Formulation of Sustainable Water-Based Cutting Fluids with Polyol Esters for Machining Titanium Alloys
Abstract
1. Introduction
| Property | Ti6Al4V |
|---|---|
| Density (g/cm3) | 4.42 |
| Young’s modulus at RT (GPa) | 120 ± 10 |
| Yield Strength (MPa) | 800–1100 |
| Tensile strength (MPa) | 900–1200 |
| Ductility at RT (%) | 13–16 |
| Creep limit (°C) | 385 |
| Oxidation limit (°C) | 400 |
| Hardness (HV10) | 360 ± 30 |
| Thermal conductivity (W·mK) | 7.5–8.6 |
2. Materials and Methods
2.1. Materials and Sample Preparation
- without an ester;
- C18:1 × 1 using isopropyl oleate;
- C18:1 × 2 using neopentylglycol dioleate;
- C18:1 × 3 using trimethylolpropane trioleate;
- C18:1 × 4 using pentaerythrityl tetraoleate.
2.2. Determination of Lubricating Film on Ti6Al4V Surface
2.3. Lubricity Performance of Polyol Ester Cutting Fluids
3. Results and Discussion
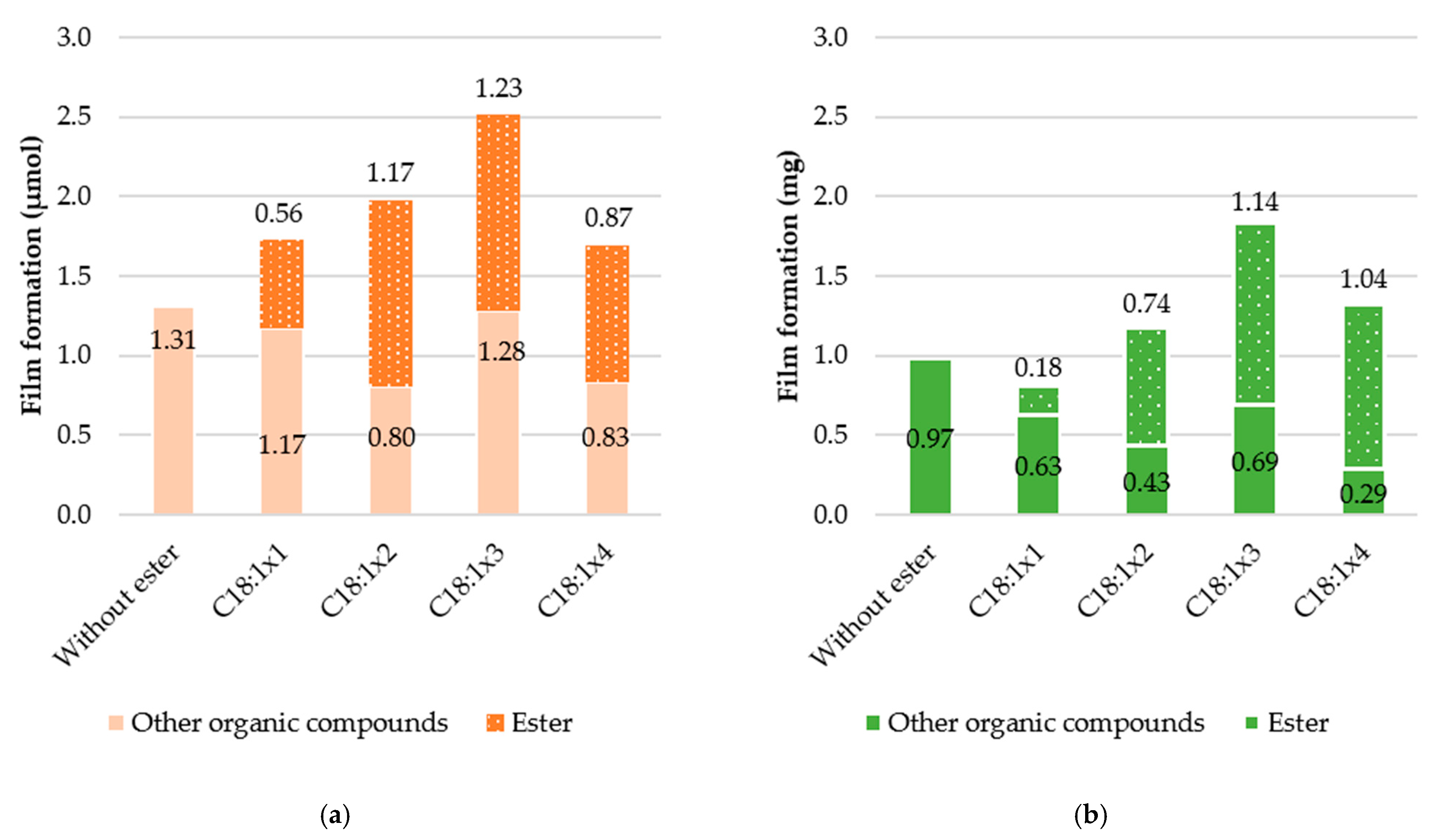
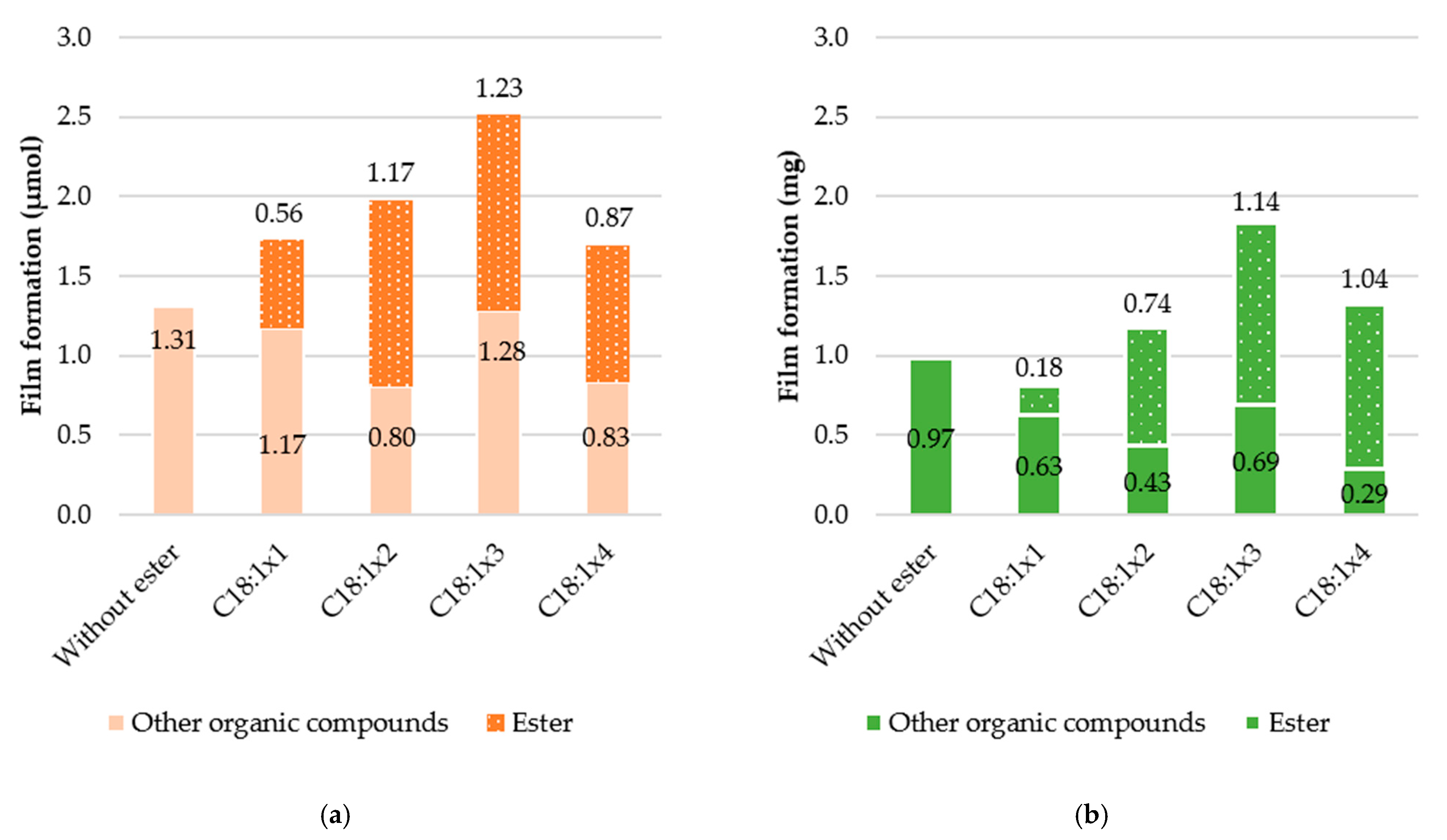
3.1. Film Formation on Ti6Al4V
3.2. Influence of Polyol Esters in the Lubricity of Cutting Fluids
4. Conclusions
- The molecular structure of esters influences the amount of the ester that adheres to the surface forming a lubricant film, which protects the tool from wear. By the addition of 1 mmol/L of ester in the water-based cutting fluid, trimethylolpropane trioleate ester can double the amount of ester adhered on the panel surface compared to isopropyl oleate.
