Radiation Effects in Amorphous Metallic Alloys as Revealed by Mössbauer Spectrometry: Part II. Ion Irradiation
Abstract
:1. Introduction
2. Materials and Methods
2.1. Mössbauer Spectrometry
2.2. Investigated Materials and Irradiation Conditions
3. Results
- Light ions accelerated to rather low energies;
- Swift heavy ions.
3.1. Light Ions
3.1.1. NANOPERM-Type Fe76Mo8Cu1B15 Amorphous Metallic Alloy
3.1.2. FINEMET-Type Fe74Cu1Nb3Si16B6 Amorphous Metallic Alloy
3.1.3. NANOPERM-Type versus FINEMET-Type Amorphous Metallic Alloy
3.1.4. 57Fe81Mo8Cu1B10 Amorphous Metallic Alloy
3.1.5. 57Fe75Mo8Cu1B16 Amorphous Metallic Alloy
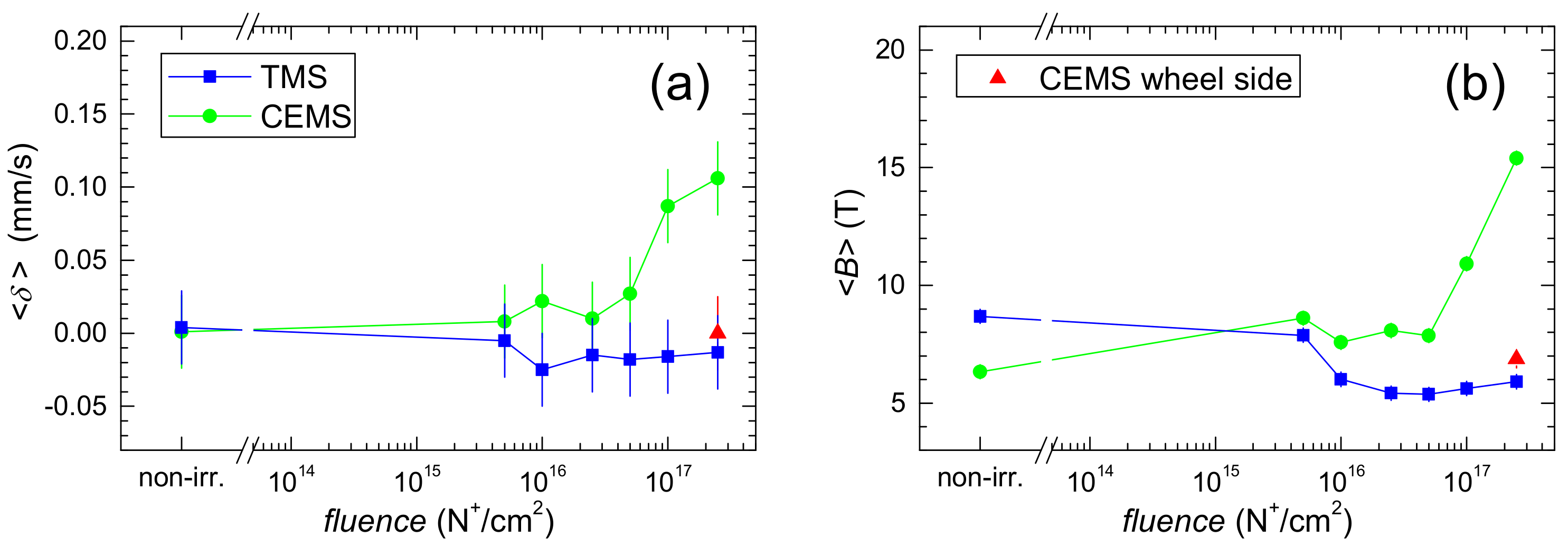
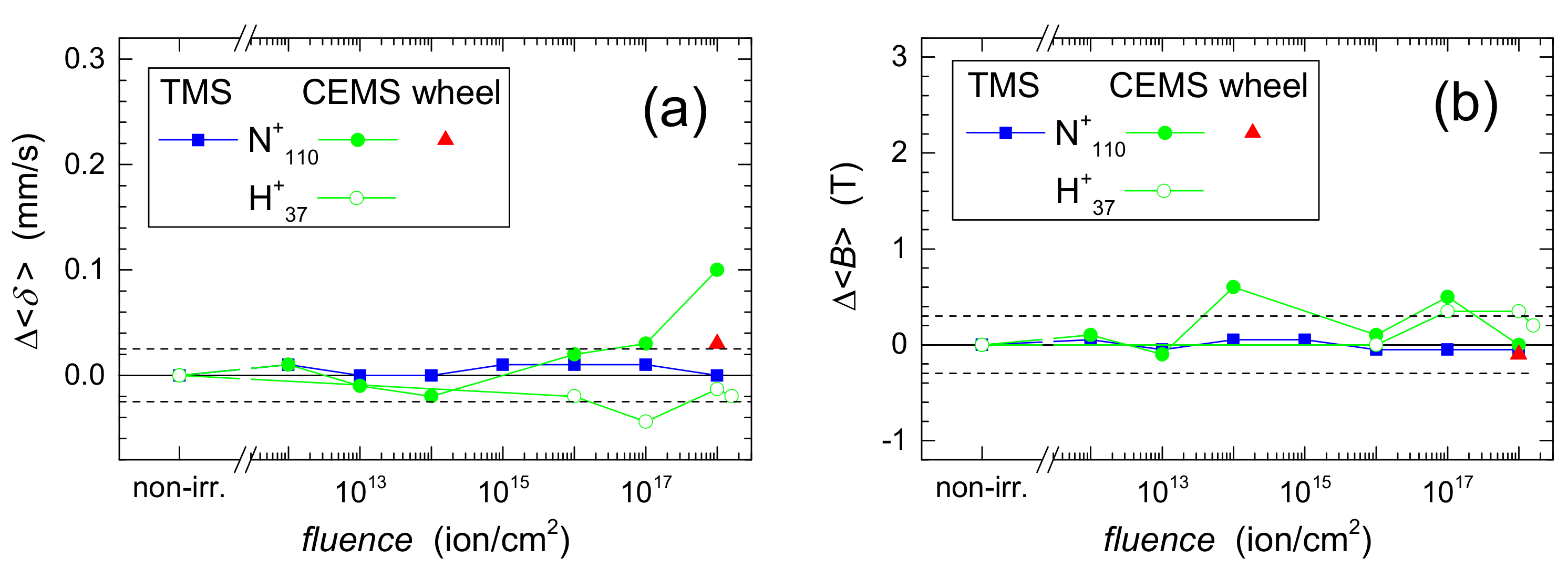
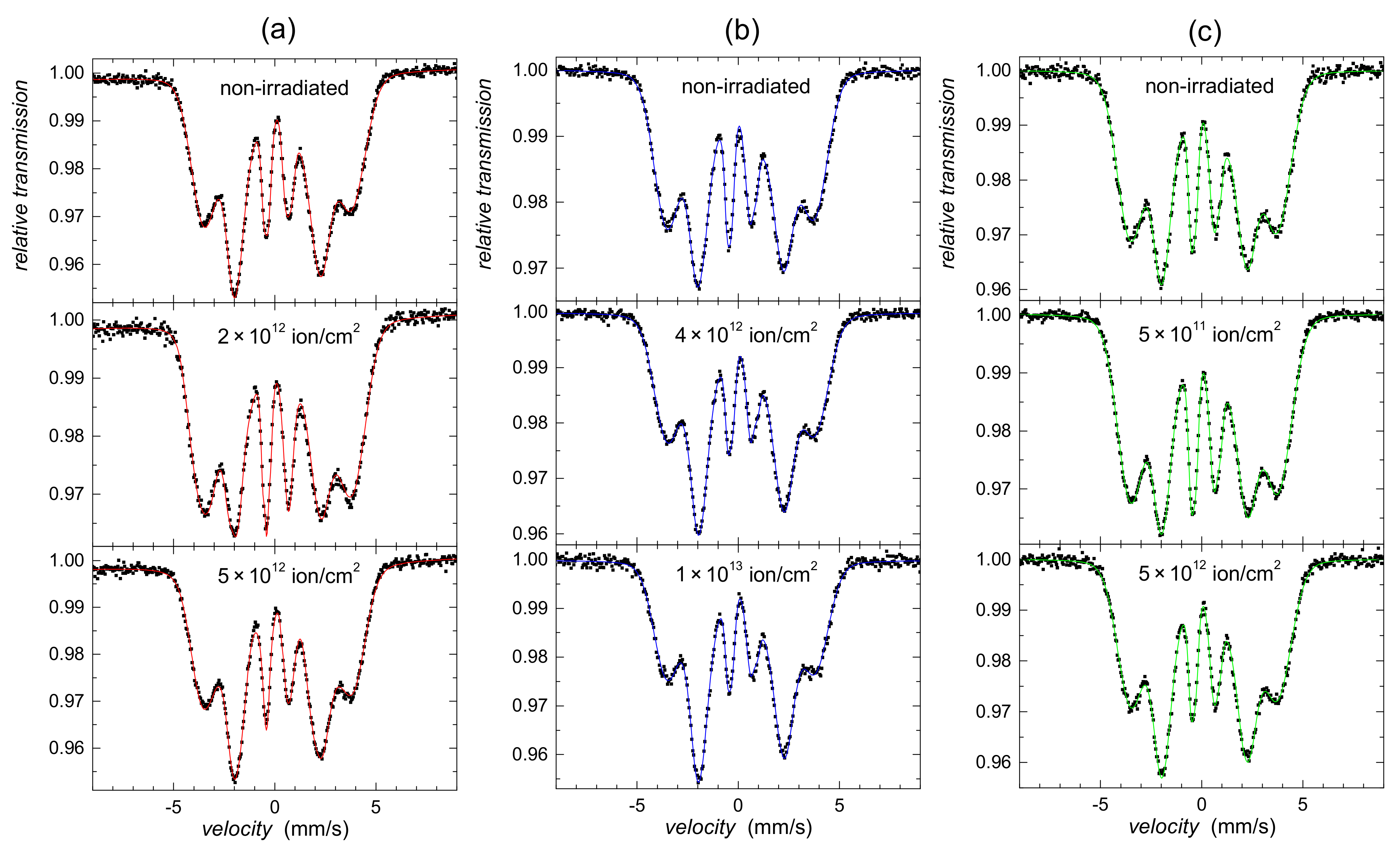
3.1.6. Fe-Mo-Cu-B-Type Amorphous Metallic Alloys Irradiated by 130 keV N+ Ions
3.2. Swift Heavy Ions
3.2.1. VITROPERM Fe73Cu1Nb3Si16B7 Amorphous Metallic Alloy
3.2.2. Fe74Cu1Nb3Si16B6 Amorphous Metallic Alloy
4. Discussion
4.1. Light Ions
4.2. Heavy Ions
5. Conclusions
Funding
Institutional Review Board Statement
Informed Consent Statement
Data Availability Statement
Acknowledgments
Conflicts of Interest
References
- Spiller, P.; Blasche, K.; Franczak, B.; Kirk, M.; Hulsmann, P.; Omet, C.; Ratschow, S.; Stadlmann, J. Accelerator plans at GSI for plasma physics applications. Nucl. Instr. Meth. Phys. Res. A 2005, 544, 117–124. [Google Scholar] [CrossRef]
- Spiller, P.; Franchetti, G. The FAIR accelerator project at GSI. Nucl. Instr. Meth. Phys. Res. A 2006, 561, 305–309. [Google Scholar] [CrossRef]
- Spiller, P.; Barth, W. FAIR–Status and relevance for heavy ion fusion. Nucl. Instr. Meth. Phys. Res. A 2014, 733, 171–177. [Google Scholar] [CrossRef]
- Pavlovič, M.; Miglierini, M.; Mustafin, E.; Ensinger, W.; Šagátová, A.; Šoka, M. Radiation damage studies of soft magnetic metallic glasses irradiated with high-energy heavy ions. Rad. Eff. Defects Sol. 2015, 170, 1–6. [Google Scholar] [CrossRef]
