Effect of Calcium Treatment on Inclusions in H08A Welding Rod Steel
Abstract
:1. Introduction
2. Experiment
3. Experiment Result
3.1. Typical Inclusions in Welding Rod Steel before and after Calcium Treatment
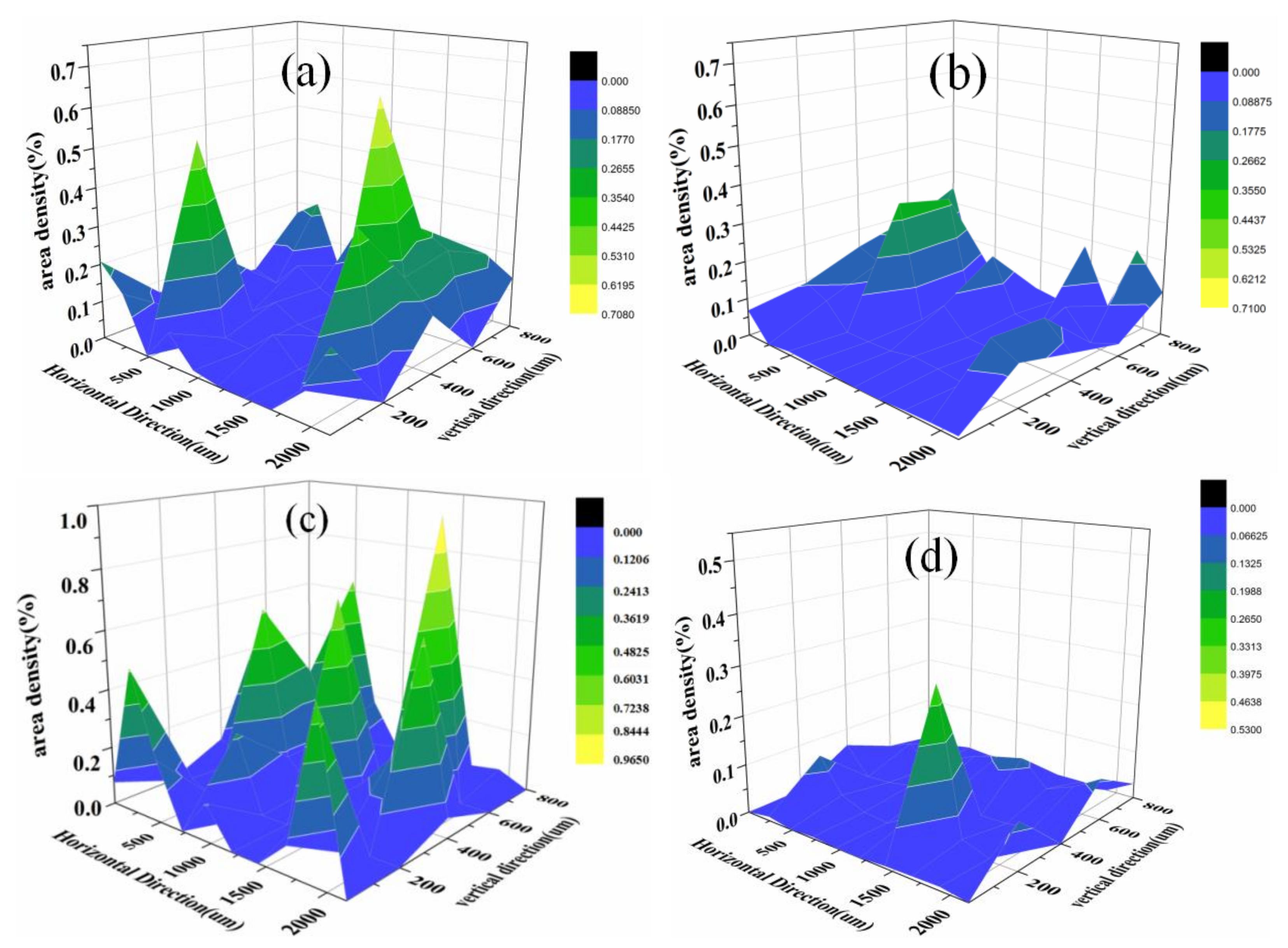
3.2. Particle Size Distribution and Quantity Variation of Inclusions
3.3. Effect of Calcium Treatment on Composition of Magnesium Aluminate Spinel in Steel
4. Analysis and Discussion
4.1. Effect of Calcium Treatment on Al2O3 Non-Metallic Inclusions in Steel
4.2. Effect of Calcium Treatment on Magnesium Aluminate Spinel in Steel
5. Conclusions
Author Contributions
Funding
Institutional Review Board Statement
Data Availability Statement
Conflicts of Interest
References
- Zhang, T.; Li, Z.; Young, F.; Kim, H.J.; Li, H.; Jing, H.; Tillmann, W. Global Progress on Welding Consumables for HSLA Steel. ISIJ Int. 2014, 54, 1472–1484. [Google Scholar] [CrossRef] [Green Version]
- Solid Wire Electrodes, Tubular Cored Electrodes and Electrode/Flux Combinations for Submerged Arc Welding of Non Alloy and Fine Grain Steels (ISO 14171:2016); Standards Press of China: Beijing, China, 2016.
- Tanaka, K.; Akiniwa, Y. Fatigue Fract. Fatigue crack propagation behavior derived from S-N data in very high cycle regime. Fatigue Fract. Eng. Mater. Struct. 2002, 25, 775–784. [Google Scholar]
- Akiniwa, Y.; Miyamoto, N.; Tsuru, H. Notch effect on fatigue strength reduction of bearing steel in the very high cycle regime. Int. J. Fatigue 2006, 28, 1555–1565. [Google Scholar] [CrossRef]
- Shiozaw, K.; Hasegawa, T.; Kashiwagi, Y.; Lu, L. Very high cycle fatigue properties of bearing steel under axial loading condition. Int. J. Fatigue 2009, 31, 880–888. [Google Scholar] [CrossRef]
- Shiozawa, K.; Murai, M.; Shimatani, Y.; Yoshimoto, T. Transition of fatigue failure mode of Ni–Cr–Mo low-alloy steel in very high cycle regime. Int. J. Fatigue 2010, 32, 541–550. [Google Scholar] [CrossRef]
- Li, W.; Sakai, T.; Li, Q.; Lu, L.T.; Wang, P. Reliability evaluation on very high cycle fatigue property of GCr15 bearing steel. Int. J. Fatigue 2010, 32, 1096–1107. [Google Scholar] [CrossRef]
- Li, X.; Zhang, J.; Shen, S.; Wang, Y.; Song, X. Effect of tempering temperature and inclusions on hydrogen-assisted fracture behaviors of a low alloy steel. Mater. Sci. Eng. A 2016, 682, 359–369. [Google Scholar] [CrossRef]