- There is an adsorption competition on the surface between the ester and other additives. The molecular structure of esters has a high impact on the conformation of the lubricant film which, in turn, also has an impact on the lubricity properties of the cutting fluid.
- The increase in ester in the lubrication film improves the tribological performance and prolongs the tool life. The addition of a polyol ester in the cutting fluid increases the lubricity by up to 17% and can reduce the tool wear by up to 37%.
- From the polyol esters under study, C18:1 × 3 is preferred as a water-based cutting fluid for machining titanium alloys. It can double the amount of lubrication film formed compared to the rest of the cutting fluids. The best lubricity results were obtained with C18:1 × 3. In terms of tool wear, the lowest rate was achieved with the trimethylolpropane trioleate O/W emulsion.
Author Contributions
Funding
Data Availability Statement
Acknowledgments
Conflicts of Interest
References
- Shokrani, A.; Dhokia, V.; Newman, S. Environmentally conscious machining of difficult-to-machine materials with regard to cutting fluids. Int. J. Mach. Tools Manuf. 2012, 57, 83–101. [Google Scholar] [CrossRef]
- Sagin, S.V.; Solodovnikov, V.G. Estimation of Operational Properties of Lubricant Coolant Liquids by Optical Methods. Int. J. Appl. Eng. Res. 2017, 12, 8380–8391. [Google Scholar]
- Madanchi, N.; Kurle, D.; Winter, M.; Thiede, S.; Herrmann, C. Energy Efficient Process Chain: The Impact of Cutting Fluid Strategies. Procedia CIRP 2015, 29, 360–365. [Google Scholar] [CrossRef]
- Castellanos, S.D.; Cavaleiro, A.J.; Jesus, A.M.P.D.; Neto, R.; Alves, J.L. Machinability of titanium aluminides: A review. Proc. Inst. Mech. Eng. Part L J. Mater. Des. Appl. 2019, 233, 426–451. [Google Scholar] [CrossRef]
- Machado, R.; Wallbank, J. Machining of Titanium and its Alloys—A Review. Proc. Inst. Mech. Eng. 1990, 204, 53–60. [Google Scholar] [CrossRef]
- Younas, M.; Husain Imran Jaffery, S.; Khan, M.; Ahmad, R.; Ali, L.; Khan, Z.; Khan, A. Tool Wear Progression and its Effect on Energy Consumption in Turning of Titanium Alloy (Ti-6Al-4V). Mech. Sci. 2019, 10, 373–382. [Google Scholar] [CrossRef]
- Shaikh, V.A.; Boubekri, N. Using vegetable-oil-based sustainable metal working fluids to promote green manufacturing. Int. J. Manuf. Mater. Mech. Eng. 2020, 10, 1–19. [Google Scholar] [CrossRef]
- Chetan; Ghosh, S.; Venkateswara Rao, P. Application of sustainable techniques in metal cutting for enhanced machinability: A review. J. Clean. Prod. 2015, 100, 17–34. [Google Scholar] [CrossRef]
- Pervaiz, S.; Kannan, S.; Kishawy, H.A. An extensive review of the water consumption and cutting fluid based sustainability concerns in the metal cutting sector. J. Clean. Prod. 2018, 197, 134–153. [Google Scholar] [CrossRef]
- Pimenov, D.Y.; Mia, M.; Gupta, M.K.; Machado, A.R.; Tomaz, Í.V.; Sarikaya, M.; Wojciechowski, S.; Mikolajczyk, T.; Kaplonek, W. Improvement of machinability of Ti and its alloys using cooling-lubrication techniques: A review and future prospect. J. Mater. Res. Technol. 2021, 11, 719–753. [Google Scholar] [CrossRef]