- Pavlovič, M.; Miglierini, M.; Mustafin, E.; Seidl, T.; Ensinger, W.; Strašík, I.; Šoka, M. Ion irradiation studies of soft metallic glasses. Acta Phys. Pol. A 2010, 118, 745–755. [Google Scholar] [CrossRef]
- Hasiak, M.; Miglierini, M. Magnetic Properties of Ion Irradiated Fe75Mo8Cu1B16 Metallic Glass. Acta Phys. Pol. A 2017, 131, 768–770. [Google Scholar] [CrossRef]
- Hasiak, M.; Miglierini, M. Impact of ion-irradiation upon microstructure and magnetic properties of NANOPERM-type Fe81Mo8Cu1B10 metallic glass. Acta Phys. Pol. A 2018, 133, 680–683. [Google Scholar] [CrossRef]
- Wu, Y.; Peng, K. Impact of Ion Bombardment on the Structure and Magnetic Properties of Fe78Si13B9 Amorphous Alloy. JOM 2018, 70, 861–865. [Google Scholar] [CrossRef]
- Peng, K.; Tang, L.; Wu, Y. Evolution of microstructure and magnetic properties of Fe73.5Si13.5B9Nb3Cu1 amorphous alloy during ion bombardment process. J. Magn. Magn. Mater. 2018, 460, 297–301. [Google Scholar] [CrossRef]
- Xiaonan Zhang, Y.W.; Mei, X.; Zhang, Q.; Li, X.; Qiang, J. Damage induced by helium ion irradiation in Fe-based metallic glass. J. Nucl. Mater. 2017, 490, 216–225. [Google Scholar] [CrossRef] [Green Version]
- Avasthi, D.K. Some interesting aspects of swift heavy ions in materials science. Curr. Sci. 2000, 78, 1297–1306. [Google Scholar]
- Zhang, K.; Wang, Y.; Zhang, W.; Hu, Z.; Wei, B.; Feng, Y. Crystallization behavior and mechanical response of metallic glass induced by ion irradiation at elevated temperature. J. Nucl. Mater. 2021, 545, 152618. [Google Scholar] [CrossRef]
- Suo, Y.; Zhang, L.; Guan, T.; Mei, X.; Zhang, X.; Zhang, C.; Yang, Y.; Cao, X.; Qiang, J.; Wang, Y. Study on the irradiation damage in Fe-based metallic glasses induced by Ne10+ ions. Fusion. Eng. Des. 2020, 157, 111635. [Google Scholar] [CrossRef]
- Luo, Q.; Fan, X.; Miao, B.; Shen, B.; Shen, J. Ar ion irradiation effect on the soft magnetic performance of Fe-based amorphous alloys. J. Magn. Magn. Mater. 2020, 511, 166962. [Google Scholar] [CrossRef]