- Sun, Q.; Di, H.S.; Li, J.C.; Wu, B.Q.; Misra, D.K.R. A comparative study of the microstructure and properties of 800 MPa microalloyed C-Mn steel welded joints by laser and gas metal arc welding. Mater. Sci. Eng. A 2016, 669, 150–158. [Google Scholar] [CrossRef]
- Filho, W.W.B.; Carvalho, A.L.M.; Bowen, P. Micromechanisms of cleavage fracture initiation from inclusions in ferritic welds: Part I. Quantification of local fracture behaviour observed in notched testpieces. Mater. Sci. Eng. A 2007, 460, 436–452. [Google Scholar] [CrossRef]
- Wang, G.Z.; Liu, Y.G.; Chen, J.H. Investigation of cleavage fracture initiation in notched specimens of a C-Mn steel with carbides and inclusions. Structural Materials. Mater. Sci. Eng. A 2004, 369, 181–191. [Google Scholar] [CrossRef]
- Hsieh, K.C.; Babu, S.S.; Vitek, J.M.; David, S.A. Calculation of inclusion formation in low-alloy-steel welds. Mater. Sci. Eng. A 1996, 215, 84–91. [Google Scholar] [CrossRef]
- Osio, A.S.; Liu, S.; Olson, D.L. The effect of solidification on the formation and growth of inclusions in low carbon steel welds. Mater. Sci. Eng. A 1996, 221, 122–133. [Google Scholar] [CrossRef]
- Jing, H.; Huo, L.; Zhang, Y.J. Simulation of Stable Crack Growth for Welded Joints Including Strength Mismatching. Mater. Sci. Technol. 1999, 15, 567–570. [Google Scholar]
- Hertzberg, R.W.J. Deformation and fracture mechanics of engineering materials. Eng. Mater. Technol. 1976, 99, 1. [Google Scholar] [CrossRef] [Green Version]
- Anderson, T.L. Fracture Mechanics: Fundamentals and Applications; CRC Press: Boca Raton, FL, USA, 1991. [Google Scholar]
- Holappa, L.; Hämäläinen, M.; Liukkonen, M.; Lind, M. Thermodynamic examination of inclusion modification and precipitation from calcium treatment to solidified steel. Ironmak. Steelmak. 2020, 30, 111–115. [Google Scholar] [CrossRef]
- Han, P.W.; Chu, S.J.; Ping, M.E.; Lin, Y.F. Oxide Inclusions in Ferromanganese and Its Influence on the Quality of Clean Steels. J. Iron Steel Res. Int. 2014, 21, 23–27. [Google Scholar] [CrossRef]
- Papamantellos, D.; Angelopoulos, G.; Dourdounis, E.; Gotsis, V.; Catana, C.; Mavromatis, K.; Weckes, J. Inclusion floating process for super clean steels. Environ. Sci. Eur. 2003, 20597, 1–59. [Google Scholar]
- Wang, Y.; Sun, X.; Zhang, L.; Ren, Y. Effect of calcium treatment on inclusions in Si-Mn-killed 304 stainless steels. J. Mater. Res. Technol. 2020, 9, 11351–11360. [Google Scholar] [CrossRef]
