl2·2H2O, 0.6 NaCl, 0.68 KH2PO4, 0.866 Na2HPO4·12 H2O, 1.5 KHCO3, 0.06 KSCN and 0.03 citric acid (pH = 6.5) (Analar grade reagents), as well as triply distilled water.
Chitosan nanoparticles (CSNPs) were prepared using 1% chitosan solution (1 g chitosan was dissolved in 97 mL distilled water and 3 mL glacial acetic acid with stirring for ~4 h until the solution became clear yellow); we filtered this solution then added dropwise 0.25% sodium tripolyphosphate (STPP) solution with stirring for 8 min, followed by centrifuging for 30 min at 4000 RPM to get rid of the supernatant and rinse the gel formed with distilled water [24,25,26,27], which was composed of the chitosan nanoparticles (CSNPs).
The 5% PVP (polyvinylpyrrolidone) solution was prepared by dissolving 5 g of PVP in 95 mL of distilled water using a magnetic stirrer for 15 min. Chitosan nanoparticles (0.015 g) were mixed with 5% PVP and 0.01 g of cobalt oxide nanoparticles were added with stirring for 4 h to ensure effective mixing and to obtain the nanopolymer composite film that could be applied on the electrode surface. The bare alloy was hung vertically, with the electrode surface in the upward direction and coated with glutaraldehyde as a cross-linker to reduce the swelling of the film. After that, we placed the novel semi-solidified nano-composite on the electrode surface by micropipette and left it for 24 h to dry in air. The dried electrode was then used for all experiments.
2.3. Instrumentation
Potentiodynamic polarization experiments were conducted on samples at a scanning rate of 1 mV/s vs. SCE from −1.2 V to 0 V. The electrochemical impedance spectroscopy (EIS) experiments were established at open circuit potential, at 10 mV AC amplitude in a frequency range of 0.1–100 KHz using the SP-150 potentiostat (France), which was provided with the EC-Lab® software package (France). The EC-Lab® software was available with an instrument to fit the experimental tests provided with the best equivalent model. All experiments were carried out and repeated 2–3 times at a temperature of 37 °C for reproducibility.
Scanning electron microscopy (SEM) images were developed using an SEM Model Quanta 250 FEG (Field Emission Gun) constructed with an EDX Unit (energy-dispersive X-ray analyses) (FEI Company, The Netherlands). TEM images were derived with a JEM-2100 (high-resolution transmission electron microscope) (HRTEM). A microprocessor digital pH-meter (Hanna Instruments, Italy) was used for measuring pH.
The Vickers microhardness of the coating and bare alloy was determined by the HMV-200 microhardness tester under a 50 g load for 15 s.
Coating thickness was measured using the Bedienungsanleitung für das Schichtdickenmessgerät byko test MP0R (Germany).
A simple explanation of the main idea for this work is given in Figure 1, wherein we see that the nano-coating was highly resistive, biocompatible, had low specific gravity, and a high specific strength. It could be used as a filling or coating for the modification of dental implants, crowns, or bridges. The coated alloy itself could be used as a bridge or crown.
Figure 1.
The case before and after coating the tooth.
3. Results and Discussion
3.1. Coating Thickness Measurements
Different percentages of PVP as a stabilizing agent were studied, and it was found that the best percentage was 5%. Additionally, different weights of CS or Co oxide nanoparticles that helped to increase the area of the coating were studied. The best coating film resistance and thickness were obtained by using 0.01 g CoONPs and 0.015 g CSNPS.
The coating thickness was measured for CSNPs as 32.5 ± 2.1 µm, for CSNPs/PVP as 38.3 ± 1.8 µm, and for CSNPs/PVP/CoONPs as 39.7 ± 1.54 µm.
Thus, throughout this study, the CSNPs/PVP/CoONPs coating was utilized with 5% PVP, 0.015 g CSNPS and 0.01 g CoONPs.
3.2. Surface Characterization
Figure 2 shows SEM images of the bare Ti alloy and the CSNPs/PVP/CoONPs coating on Ti alloy. The SEM shows the bare alloy (Figure 2A) with a non-uniform surface. However, the SEM applied to the Ti alloy with a CSNPs/PVP/CoONPs layer (Figure 2B) shows a heavy, dense, compact film with a flowery structure. This is because the CSNPs increased the adsorbability of the synthesized film onto the alloy surface [8], the PVP was a stabilizing agent [17] that stabilized the titanium oxide film, and cobalt oxide nanoparticles increased the lifetime of the film against corrosion and increased the film area [21].