- Dong, Q.; Yao, Z.; Wang, Q.; Yu, H.; Kirk, M.A.; Daymond, M.R. Precipitate stability in a Zr-2.5Nb-0.5Cu alloy under heavy ion irradiation. Metals 2017, 7, 287. [Google Scholar] [CrossRef] [Green Version]
- Rodríguez, M.D.; Afra, B.; Trautmann, C.; Toulemonde, M.; Bierschenk, T.; Leslie, J. Morphology of swift heavy ion tracks in metallic glasses. J. Non–Cryst. Solids. 2012, 358, 571–576. [Google Scholar] [CrossRef]
- Michalík, Š.; Michalíková, J.; Pavlovič, M.; Sovák, P.; Liermann, H.-P.; Miglierini, M. Structural modifications of swift-ion-bombarded metallic glasses studied by high-energy X-ray synchrotron radiation. Acta Mater. 2014, 80, 309–316. [Google Scholar] [CrossRef]
- Michalík, Š.; Pavlovič, M.; Gamcová, J.; Sovák, P.; Miglierini, M. Effects of Heavy-Ions on Soft-Magnetic Metallic Glasses Studied by Diffraction of Synchrotron Radiation. Acta Phys. Pol. A 2017, 131, 657–659. [Google Scholar] [CrossRef]
- Michalik, Š.; Cesnek, M.; Pavlovič, M.; Miglierini, M. The effects of swift Xe ion bombardment on the amorphous structure of a VITROPERM type alloy. J. Alloy. Compd. 2019, 795, 69–78. [Google Scholar] [CrossRef]
- Vrba, V.; Procházka, V.; Miglierini, M. Identification of spatial magnetic inhomogeneities by nuclear forward scattering of synchrotron radiation. J. Synch. Rad. 2019, 26, 1310–1315. [Google Scholar] [CrossRef] [PubMed]
- Kuzmann, E.; Spirov, I.N. Mössbauer study of amorphous alloys irradiated with energetic heavy ions. J. Nucl. Mater. 1985, 137, 22–32. [Google Scholar] [CrossRef]
- Kuzmann, E.; Lakatos-Varsanyi, M.; Nomura, K.; Ujihira, Y.; Masumoto, T.; Principi, G.; Tosello, C.; Havancsak, K.; Vértes, A. Combination of electrochemical hydrogenation and Mössbauer spectroscopy as a tool to show the radiation effect of energetic heavy ions in Fe–Zr amorphous alloys. Electrochem. Commun. 2000, 2, 130–134. [Google Scholar] [CrossRef]
- Juraszek, J.; Fnidiki, A.; Toulemonde, M. Induced magnetic anisotropy in metallic glasses irradiated by swift heavy ions. J. Appl. Phys. 2001, 89, 3151–3155. [Google Scholar] [CrossRef]