- Pereira, O.; Martín-Alfonso, J.E.; Rodríguez, A.; Calleja, A.; Fernández-Valdivielso, A.; López de Lacalle, L.N. Sustainability analysis of lubricant oils for minimum quantity lubrication based on their tribo-rheological performance. J. Clean. Prod. 2017, 164, 1419–1429. [Google Scholar] [CrossRef]
- Ozimina, D.; Kowalczyk, J.; Madej, M.; Nowakowski, Ł.; Kulczycki, A. The impact of the type of cutting fluid on the turning process. Tribologia 2017, 3, 119–126. [Google Scholar] [CrossRef]
- Prasad, K.; Chakraborty, S. Application of the modified similarity-based method for cutting fluid selection. Decis. Sci. Lett. 2018, 7, 273–286. [Google Scholar] [CrossRef]
- Yang, Y.; Zhang, C.; Wang, Y.; Dai, Y.; Luo, J. Friction and wear performance of titanium alloy against tungsten carbide lubricated with phosphate ester. Tribol. Int. 2016, 95, 27–34. [Google Scholar] [CrossRef]
- Yan, P.; Rong, Y.; Wang, G. The effect of cutting fluids applied in metal cutting process. Proc. Inst. Mech. Eng. Part B J. Eng. Manuf. 2016, 230, 19–37. [Google Scholar] [CrossRef]
- Pedišić, L.; Polenus, I. Advantages of Biodegradable Fluids Application At Metalworking Operations. In Proceedings of the 16th International Research/Expert Conference Trends in the Development of Machinery and Associated Technology, TMT 2012, Dubai, United Arab Emirates, 10–12 September 2012; pp. 43–46. [Google Scholar]
- Assenova, E.; Majstorovic, V.; Vencl, A.; Kandeva, M. Green Tribology and Quality of Life. Int. J. Adv. Qual. 2012, 40, 1–6. [Google Scholar]
- Winter, M.; Thiede, S.; Herrmann, C. Influence of the cutting fluid on process energy demand and surface roughness in grinding—A technological, environmental and economic examination. Int. J. Adv. Manuf. Technol. 2015, 77, 2005–2017. [Google Scholar] [CrossRef]
- Yang, Y.; Zhang, C.; Dai, Y.; Luo, J. Tribological properties of titanium alloys under lubrication of SEE oil and aqueous solutions. Tribol. Int. 2017, 109, 40–47. [Google Scholar] [CrossRef]
- Zulkifli, N.W.M.; Azman, S.S.N.; Kalam, M.A.; Masjuki, H.H.; Yunus, R.; Gulzar, M. Lubricity of bio-based lubricant derived from different chemically modified fatty acid methyl ester. Tribol. Int. 2016, 93, 555–562. [Google Scholar] [CrossRef]
- Pettersson, A. High-performance base fluids for environmentally adapted lubricants. Tribol. Int. 2007, 40, 638–645. [Google Scholar] [CrossRef]
- Cecilia, J.A.; Ballesteros Plata, D.; Alves Saboya, R.M.; Tavares de Luna, F.M.; Cavalcante, C.L.; Rodríguez-Castellón, E. An Overview of the Biolubricant Production Process: Challenges and Future Perspectives. Processes 2020, 8, 257. [Google Scholar] [CrossRef]
- Talib, N.; Rahim, E.A. Experimental evaluation of physicochemical properties and tapping torque of hexagonal boron nitride in modified jatropha oils-based as sustainable metalworking fluids. J. Clean. Prod. 2018, 171, 743–755. [Google Scholar] [CrossRef]
- Canter, N. Formulating water-based MWFs in the 21st Century. Tribol. Lubr. Technol. 2017, 73, 42–55. [Google Scholar]
- Debnath, S.; Mohan, M.; Sok, Q. Environmental friendly cutting fluids and cooling techniques in machining: A review. J. Clean. Prod. 2014, 83, 33–47. [Google Scholar] [CrossRef]