Figure 2.
SEM for (A) bare Ti alloy and (B) Ti alloy/CSNPs/PVP/CoONPs coating, and (C) its EDX.
In the EDX (Figure 2C), the elemental compositions confirm the presence of significant amounts of carbon (14%), oxygen (18%), and cobalt elements (68%), which were the main constituents of chitosan nanoparticles, PVP, and the Co oxide nanoparticles.
Figure 3 shows the TEM image, used as a microscopic technique for major analysis, of the CSNPs/PVP/CoONPs nano-coating. It shows a compact shape containing CSNPs and CoONPs of an average size of less than 60 nm.
Figure 3.
TEM image of CSNPs/PVP/CoONPs coating.
3.3. Electrochemical Impedance Spectroscopy (EIS) Measurements
The ElS technique has been used to study a wide variety of electrochemical processes such as corrosion, corrosion protection and inhibitors, as well as coating evaluation, passive layer investigation, battery development, electro-deposition, and others [28,29]. The main advantage is that an electronic model can be used to represent the electrochemical cell. A connection could be made between the physical or chemical properties of the nano-coating and the circuit elements [30]. Impedance experiments were plotted as Nyquist plots for bare alloy and coated Ti alloy in artificial saliva (AS) solution. EIS tests were performed with open circuit potential to provide an indication of the behavior of the bare and nano-coated surfaces of the tested alloy as an implant. Figure 4 shows the Nyquist plots for the bare alloy after immersion in AS for 14 days, at 37 °C. At first, the impedance values increased sharply with time up to 8 days, then they became nearly stable at 14 days because of the development of a passive TiO2 film and hydrogen desorption [31] from the alloy surface with time, indicating that the oxide film was stable for 14 days, especially when using PVP, which increased the hydrogen desorption rate with time. In the Nyquist’s plot, it can be noted that the corrosion mechanism was mainly a charge transfer.
Figure 4.
Nyquist plots of bare Ti alloy with Bode plot insets after immersion in artificial saliva at 37 °C.
Figure 5 shows the model that was used to fit the experimental results, which was a simple one-time constant model containing Rs as a solution resistance, R1 as a charge transfer resistance, and Q1 as a constant phase element. The constant phase element (CPE) was inserted instead of C, given its ideal capacitance, to account for the non-uniform alloy surface. Fitting data are shown in Table 1. The equation that expresses impedance for this model is [32,33,34,35]:
where Z(ω) is the impedance, ω is equal to 2πf (f is frequency in Hz), j = √ (−1) is the imaginary factor and α = 1 is parallel to an ideal capacitor. The value of the latter is in the range of 0 to 1.
Figure 5.
One-time constant model used to fit the experimental data of the bare alloy.
Table 1.
The impedance parameters of bare and coated Ti alloy in artificial saliva solution of pH 7.4 at 37 °C.