- Kuzmann, E.; Virag, I.; Pöppi, L.; Havancsak, K.; Klencsar, Z.; Novochatskii, I.A.; Garg, V.K.; De Oliviera, A.C.; Vértes, A. Effects of Heavy Ion Irradiation on Short-Range Order of Fe–Cr–P–C Amorphous Alloys Investigated by Mössbauer and DSC Measurements. Hyperfine Interact. 2002, 139/140, 561–568. [Google Scholar] [CrossRef]
- Amrute, K.V.; Kothari, D.C.; Kanjilal, D. Mössbauer study of ferromagnetic metallic glasses irradiated by swift heavy ions at temperatures 100 and 300 K. Hyperfine Interact. 2008, 184, 599–607. [Google Scholar] [CrossRef]
- Stichleutner, S.; Kuzmann, E.; Havancsák, K.; Huhn, A.; El-Sharif, M.R.; Chisholm, C.U.; Doyle, O.; Skuratov, V.; Homonnay, Z.; Vértes, A. Fluence and ion dependence of amorphous iron-phase-formation due to swift heavy ion irradiation in electrodeposited iron thin films. Rad. Phys. Chem. 2011, 80, 471–474. [Google Scholar] [CrossRef]
- Kuzmann, E.; Stichleutner, S.; Sápi, A.; Varga, L.K.; Havancsák, K.; Skuratov, V.; Homonnay, Z.; Vértes, A. Mössbauer study of FINEMET type nanocrystalline ribbons irradiated with swift heavy ions. Hyperfine Interact. 2012, 207, 73–79. [Google Scholar] [CrossRef]
- Stichleutner, S.; Kuzmann, E.; Lak, G.B.; El-Sharif, M.; Chisholm, C.U.; Havancsák, K.; Skuratov, V.A.; Sziráki, L.; Homonnay, Z.; Vértes, A. Effect of swift heavy ion irradiation on the short range order in novel electrodeposited ternary amorphous alloys. Rad. Phys. Chem. 2013, 91, 166–169. [Google Scholar] [CrossRef]
- Sun, J.; Wang, Z.; Wang, Y.; Chang, H.; Song, P.; Shen, T.; Zhu, Y.; Pang, L.; Li, F. Study of local crystallization induced in FeSiNbZrB amorphous alloy by swift heavy ion (SHI) irradiation at room temperature. Nucl. Instr. Meth. Phys. Res. B. 2013, 307, 486–490. [Google Scholar] [CrossRef]
- Kane, S.N.; Shah, M.; Satalkar, M.; Gehlot, K.; Kulriya, P.K.; Avasthi, D.K. Modification of structural and magnetic properties of soft magnetic multi-component metallic glass by 80MeV 16O6+ ion irradiation. Nucl. Inst. Met. Phys. Res. B 2016, 379, 242–245. [Google Scholar] [CrossRef]