- Ren, Q.; Yang, W.; Cheng, L.; Hu, Z.; Zhang, L. Effect of calcium treatment on magnetic properties of non-oriented electrical steels. J. Magn. Magn. Mater. 2020, 494, 165803. [Google Scholar] [CrossRef]
- Tanaka, Y.; Pahlevani, F.; Kitamura, S.; Privat, K.; Sahajwalla, V. Behaviour of Sulphide and Non-alumina-Based Oxide Inclusions in Ca-Treated High-Carbon Steel. Metall. Mater. Trans B 2020, 51, 1384–1394. [Google Scholar] [CrossRef]
- Ren, Q.; Yang, W.; Cheng, L.; Zhang, L.; Conejo, A.N. Process. Formation and Deformation Mechanism of Al2O3-CaS Inclusions in Ca-Treated Non-Oriented Electrical Steels. metallurgy and materials processing science. Metall. Mater. Trans. 2020, 51, 200–212. [Google Scholar] [CrossRef]
- Pan, C.; Hu, X.; Zheng, J.; Lin, P.; Chou, K. Effect of calcium content on inclusions during the ladle furnace refining process of AISI 321 stainless steel. Int. J. Miner. Metall. Mater. 2020, 27, 1499–1507. [Google Scholar] [CrossRef]
- Zheng, H.; Guo, S.; Qiao, M.; Qin, L.; Zou, X.; Ren, Z. Study on the modification of inclusions by Ca treatment in GCr18Mo bearing steel. Adv. Manuf. 2019, 7, 438–447. [Google Scholar] [CrossRef]
- Abraham, S.; Bodnar, R.; Raines, J.; Wang, Y.; Zhang, L. Inclusion engineering and metallurgy of calcium treatment. J. Iron Steel Res. Int. 2018, 25, 133–145. [Google Scholar] [CrossRef]
- Guo, Y.; He, S.; Chen, G.; Wang, Q. Process. Thermodynamics of Complex Sulfide Inclusion Formation in Ca-Treated Al-Killed Structural Steel. metallurgy and materials processing science. Metall. Mater. Trans B 2016, 47, 2549–2557. [Google Scholar] [CrossRef]
- Yang, G.; Wang, X.; Huang, F.; Yang, D.; Wei, P.; Hao, X. Influence of Calcium Addition on Inclusions in LCAK Steel with Ultralow Sulfur Content. Process metallurgy and materials processing science. Metall. Mater. Trans B I 2015, 46, 145–154. [Google Scholar] [CrossRef]
- Yang, D.; Wang, X.; Yang, G.; Wei, P.; He, J. Inclusion Evolution and Estimation during Secondary Refining in Calcium Treated Aluminum Killed Steels. Steel Res. Int. 2014, 85, 1517–1524. [Google Scholar] [CrossRef]
- Ren, Y.; Zhang, L.; Li, S. Transient Evolution of Inclusions during Calcium Modification in Linepipe Steels. ISIJ Int. 2014, 54, 2772–2779. [Google Scholar] [CrossRef] [Green Version]