- Wickramasinghe, K.C.; Sasahara, H.; Rahim, E.A.; Perera, G.I.P. Green Metalworking Fluids for sustainable machining applications: A review. J. Clean. Prod. 2020, 257, 120552. [Google Scholar] [CrossRef]
- Ma, L.R.; Zhang, C.H.; Liu, S.H. Progress in experimental study of aqueous lubrication. Chin. Sci. Bull. 2012, 57, 2062–2069. [Google Scholar] [CrossRef]
- Lancaster, J.K. A review of the influence of environmental humidity and water on friction, lubrication and wear. Tribol. Int. 1990, 23, 371–389. [Google Scholar] [CrossRef]
- Madanhire, I.; Mbohwa, C. Environmentally Adapted Lubricants. In Mitigating Environmental Impact of Petroleum Lubricants; Springer: Berlin/Heidelberg, Germany, 2016; pp. 165–178. [Google Scholar]
- Benedicto, E.; Carou, D.; Rubio, E.M.; Batlle, L. A novel method for the determination of fatty acid esters in aqueous emulsion on Ti6Al4V surface with IRRAS and carbon quantification. Tribol. Int. 2018, 128, 155–160. [Google Scholar] [CrossRef]
- Pereira, I.C.; Da Silva, M.B.; Da Cunha, D.F.; Sales, W.F. Analysis of tapping process in three types of cast iron. Int. J. Adv. Manuf. Technol. 2016, 82, 1041–1048. [Google Scholar] [CrossRef]
- Uzun, G.; Korkut, I. The effects of cutting conditions on the cutting torque and tool life in the tapping process for AISI 304 stainless steel. Mater. Tehnol. 2016, 50, 275–280. [Google Scholar] [CrossRef]
- Mannekote, J.K.; Kailas, S.V.; Venkatesh, K.; Kathyayini, N. Environmentally friendly functional fluids from renewable and sustainable sources—A review. Renew. Sustain. Energy Rev. 2018, 81, 1787–1801. [Google Scholar] [CrossRef]
- Ratoi-Salagean, M.; Spikes, H.A.; Rieffe, H.L. Optimizing Film Formation by Oil-in-Water Emulsions. Tribol. Trans. 1997, 40, 569–578. [Google Scholar] [CrossRef]
- Benedicto, E.; Rubio, E.M.; Carou, D.; Santacruz, C. The Role of Surfactant Structure on the Development of a Sustainable and Effective Cutting Fluid for Machining Titanium Alloys. Metals 2020, 10, 1388. [Google Scholar] [CrossRef]
- Ni, J.; Feng, K.; He, L.; Liu, X.; Meng, Z. Assessment of water-based cutting fluids with green additives in broaching. Friction 2020, 8, 1051–1062. [Google Scholar] [CrossRef]
- Chan, C.H.; Tang, S.W.; Mohd, N.K.; Lim, W.H.; Yeong, S.K.; Idris, Z. Tribological behavior of biolubricant base stocks and additives. Renew. Sustain. Energy Rev. 2018, 93, 145–157. [Google Scholar] [CrossRef]
- Ekman, A.; Börjesson, P. Life cycle assessment of mineral oil-based and vegetable oil-based hydraulic fluids including comparison of biocatalytic and conventional production methods. Int. J. Life Cycle Assess. 2011, 16, 297–305. [Google Scholar] [CrossRef]





| Lubrication/ Cooling Systems | Advantages | Drawbacks |
|---|---|---|
| Dry cutting | No need for cutting fluid Easier chip collection for recycling Minimal environmental impact | High cutting temperature generation High tendency of workpiece microstructural alterations Reliable results for limited cutting parameters Poor tool life and surface finish Problematic chip evacuation |
| MQL | Reduction in cutting fluid Less costly method in comparison to other systems Good results in terms of cutting forces, tool wear, surface roughness are noted | Poor chip evacuation Poor cooling capacity Mist formation Very sensitive to MQL supply system |