- Luo, Y.; Wang, Z.; Yang, Y.; Dou, Y.; Xie, J.; Peng, H.; Quan, N.; Wu, G.; Yan, W.; Yu, D. Effect of nitrogen ion implantation on phases, crystallization behaviors and magnetic properties of amorphous Fe-Si-B ribbons. J. Magn. Magn. Mat. 2019, 481, 68–71. [Google Scholar] [CrossRef]
- Zhang, X.; Guan, T.; Zhang, L.; Mei, X.; Wang, Y. The influence of successive irradiation of He and H ions on the structure, morphology and property of metallic glass Fe80B13Si7. Surf. Coat. Techn. 2020, 389, 125609. [Google Scholar] [CrossRef]
- Wang, Y.; Zhang, K.; Feng, Y.; Li, Y.; Tang, W.; Zhang, Y.; Wei, B.; Hu, Z. Mechanism of local hardening in metallic glass during He ion irradiation. Materialia 2020, 11, 100691. [Google Scholar] [CrossRef]
- Hou, W.; Mei, X.; Wang, Z.; Wang, Y. Resistance to He2+ irradiation damage in metallic glass Fe80Si7.43B12.57. Nucl. Instr. Meth. Phys. Res. B 2015, 342, 221–227. [Google Scholar] [CrossRef]
- Zhang, H.; Mei, X.; Wang, Y.; Wang, Z.; Wang, Y. Resistance to H+ induced irradiation damage in metallic glass Fe80Si7.43B12.57. J. Nucl. Mater. 2015, 456, 344–350. [Google Scholar] [CrossRef]
- Miglierini, M.; Lančok, A.; Pavlovič, M. Ion Bombardment of Fe-Based Amorphous Metallic Alloys. Hyperfine Interact. 2009, 189, 45–52. [Google Scholar] [CrossRef]
- Miglierini, M.; Lančok, A.; Pavlovič, M. CEMS studies of structural modifications of metallic glasses by ion bombardment. Phys. Met. Metall. 2010, 109, 469–474. [Google Scholar] [CrossRef]
- Miglierini, M.; Hasiak, M. Impact of ion irradiation upon structure and magnetic properties of NANOPERM-type amorphous and nanocrystalline alloys. J. Nanomater. 2015, 2015, 175407. [Google Scholar] [CrossRef]
- Miglierini, M.; Hasiak, M. Ion irradiation induced structural modifications of Fe81Mo8Cu1B10 NANOPERM-type alloy. Phys. Stat. Sol. A 2016, 213, 1138–1144. [Google Scholar] [CrossRef]