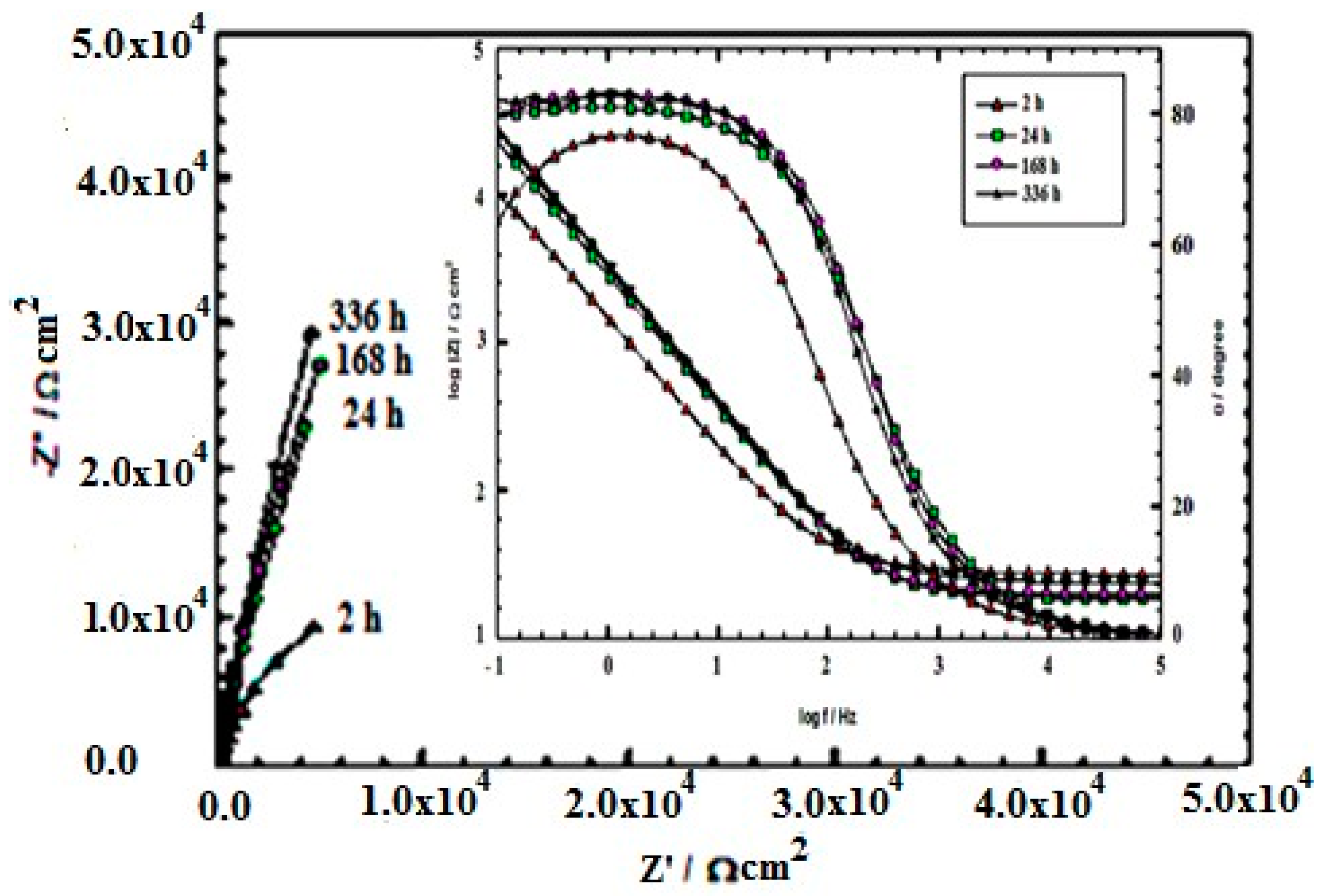
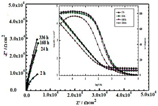
After CSNPs/PVP/CoONPs nano-coating, first, the impedance value increased sharply for 24 h, and then increased steadily for 336 h, as shown in Figure 6. The content of hydrogen decreased (desorption), and the impedance increased due to the development of Ti oxides, as follows [36]:
TiH2 + O2 → TiO2 + H2↑
3TiH2 + 1/2 O2 → Ti3O + 3H2↑
Figure 6.
Nyquist plots and Bode plot inset of Ti alloy/CSNPs/PVP/CoONPs coating on the Ti alloy surface after immersion for (a) 0–24 h and (b) 96–336 h in artificial saliva at 37 °C.
These oxides indicate that the alloy became stable quickly after coating, with a higher hydrogen desorption rate. This shows that the coating worked effectively, because of the high adsorption properties of the chitosan nanoparticles, which act as a resorbable polymer that helped in the formation of more Ti oxides. Additionally, the high consistency of PVP included cobalt oxide nanoparticles as inorganic matrices that increased the film’s protective qualities, and also imparted a large surface to the film. This method is simpler than other methods [37,38].
Figure 7 shows the model that was used to fit [39,40,41,42] the prepared nano-coating. Although data were gathered down to 100 mHz, the Nyquist plots do not give a complete semicircle at these frequencies. The fitting of these data required a three-time constant model containing two parallel CPEs (Q1 and Q2) used in parallel, with a third capacitance C3 and a third resistance R3. In this case, interfacial impedance (Z) can be defined by [43]:
is the solution resistance and R1, R2, and R3 are the resistances of the three formed layers. R1 and R2 are the outermost layers, and R3 is the innermost layer [44,45].