- Yang, S.; Li, J.; Wang, Z.; Li, J.; Lin, L. Modification of MgO·Al2O3 spinel inclusions in Al-killed steel by Ca-treatment. Int. J. Miner. Metall. Mater. 2011, 18, 18–23. [Google Scholar] [CrossRef]
- Liu, J.; Wu, H.; Bao, Y.; Wang, M. Inclusion variations and calcium treatment optimization in pipeline steel production. Int. J. Miner. Metall. Mater. 2011, 18, 527–534. [Google Scholar] [CrossRef]
- Verma, N.; Pistorius, P.C.; Fruehan, R.J.; Potter, M.; Lind, M.; Story, S. Process. Transient Inclusion Evolution During Modification of Alumina Inclusions by Calcium in Liquid Steel: Part II. Results and Discussion. metallurgy and materials processing science. Metall. Mater. Trans B 2011, 42, 711–719. [Google Scholar] [CrossRef]
- Fangming, Y.A.; Xinhua., W.A.; Xuefu. Y., B. Influence of calcium content on solid ratio of inclusions in Ca-treated liquid steel. Int. J. Miner. Metall. Mater. 2006, 13, 486–489. [Google Scholar]
- Ramirez, J.E. Characterization of High-Strength Steel Weld Metals: Chemical Composition, Microstructure, and Nonmetallic Inclusions. Weld J. 2008, 87, 65–75. [Google Scholar]
- Choudhary, S.K.; Ghosh, A. Thermodynamic Evaluation of Formation of Oxide–Sulfide Duplex Inclusions in Steel. ISIJ Int. 2008, 48, 1552–1559. [Google Scholar] [CrossRef] [Green Version]
- Yang, X.; Wang, M.; Wang, J.; Wang, W. Effect of Calcium Treatment on Non-Metallic Inclusions in Ultra-Low Oxygen Steel Refined by High Basicity High Al2O3 Slag. J. Iron Steel Res. Int. 2011, 18, 7. [Google Scholar] [CrossRef]
- Paek, M.K.; Jang, J.M.; Jiang, M.; Pak, J.J. Thermodynamics of AlN Formation in High Manganese-Aluminum Alloyed Liquid Steels. ISIJ Int. 2013, 53, 973–978. [Google Scholar] [CrossRef] [Green Version]
- Itoh, H.; Hino, M.; Ban-Ya, S. Thermodynamics on the formation of spinel nonmetallic inclusion in liquid steel. Metall. Mater. Trans. B 1997, 28, 953–956. [Google Scholar] [CrossRef]
- Zheng, W.; Wu, Z.; Li, G.; Zhang, Z.; Zhu, C. Effect of Al Content on the Characteristics of Inclusions in Al–Ti Complex Deoxidized Steel with Calcium Treatment. ISIJ Int. 2014, 54, 1755–1764. [Google Scholar] [CrossRef] [Green Version]










| Composition of Molten Steel | S | P | Mn | Si | C |
|---|---|---|---|---|---|
| National standard | ≤0.030 | ≤0.030 | 0.300–0.600 | ≤0.030 | ≤0.100 |
| Internal control standard | ≤0.025 | ≤0.025 | 0.350–0.550 | ≤0.030 | 0.040–0.090 |