- Miglierini, M.B. Radiation effects in amorphous metallic alloys as revealed by Mössbauer spectrometry: Part I. Neutron irradiation. Metals 2021, 11, 845. [Google Scholar] [CrossRef]
- Nasu, S. General Introduction to Mössbauer Spectroscopy. In Mössbauer Spectroscopy, Tutorial Book; Yoshida, Y., Langouche, G., Eds.; Springer: Berlin/Heidelberg, Germany, 2013; pp. 1–22. [Google Scholar] [CrossRef]
- Principi, G. The Mössbauer effect: A romantic scientific page. Metals 2020, 10, 992. [Google Scholar] [CrossRef]
- Gütlich, P.; Bill, E.; Trautwein, A.X. Mössbauer Spectroscopy and Transition Metal. Chemistry. In Fundamentals and Applications; Springer: Berlin/Heidelberg, Germany, 2011; pp. 113–118. [Google Scholar] [CrossRef]
- Miglierini, M.; Tóth, I.; Seberíni, M.; Illeková, E.; Idzikowski, B. Structure and hyperfine interactions of melt-spun Fe80Mo7X1B12 (X = Cu or Au) before and after transformation into nanocrystalline states. J. Phys. Condens. Matter 2002, 14, 1249–1260. [Google Scholar] [CrossRef]
- Žák, T.; Jirásková, Y. CONFIT: Mössbauer spectra fitting program. Surf. Interf. Anal. 2006, 38, 710–714. [Google Scholar] [CrossRef]
- Suzuki, K.; Kataoka, N.; Inoue, A.; Makino, A.; Masumoto, T. High saturation magnetization and soft magnetic properties of bcc Fe-Zr-B alloys with ultrafine gain structure. Mater. Trans. JIM 1990, 31, 743–746. [Google Scholar] [CrossRef] [Green Version]
- Yoshizawa, Y.; Oguma, S.; Yamauchi, K. New Fe-based soft magnetic alloys composed of ultrafine grain structure. J. Appl. Phys. 1988, 64, 6044–6046. [Google Scholar] [CrossRef]
- Miglierini, M.; Škorvánek, I. Magnetic Study of Neutron Irradiated FeCrSiB Metallic Glass. Mater. Sci. Eng. A 1991, 147, 101–106. [Google Scholar] [CrossRef]
- Illeková, E.; Janičkovič, D.; Miglierini, M.; Škorvánek, I.; Švec, P. Influence of Fe/B Ratio on Thermodynamic Properties of Amorphous Fe-Mo-Cu-B. J. Magn. Magn. Mat. 2006, 304, e636–e638. [Google Scholar] [CrossRef]