Figure 7.
Three-time constant model used to fit the experimental data of the nano-coating.
The fitting data are given in Table 1. They indicate that the coating had a high resistance value and low hydrogen evolution rate compared to the bare metal, giving a protection efficiency of 90.87% (336 h), as shown in Table 2. Herein, the α values were from 0.92 to 0.96, near to 1, indicating the charge transfer mechanism, and their values were slightly higher after coating, indicating more passivity.
Table 2.
PE% of coated Ti alloy in artificial saliva solution at 37 °C.
The protection efficiency was calculated using the following equation [5]:
where and show the total resistances of uncoated and coated Ti alloys, respectively.
The EIS data show that the CSNPs/PVP/CoONPs-coated alloy exhibited excellent corrosion protection, with the highest inner layer corrosion resistance of 17.7 ± 0.52 MΩ cm2. This is due to PVP being a ring binder containing oxazole moiety, nitrogen, and oxygen atoms with pairs of electrons that effectively adsorbed the chitosan (resorbable polymer) on the alloy surface through coordinate covalent bonds. Additionally, the Co oxide nanoparticles enhanced the corrosion protection of the coating by increasing its area and magnetic properties.
3.4. Potentiodynamic Measurements
Tafel lines of the bare alloy and CSNPs/PVP/CoONPs coating were developed after 14 days of immersion in a synthetic saliva solution at 37 °C, −1.2 to 0 V, with a scan rate of 1 mV·s−1. Figure 8 shows the Tafel lines, wherein the corrosion current density (icorr) and potential (Ecorr) can be determined by the extrapolation and interception of Tafel lines, and the interception point indicates the Ecorr and icorr values [46,47]. Additionally, the hydrogen evolution rate was lower for the coating than for the bare metal, as shown by the cathodic branches, ensuring passivation [31]. The decrease in hydrogen was due to the formation of Ti oxides (TiO2 and Ti3O). At the cathode, the hydrogen ions accepted electrons to form gaseous hydrogen (H2↑), as follows (reduction reaction) [36]:
2H+ + 2e− → H2↑
Figure 8.
Tafel plots for bare Ti alloy and a CsNPs/PVP/CoONPs-coated Ti alloy after immersion in artificial saliva at 37 °C.
While a water oxidation reaction occurred at the anode:
H2O → ½ O2 + 2H+ + 2e−
The results (Table 3) show the electrochemical corrosion potential (Ecorr) of the CSNPs/PVP/CoONPs coating compared to the bare alloy. A more positive potential value was achieved by the CSNPs/PVP/CoONPs coating, of −383 ± 17 mV, with a protection efficiency of 94.48%, which was calculated from the following equation [5]:
where and are the uncoated and coated corrosion current densities, respectively. This PE% of 94.48% is compatible with that obtained from impedance measurements. The difference is small between both techniques—90.87% from EIS and 94.48% from polarization after 336 h of immersion—and this was due to the EIS depending on an AC current and the polarization depending on a DC current.
Table 3.
Corrosion parameters of bare and coated Ti alloy in artificial saliva solution after 336 h of immersion at 37 °C.
Finally, all techniques confirmed that the CSNPs/PVP/CoONPs nano-coatings worked excellently compared to the bare alloy for 336 h, owing to the formation of more oxides of titanium and to the presence of oxygen and nitrogen atoms in CS and PVP, which effectively adsorbed and bound the coating to the alloy surface, and decreased the hydrogen evolution rate. In addition, Co oxide nanoparticles were utilized as fillers to strengthen and enhance the alloy corrosion resistance.
3.5. Microhardness Measurements
A Vickers microhardness test was performed on the two samples of bare and nano-coated alloy. The test [48] is a simple test that reflects the performance of the alloy and predicts its mechanical properties. The microhardness test was performed on the surface at five points, and the average was acquired. The outcomes were compared to the acceptable values for the Vickers microhardness test indicated in the ISO 10074 standard. It was found that the alloy with the coating had a higher hardness value of 387 HV compared to that of the bare metal (321 HV) as given in Table 4. This shows that the coating improved the alloy’s hardness.