| Furnace Times | CaO content in LF Refining Furnace/kg | LF Furnace to Add Mn Amount/kg | LF Furnace to Add Al Amount/kg | Ca addition at VD Furnace | VD Furnace Soft Blow Time/Min |
|---|---|---|---|---|---|
| A | 550 | 20 | 60 | 100 m (Ca wire) | 15 |
| B | 600 | 20 | 36 | 200 m (Fe-Ca wire) | 8 |
| Furnace Number | Work Station | Elements | ||||||||
|---|---|---|---|---|---|---|---|---|---|---|
| C | Si | Mn | P | S | Als | Alt | Ca | [O] | ||
| A | LF furnace | 0.0540 | 0.0130 | 0.4200 | 0.0050 | 0.0240 | 0.0140 | 0.0160 | 0.0002 | 0.0088 |
| VD furnace | 0.0640 | 0.0310 | 0.4600 | 0.0060 | 0.0030 | 0.0100 | 0.0110 | 0.0004 | 0.0067 | |
| B | LF furnace | 0.0690 | 0.0160 | 0.4100 | 0.0040 | 0.0150 | 0.0130 | 0.0170 | 0.0006 | 0.0099 |
| VD furnace | 0.0860 | 0.0170 | 0.4300 | 0.0040 | 0.0050 | 0.0050 | 0.0050 | 0.0014 | 0.0068 | |
| C | Si | Mn | S | Al | O | Ca | |
|---|---|---|---|---|---|---|---|
| Al | 0.091 | 0.057 | 0.0065 | 0.035 | −0.043 | −1.98 | −0.047 |
| Ca | −0.34 | −0.097 | −0.0156 | −28 | −0.072 | −310 | −0.002 |
| Reaction Equation | Serial Number | |
|---|---|---|
| (3) | ||
| (4) | ||
| (5) | ||
| (6) | ||
| (7) | ||
| (8) |
| Furnace Times | ||||
|---|---|---|---|---|
| A Furnace—VD | 0.9883 | 0.0208 | 0.0064 | 2.572 × 10−6 |
| B Furnace—VD | 0.9930 | 0.0099 | 0.0052 | 7.2660 × 10−6 |
Publisher’s Note: MDPI stays neutral with regard to jurisdictional claims in published maps and institutional affiliations. |
© 2021 by the authors. Licensee MDPI, Basel, Switzerland. This article is an open access article distributed under the terms and conditions of the Creative Commons Attribution (CC BY) license (https://creativecommons.org/licenses/by/4.0/).
Share and Cite
Lan, F.; Zhuang, C.; Li, C.; Yang, G.; Yao, H. Effect of Calcium Treatment on Inclusions in H08A Welding Rod Steel. Metals 2021, 11, 1227. https://doi.org/10.3390/met11081227
Lan F, Zhuang C, Li C, Yang G, Yao H. Effect of Calcium Treatment on Inclusions in H08A Welding Rod Steel. Metals. 2021; 11(8):1227. https://doi.org/10.3390/met11081227
Chicago/Turabian StyleLan, Fangjie, Changling Zhuang, Changrong Li, Guangkai Yang, and Hanjie Yao. 2021. "Effect of Calcium Treatment on Inclusions in H08A Welding Rod Steel" Metals 11, no. 8: 1227. https://doi.org/10.3390/met11081227
APA StyleLan, F., Zhuang, C., Li, C., Yang, G., & Yao, H. (2021). Effect of Calcium Treatment on Inclusions in H08A Welding Rod Steel. Metals, 11(8), 1227. https://doi.org/10.3390/met11081227