- Pavúk, M.; Miglierini, M.; Vůjtek, M.; Mashlan, M.; Zbořil, R.; Jirásková, Y. AFM and Mössbauer spectrometry investigation of the nanocrystallization process in Fe-Mo-Cu-B rapidly quenched alloy. J. Phys. Condens. Matter. 2007, 19, 216219. [Google Scholar] [CrossRef]
- Kováč, P.; Pavlovič, M.; Dobrovodský, J. A 0.9 MV accelerator for materials research at the STU Bratislava. Nucl. Instr. Methods Phys. Res. B 1994, 85, 749–751. [Google Scholar] [CrossRef]
- Pavlovič, M.; Miglierini, M.; Mustafin, E.; Seidl, T.; Šoka, M.; Ensinger, W. Influence of high energy heavy ions on magnetic susceptibility of soft magnetic metallic glasses. Acta Phys. Pol. A 2014, 126, 54–55. [Google Scholar] [CrossRef]
- Pavlovič, M.; Strašík, I. Supporting routines for the SRIM code. Nucl. Instr. Methods Phys. Res. B 2007, 257, 601–604. [Google Scholar] [CrossRef]
- Mustafin, E.; Seidl, T.; Plotnikov, A.; Strašík, I.; Pavlovič, M.; Miglierini, M.; Stanček, S.; Fertman, A.; Lančok, A. Ion Irradiation Studies of Construction Materials for High-Power Accelerators. Radiat. Eff. Defects Solids 2009, 164, 460–469. [Google Scholar] [CrossRef]
- Kuzmann, E.; Spirov, I.N. Mössbauer study of amorphous alloys irradiated with energetic heavy ions. Hyperfine Interact. 1986, 29, 1175–1178. [Google Scholar] [CrossRef]
- Serfőző, G.; Kiss, L.F.; Daróczi, C.S.; Kisdi-Koszó, É.; Vértesy, G.; Slawska-Waniewska, A. Magnetic measurements of ion-implnated Fe-Cr-Si-B ribbons. IEEE Trans. Magn. 1990, 26, 1418–1420. [Google Scholar] [CrossRef]
- Gupta, A.; Habibi, S.; Lal, S.; Principi, G. Mössbauer study of surface crystallization in metallic glasses. Hyperfine Interact. 1990, 55, 967–972. [Google Scholar] [CrossRef]






















| Composition | Sample’s Label | Thickness (μm) | Width (mm) |
|---|---|---|---|
| Fe76Mo8Cu1B15 | NANOPERM | ~20 | 6 |
| 57Fe75Mo8Cu1B16 | Fe75 | ~20 | 1–2 |
| 57Fe81Mo8Cu1B10 | Fe81 | ~20 | 1–2 |
| Fe74Cu1Nb3Si16B6 | FINEMET | 22 | 20 |
| (1) Fe73Cu1Nb3Si16B7 | VP 800 | 23 | 20 |