Table 4.
The hardness of the Ti alloy before and after coating.
4. Conclusions
Generally, the coating achieved excellent results, as confirmed by different techniques, and it could be applied industrially in the market as a dental implant, given the following significant results:
- The electrochemical corrosion resistance of Ti-6Al-4V alloy, either uncoated or coated with a CSNPs/PVP/CoONPs nano-coating after immersion in synthetic saliva solution at 37 °C, increased with immersion time, and the hydrogen evolution rate decreased, as observed via the polarization technique focused on the cathodic branch, by lowering its current value compared to the bare electrode. This was due to coating desorption and the formation of both TiO2 and Ti3O;
- The novel biocompatible nano-coating improved the electrochemical corrosion resistance of the Ti-6Al-4V alloy, and reached 90.87% protection efficiency, with a good microhardness of 387 Hv;
- Very low corrosion current density has been observed for the nano-coating of 12.589 nA·cm−2, compared to that of the bare alloy;
- Generally, it was a simple, cheap, and easy nano-polymer composite to prepare. It is an important novel nano-composite polymer coating that could be applied industrially;
- Finally, this work will be valuable in the development of a biocompatible implant in dentistry with excellent corrosion resistance.
Author Contributions
Conceptualization, A.M.F.; methodology, A.M.F.; software, A.M.F.; validation, A.M.F.; formal analysis, A.M.F.; investigation, A.M.F.; resources, A.M.F.; data curation, A.M.F., R.S.E.; writing—original draft preparation, A.M.F.; writing—review and editing, A.M.F., R.S.E., S.S.M.; visualization, A.M.F., R.S.E., S.S.M., S.A.A.-G.; supervision, A.M.F.; All authors have read and agreed to the published version of the manuscript.
Funding
This research received no external funding.
Data Availability Statement
The data will be available upon request.
Conflicts of Interest
The authors declare no conflict of interest.
References
- Ahmed, R.A.; Fekry, A.M.; Farghali, R.A. A study of calcium carbonate/multiwalled-carbon nanotubes/chitosan composite coatings on Ti–6Al–4V alloy for orthopedic implants. Appl. Surf. Sci. 2013, 285 Part B, 309–316. [Google Scholar] [CrossRef]
- Nespoli, A.; Passaretti, F.; Szentmiklósi, L.; Maróti, B.; Placidi, E.; Cassetta, M.; Yada, R.Y.; Farrar, D.H.; Tian, K.V. Biomedical NiTi and β-Ti Alloys: From Composition, Microstructure and Thermo-Mechanics to Application. Metals 2022, 12, 406. [Google Scholar] [CrossRef]
- Gain, A.K.; Zhang, L.; Lim, S. Tribological behavior of Ti–6Al–4V alloy: Subsurface structure, damage mechanism and mechanical properties. Wear 2021, 203551, 464–465. [Google Scholar] [CrossRef]
- Fekry, A.M. The influence of chloride and sulphate ions on the corrosion behavior of Ti and Ti-6Al-4V alloy in oxalic acid. Electrochim. Acta 2009, 54, 3480–3489. [Google Scholar] [CrossRef]
- Bose, S.; Pathak, L.C.; Singh, R. Response of boride coating on the Ti-6Al-4V alloy to corrosion and fretting corrosion behavior in Ringer’s solution for bio-implant application. Appl. Surf. Sci. 2018, 433, 1158–1174. [Google Scholar] [CrossRef]
- Sivakumar, B.; Pathak, L.C.; Singh, R. Role of surface roughness on corrosion and fretting corrosion behaviour of commercially pure titanium in Ringer’s solution for bio-implant application. Appl. Surf. Sci. 2017, 401, 385–398. [Google Scholar] [CrossRef]