| Cryogenic cooling | Eliminate the use of cutting fluid No need to clean the chips and improved chip breakability Promote improvements in surface integrity Improved tool life | Highly sensitive to tool–material pairs. The production cost of the cryogen is very high compared to cutting fluids Special Dewar is needed for cryogenic supply Overcooling lead to embrittlement of workpiece |
| Cold compressed air | Absence of cutting fluid Chips can be collected in dry form | Additional energy is required to produce compressed air |
| Sustainable cutting fluids | Can be totally biodegradable and renewable Less costly compared to cryogenic cooling Chip evacuation Effective removal of heat | Vegetable oils have low oxidation stability Formulation difficulties |
| Ti | Al | V | Fe | O |
|---|---|---|---|---|
| 89.75% | 6% | 4% | 0.25% max. | 0.2% max |
| Parameter | Value |
|---|---|
| Workpiece material | Ti6Al4V (grade 5) pre-drilled |
| Spindle speed (rpm) | 300 |
| Length of the thread (mm) | 6 |
| Hole diameter (mm) | 3.3 |
| Tapping tool | TTT_M4C coated tool. Size M4 |
| Tap mode | Cutting |
| MWF | REO | TOC (mg C) | Equations of the Regression Line % ester = A + REO·B | % ester (w/w) | Organic Matter (µmol) | Ester (µmol) | ||
|---|---|---|---|---|---|---|---|---|
| A | B | R2 | ||||||
| C18:1 × 1 | 0.074 | 0.557 | 1.523 | 284.966 | 1.000 | 22.564 | 1.17 | 0.56 |
| C18:1 × 2 | 0.219 | 0.860 | 2.077 | 279.079 | 0.999 | 63.166 | 0.80 | 1.17 |
| C18:1 × 3 | 0.231 | 1.344 | 2.403 | 259.594 | 0.995 | 62.481 | 1.28 | 1.23 |
| C18:1 × 4 | 0.304 | 1.200 | 2.474 | 250.050 | 0.999 | 78.408 | 0.83 | 0.87 |
| Cutting Fluid | Regression Line |
|---|---|
| Without ester | 68.07 + 5.91 X − 0.14 X2 |
| C18:1 × 1 | 64.41 + 5.04 X − 0.14 X2 |
| C18:1 × 2 | 65.31 + 4.11 X − 0.14 X2 |
| C18:1 × 3 | 56.40 + 3.69 X − 0.14 X2 |
| C18:1 × 4 | 61.90 + 3.94 X − 0.14 X2 |
Publisher’s Note: MDPI stays neutral with regard to jurisdictional claims in published maps and institutional affiliations. |
© 2021 by the authors. Licensee MDPI, Basel, Switzerland. This article is an open access article distributed under the terms and conditions of the Creative Commons Attribution (CC BY) license (https://creativecommons.org/licenses/by/4.0/).
Share and Cite
Benedicto, E.; Rubio, E.M.; Aubouy, L.; Sáenz-Nuño, M.A. Formulation of Sustainable Water-Based Cutting Fluids with Polyol Esters for Machining Titanium Alloys. Metals 2021, 11, 773. https://doi.org/10.3390/met11050773
Benedicto E, Rubio EM, Aubouy L, Sáenz-Nuño MA. Formulation of Sustainable Water-Based Cutting Fluids with Polyol Esters for Machining Titanium Alloys. Metals. 2021; 11(5):773. https://doi.org/10.3390/met11050773
Chicago/Turabian StyleBenedicto, Elisabet, Eva María Rubio, Laurent Aubouy, and María Ana Sáenz-Nuño. 2021. "Formulation of Sustainable Water-Based Cutting Fluids with Polyol Esters for Machining Titanium Alloys" Metals 11, no. 5: 773. https://doi.org/10.3390/met11050773
APA StyleBenedicto, E., Rubio, E. M., Aubouy, L., & Sáenz-Nuño, M. A. (2021). Formulation of Sustainable Water-Based Cutting Fluids with Polyol Esters for Machining Titanium Alloys. Metals, 11(5), 773. https://doi.org/10.3390/met11050773