| Sample | Ion Parameters | ||||||
|---|---|---|---|---|---|---|---|
| Type | Energy (MeV) | Maximum of Ion Range (μm) | Mean Projected Range (μm) | Range Straggling (μm) | Maximum of DPA (μm) | References | |
| Fe76Mo8Cu1B15 | H | 0.080 | 0.438 | 0.401 | 0.077 | 0.384 | [37,54] |
| N | 0.130 | 0.180 | 0.148 | 0.051 | 0.123 | [37,54] | |
| 57Fe75Mo8Cu1B16 | N | 0.130 | 0.180 | 0.148 | 0.051 | 0.130 | [38] |
| 57Fe81Mo8Cu1B10 | N | 0.130 | 0.180 | 0.148 | 0.051 | 0.123 | [39] |
| Fe74Cu1Nb3Si16B6 | H | 0.037 | 0.240 | 0.220 | 0.057 | 0.200 | [37] |
| N | 0.110 | 0.153 | 0.133 | 0.047 | 0.114 | [5,36] | |
| Au | 593 | 19.3 | 18.9 | 0.575 | 18.9 | [5,36] | |
| Fe73Cu1Nb3Si16B7 | Xe | 1450 | >23 | >23 | [4,19] | ||
| Au | 2187 | >23 | >23 | [17,52] | |||
| U | 1404 | >23 | >23 | [18,52] | |||
Publisher’s Note: MDPI stays neutral with regard to jurisdictional claims in published maps and institutional affiliations. |
© 2021 by the author. Licensee MDPI, Basel, Switzerland. This article is an open access article distributed under the terms and conditions of the Creative Commons Attribution (CC BY) license (https://creativecommons.org/licenses/by/4.0/).
Share and Cite
Miglierini, M.B. Radiation Effects in Amorphous Metallic Alloys as Revealed by Mössbauer Spectrometry: Part II. Ion Irradiation. Metals 2021, 11, 1309. https://doi.org/10.3390/met11081309
Miglierini MB. Radiation Effects in Amorphous Metallic Alloys as Revealed by Mössbauer Spectrometry: Part II. Ion Irradiation. Metals. 2021; 11(8):1309. https://doi.org/10.3390/met11081309
Chicago/Turabian StyleMiglierini, Marcel B. 2021. "Radiation Effects in Amorphous Metallic Alloys as Revealed by Mössbauer Spectrometry: Part II. Ion Irradiation" Metals 11, no. 8: 1309. https://doi.org/10.3390/met11081309
APA StyleMiglierini, M. B. (2021). Radiation Effects in Amorphous Metallic Alloys as Revealed by Mössbauer Spectrometry: Part II. Ion Irradiation. Metals, 11(8), 1309. https://doi.org/10.3390/met11081309