- Michael, F.M.; Khalid, M.; Walvekar, R.; Ratnam, C.T.; Ramarad, S.; Siddiqui, H.; Hoque, M.E. Effect of nanofillers on the physico-mechanical properties of load bearing bone implants. Mater. Sci. Eng. C 2016, 67, 792–806. [Google Scholar] [CrossRef]
- Fekry, A.M. Electrochemical behavior of a novel nano-composite coat on Ti alloy in phosphate buffer solution for biomedical applications. RSC Adv. 2016, 6, 20276–20285. [Google Scholar] [CrossRef]
- Benea, L.; Celis, J.P. Reactivity of porous titanium oxide film and chitosan layer electrochemically formed on Ti-6Al-4V alloy in biological solution. Surf. Coat. Technol. 2018, 354, 145–152. [Google Scholar] [CrossRef]
- Renoud, P.; Toury, B.; Benayoun, S.; Attik, G.; Grosgogeat, B. Functionalization of titanium with chitosan via silanation: Evaluation of biological and mechanical performances. PLoS ONE 2012, 7, e39367. [Google Scholar] [CrossRef]
- Shukla, S.K.; Mishra, A.K.; Arotiba, O.A.; Mamba, B.B. Chitosan-based nanomaterials: A state-of-the-art review. Int. J. Biol. Macromol. 2013, 59, 46–58. [Google Scholar] [CrossRef] [PubMed]
- No, H.K.; Park, N.Y.; Lee, S.H.; Meyers, S.P. Antibacterial activity of chitosans and chitosan oligomers with different molecular weights. Int. J. Food Microbiol. 2002, 74, 65–72. [Google Scholar] [CrossRef]
- Jeon, Y.J.; Park, P.J.; Kim, S.K. Antimicrobial effect of chitooligosaccharides produced by bioreactor. Carbohydr. Polym. 2001, 44, 71–76. [Google Scholar] [CrossRef]
- Kim, K.H.; Kwon, T.Y.; Kim, S.Y.; Kang, I.K.; Kim, S.; Yang, Y.; Ong, J.L. Preparation and characterization of anodized titanium surfaces and their effect on osteoblast responses. J. Oral Implantol. 2006, 32, 8–13. [Google Scholar] [CrossRef]
- Groessner-Schreiber, B.I.R.T.E.; Tuan, R.S. Enhanced extracellular matrix production and mineralization by osteoblasts cultured on titanium surfaces in vitro. J. Cell Sci. 1992, 101, 209–217. [Google Scholar] [CrossRef]
- Mohan, L.; Anandan, C.; Rajendran, N. Electrochemical behaviour and bioactivity of self-organized TiO2 nanotube arrays on Ti-6Al-4V in Hanks’ solution for biomedical applications. Electrochim. Acta 2015, 155, 411–420. [Google Scholar] [CrossRef]
- Tsekova, P.B.; Spasova, M.G.; Manolova, N.E.; Markova, N.D.; Rashkov, I.B. Electrospun curcumin-loaded cellulose acetate/polyvinylpyrrolidone fibrous materials with complex architecture and antibacterial activity. Mater. Sci. Eng. C 2017, 73, 206–214. [Google Scholar] [CrossRef]
- Hussein, M.S.; Fekry, A.M. Effect of fumed silica/chitosan/poly (vinylpyrrolidone) composite coating on the electrochemical corrosion resistance of Ti–6Al–4V alloy in artificial saliva solution. ACS Omega 2019, 4, 73–78. [Google Scholar] [CrossRef]
- Hourania, M.K.; Abo-Hassan, H. Promotion of Copper Corrosion Inhibition by Application of a Square Wave Potential Regime to Copper Specimens in Polyvinylpyrrolidone Solutions. Port. Electrochim. Acta 2016, 34, 267–275. [Google Scholar] [CrossRef]
- Al Juhaiman, L.A. Polyvinyl pyrrolidone as a corrosion inhibitor for carbon steel in HCl. Int. J. Electrochem. Sci. 2016, 11, 2247–2262. [Google Scholar]
- Punetha, V.D.; Rana, S.; Yoo, H.J.; Chaurasia, A.; McLeskey Jr, J.T.; Ramasamy, M.S.; Sahoo, N.G.; Cho, J.W. Functionalization of carbon nanomaterials for advanced polymer nanocomposites: A comparison study between CNT and graphene. Prog. Polym. Sci. 2017, 67, 1–47. [Google Scholar] [CrossRef]
- Liu, X.; Yu, Y.; Niu, Y.; Bao, S.; Hu, W. Cobalt nanoparticle decorated graphene aerogel for efficient oxygen reduction reaction electrocatalysis. Int. J. Hydrogen Energy 2017, 42, 5930–5937. [Google Scholar] [CrossRef]
- Ansari, S.M.; Bhor, R.D.; Pai, K.R.; Sen, D.; Mazumder, S.; Ghosh, K.; Kolekar, Y.D.; Ramana, C.V. Cobalt nanoparticles for biomedical applications: Facile synthesis, physiochemical characterization, cytotoxicity behavior and biocompatibility. Appl. Surf. Sci. 2017, 414, 171–187. [Google Scholar] [CrossRef]
- Ponnuraj, R.; Janakiraman, K.; Gopalakrishnan, S.; Jeyakumar, H.J.; Venkateswarlu, V.; Narayanan, D.S. Formulation and characterization of rosuvastatin calcium nanoparticles. Indo Am. J. Pharm. Res. 2015, 5, 767–779. [Google Scholar]
- Rupareliya, D.; Patel, J.; Patel, K.; Upadhyay, P.; Shah, S. Chitosan: A promising agent for formulation of nano particle. J. Pharm. Sci. Biosci. Res. 2015, 5, 394–398. [Google Scholar]
- Pan, Y.; Li, Y.J.; Zhao, H.Y.; Zheng, J.M.; Xu, H.; Wei, G.; Hao, J.S. Bioadhesive polysaccharide in protein delivery system: Chitosan nanoparticles improve the intestinal absorption of insulin in vivo. Int. J. Pharm. 2002, 249, 139–147. [Google Scholar] [CrossRef]
- Ali, S.W.; Rajendran, S.; Joshi, M. Synthesis and characterization of chitosan and silver loaded chitosan nanoparticles for bioactive polyester. Carbohydr. Polym. 2011, 83, 438–446. [Google Scholar] [CrossRef]
- Grosgogeat, B.; Boinet, M.; Dalard, F.; Lissac, M. Electrochemical studies of the corrosion behaviour of titanium and the Ti–6Al–4V alloy using electrochemical impedance spectroscopy. Bio-Med. Mater. Eng. 2004, 14, 323–331. [Google Scholar]
- Contu, F.; Elsener, B.; Böhni, H. Serum effect on the electrochemical behaviour of titanium, Ti6Al4V and Ti6Al7Nb alloys in sulphuric acid and sodium hydroxide. Corros. Sci. 2004, 46, 2241–2254. [Google Scholar] [CrossRef]
- Zwilling, V.; Aucouturier, M.; Darque-Ceretti, E. Anodic oxidation of titanium and TA6V alloy in chromic media. An electrochemical approach. Electrochim. Acta 1999, 45, 921–929. [Google Scholar] [CrossRef]
- Ben David, R.; Finkelstein, Y.; Grinberg, E.; Samuha, S.; Rabkin, E.; Cohen, D. Oxidation induced cubic-tetragonal phasetransformation in titanium hydride powders. Int. J. Hydrogen Energy 2020, 45, 25043–25053. [Google Scholar] [CrossRef]
- Pfaller, M.A.; Burmeister, L.; Bartlett, M.S.; Rinaldi, M.G. Multicenter evaluation of four methods of yeast inoculum preparation. J. Clin. Microbiol. 1988, 26, 1437–1441. [Google Scholar] [CrossRef]
- Chen, L.; Zhang, H.; Zheng, C.; Yang, H.; Qin, P.; Zhao, C.; Lu, S.; Liang, S.; Chai, L.; Zhang, L. Corrosion behavior and characteristics of passive films of laser powder bed fusion produced Ti–6Al–4V in dynamic Hank’s solution. Mater. Des. 2021, 208, 109907. [Google Scholar] [CrossRef]
- Qin, P.; Chen, L.Y.; Liu, Y.J.; Jia, Z.; Liang, S.X.; Zhao, C.H.; Sun, H.; Zhang, L.C. Corrosion and passivation behavior of laser powder bed fusion produced Ti-6Al-4V in static/dynamic NaCl solutions with different concentrations. Corros. Sci. 2021, 191, 109728. [Google Scholar] [CrossRef]
- Qin, P.; Chen, L.Y.; Zhao, C.H.; Liu, Y.J.; Cao, C.D.; Sun, H.; Zhang, L.C. Corrosion behavior and mechanism of selective laser melted Ti35Nb alloy produced using pre-alloyed and mixed powder in Hank’s solution. Corros. Sci. 2021, 189, 109609. [Google Scholar] [CrossRef]
- Dubent, S.; Mazard, A. Characterization and corrosion behaviour of grade 2 titanium used in electrolyzers for hydrogen production. Int. J. Hydrogen Energy 2019, 44, 15622–15633. [Google Scholar] [CrossRef]
- Zhang, L.C.; Chen, L.Y.; Wang, L. Surface modification of titanium and titanium alloys: Technologies, developments, and future interests. Adv. Eng. Mater. 2020, 22, 1901258. [Google Scholar] [CrossRef]
- Wang, L.; Xie, L.; Lv, Y.; Zhang, L.C.; Chen, L.; Meng, Q.; Qu, J.; Zhang, D.; Lu, W. Microstructure evolution and superelastic behavior in Ti-35Nb-2Ta-3Zr alloy processed by friction stir processing. Acta Mater. 2017, 131, 499–510. [Google Scholar] [CrossRef]
- Salama, N.N.; Azab, S.M.; Mohamed, M.A.; Fekry, A.M. A novel methionine/palladium nanoparticle modified carbon paste electrode for simultaneous determination of three antiparkinson drugs. RSC Adv. 2015, 5, 14187–14195. [Google Scholar] [CrossRef]
- Abdelrahman, E.M.; El-Araby, T.M.; Essa, K.S. Shape and depth determinations from second moving average residual self-potential anomalies. J. Geophys. Eng. 2009, 6, 43–52. [Google Scholar] [CrossRef]
- Essa, K.S. New fast least-squares algorithm for estimating the best-fitting parameters due to simple geometric-structures from gravity anomalies. J. Adv. Res. 2014, 5, 57–65. [Google Scholar] [CrossRef] [PubMed]
- Fekry, A.M.; Azab, S.M.; Shehata, M.; Ameer, M.A. A novel electrochemical nicotine sensor based on cerium nanoparticles with anionic surfactant. RSC Adv. 2015, 5, 51662–51671. [Google Scholar] [CrossRef]
- Esplandiu, M.J.; Patrito, E.M.; Macagno, V.A. Characterization of hafnium anodic oxide films: An AC impedance investigation. Electrochim. Acta 1995, 40, 809–815. [Google Scholar] [CrossRef]
- Fekry, A.M.; Tammam, R.H. The influence of different anions on the corrosion resistance of Ti-6Al-4V alloy in simulated acid rainwater. Ind. Eng. Chem. Res. 2014, 53, 2911–2916. [Google Scholar] [CrossRef]
- Heakal, F.E.T.; Fekry, A.M. Experimental and theoretical study of uracil and adenine inhibitors in Sn-Ag alloy/nitric acid corroding system. J. Electrochem. Soc. 2008, 155, C534–C542. [Google Scholar] [CrossRef]
- Fekry, A.M.; Ghoneim, A.A.; Ameer, M.A. Electrochemical impedance spectroscopy of chitosan coated magnesium alloys in a synthetic sweat medium. Surf. Coat. Technol. 2014, 238, 126–132. [Google Scholar] [CrossRef]
- El-Gamel, N.E.; Fekry, A.M. Antimicrobial ruthenium complex coating on the surface of titanium alloy. High efficiency anticorrosion protection of ruthenium complex. Bioelectrochemistry 2015, 104, 35–43. [Google Scholar] [CrossRef]
- Resali, N.A.; Hyie, K.M.; Berhan, M.N.; Salleh, Z.; Kasolang, S. Cobalt-nickel-iron nanoparticles coated on stainless steel substrate. Procedia Eng. 2013, 68, 30–36. [Google Scholar] [CrossRef]
Publisher’s Note: MDPI stays neutral with regard to jurisdictional claims in published maps and institutional affiliations. |
© 2022 by the authors. Licensee MDPI, Basel, Switzerland. This article is an open access article distributed under the terms and conditions of the Creative Commons Attribution (CC BY) license (https://creativecommons.org/licenses/by/4.0/).







